Материал: Методические указания к выполнению контрольных работ по дисциплине “Физическая химия материалов и процессов электронной техники”. Николаева Е.П., Новокрещенова Е.П

Внимание! Если размещение файла нарушает Ваши авторские права, то обязательно сообщите нам

Примечание. Уравнения (1) и (2) приведены для 1 моля вещества. Если по условию задачи нужно найти S для n молей вещества, то

.

Если по условию задачи нужно найти изменение энтропии для m г вещества, то необходимо вес пересчитать на число молей:

где m - вес вещества в граммах; М - молекулярная масса.

3.1.2. Расчет изменения энтальпии вещества

Изменение энтальпии при Р = const определяется как

(3)

Если в рассматриваемом интервале температур происходит изменение фазовых состояний системы, то в выражение (3) необходимо добавить значения фазовых переходов. В общем случае изменение энтальпии, если в заданном интервале Т1 - Т2 имеют место фазовые переходы плавления и кипения,

(4)

Пример расчета

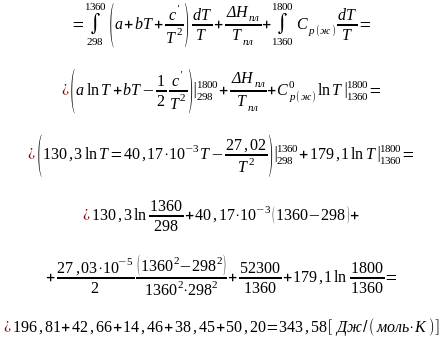
Задача 4. Найти количество теплоты, расходуемой на нагревание 1 кг кварца от Т1 до Т2.

Решение. По справочнику находим

(5)

Если в заданном интервале температур нет фазового перехода (Тпл = 1600 °С), то

Подставив значения а, b и с' из уравнения (5), получим значение Н, расходуемое на нагревание 1 кг кварца от T1 до Т2.

где n - число молей в 1 кг кварца.

;

;

m = 1000 г.

Подставляя T1 и Т2, например, T1 = 300 К и Т2 = 1200 К, найдем количество теплоты, расходуемое на нагревание 1 кг кварца от 300 К до 1200 К.

Если Т2 > Тпл , нужно учесть фазовый переход плавления, тогда

.

3.2. Расчет теплового эффекта, изменения энтропии и изменения энергии Гиббса химической реакции

Задание. Определить тепловой эффект , изменение энтропии и изменение энергии Гиббса химической реакции аА + bD = сС + dD.

Определить направление химической реакции при Т1 = 298 К и при заданной температуре Т2, предполагая, что = const или = 0.

Примечание. Значения и находят по табл. П.1 приложения, температуру Т2 определяют по табл. 12, конкретную химическую реакцию определяют по табл. 13 (номер варианта соответствует номеру студента в алфавитном списке группы).

Таблица 12

Последняя цифра шифра

1

2

3

4

5

Температура

Т2 К

1000

1100

1200

1300

1400

Продолжение табл. 12

Последняя цифра шифра

6

7

8

9

0

Температура

Т2 К

1500

1600

1700

1800

1900

Таблица 13

Номер варианта

Реакция

1

2

1

Н2(г) + Сl2(г) = 2НС1(г)

2

Н2(г) + Br2(г) = 2НВr(г)

3

Н2(г) + I2(г) = 2Hl(г)

4

2Сl2(г) + 2Н2O(г) = 4НСl(г) + O2(г)

5

СО(г) + Сl2(г) = СОСl2(г)

6

2(г) + O2(г) = 2Н2O(г)

7

2СО(г) + O2(г) = 2СO2(г)

8

СО(г) + Н2O(г) = Н2(г) + СO2(г)

9

2(г) + S2(г) = 2H2S(г)

10

2SO2(r) + O2(г) = 2SO3(г)

11

N2(r) + ЗН2(г) = 2NH3(г)

12

2ВО(г) + O2(г) = 2NO2(г)

13

N2(r) + O2(г) = 2NO(г)

14

2HBr(г) = Н2(г) + Вг2(г)

15

2НСl(г) = Н2(г) + Сl2(г)

16

2НI(г) = Н2(г) + I2(г)

17

4НСl(г) + O2(г) = 2Сl2(г) + 2Н2O(г)

18

СОСl2(г) = СО(г) + Сl2(г)

19

2O(г) = H2(г) + O2(г)

20

2СO2(г) = 2СО(г) + O2(г)

21

Н2(г) + СO2(г) = СО(г) + Н2O(г)

22

2H2S(г) = Н2(г) + S2(г)

23

2SO3(г) = 2SO2(г) + O2(г)

24

2NH3(г) = 2NO2(г) + ЗН2(г)

25

2NO2(г) = 2NO(г) + O2(г)

26

CO2(г) + H2(г) = CO(г) + H2O(г)

27

2NO(г) = N2(г) + O2(г)

28

NHCl(г) = NH3(г) + HCl(г)

29

H2(г) + F2(г) = 2HF(г)

30

2HF(г) = H2(г) + F2(г)

3.2.1. Расчет теплового эффекта химической реакции

Тепловой эффект химической реакции при стандартных условиях: температуре 298 К и давлении 0,1013 МПа (1 атм) определяется по значению стандартных теплот образования или сгорания , значения которых можно найти в справочниках (см, табл. П.1 приложения).

Тепловой эффект химической реакции равен разности между суммой теплот образования продуктов реакции и суммой теплот образования исходных веществ.

,

(6)

где ni - стехиометрический коэффициент в уравнении реакции; в первой скобке - сумма теплот образования продуктов; во второй - сумма теплот образования исходных веществ.

Для реакции

aA + bD = cC + dD

(7)

в соответствии с уравнением (6) находим тепловой эффект химической реакции:

.

Пример расчета

Задача 5. Найти тепловой эффект химической реакции

2СО + O2 = 2СO2

(8)

при стандартных условиях.

Решение. В соответствии с уравнением (6) тепловой эффект этой реакции при T = 298 К

(9)

Выпишем из табл. П.1 в табл. 14 значения термодинамических величин компонентов для данной реакции.

Таблица 14

Стандартные термодинамические величины веществ

Вещество

, кДж/моль

СO2

-393,51

213,6

O2

0

205,03

CO

-110,50

197,40