Материал: Металлический водород

Внимание! Если размещение файла нарушает Ваши авторские права, то обязательно сообщите нам

Металлический водород

Министерство образования и науки РФ

Федеральное агентство по образованию

Государственное образовательное учреждение

Профессионального высшего учреждения ОГУ









Курсовая работа

Металлический водород


Выполнила студентка

Группы 08Физ(б)

Пичугина Екатерина

Проверил: Арифуллин М.Р.





Содержание

Введение

. Металлический водород

. Обогащение веществ водородом - путь к его "металлизации"

3. Слой металлического водорода у Юпитера

4. Внутреннее строение Юпитера

Заключение

Литература

Введение

Как известно, в обычных условиях (скажем, при атмосферном давлении) водород состоит из молекул, кипит при Tc =20,3 К и затвердевает при Тt =14 K. Плотность твердого водорода р=0,076 г/см 3 и он является диэлектриком. Однако при достаточно сильном сжатии, когда внешние атомные оболочки оказываются раздавленными, все вещества должны переходить в металлическое состояние. Грубую оценку плотности металлического водорода можно получить, если считать, что расстояние между протонами порядка боровского радиуса.  Количественные, хотя и ненадежные расчеты приводят к меньшей плотности: например, согласно, молекулярный водород находится в термодинамическом равновесии с металлическим водородом при давлении р=2,60 Мбар, когда плотность металлического водорода р = 1,15 г/см3 (плотность молекулярного водорода при этом р=0,76 г/см3). Согласно [161, в равновесии р=1-2,5 Мбар, причем неопределенность связана с отсутствием достаточно надежных данных об уравнении состояния молекулярной фазы. Возможно, металлический водород является сверхпроводящим, причем с высоким значением Тс, достигающим 100-300 К (для металлического водорода дебаевская температура примерно 3000 К.

Получение такого простейшего в некотором отношении металла, как металлический водород, и определение для него критической температуры Тс представляют не только очевидный физический интерес, но может иметь актуальное астрофизическое значение (достаточно сказать, что большие планеты, такие, как Юпитер и Сатурн, в значительной своей части содержат металлический водород). Но еще несравненно важнее, что металлический водород может оказаться устойчивым даже в отсутствие давления. Существование подобных, вполне устойчивых метастабильных модификаций общеизвестно (примером может служить алмаз, который при низких температуре и давлении обладает более высокой свободной энергией, чем графит). В отношении металлического водорода вопрос о его устойчивости в отсутствие давления, как свидетельствуют некоторые расчеты, также решается положительно, но остается неясным, будет ли это состояние жить достаточно долго. Независимо от вопроса об устойчивости и длительности существования метастабильного состояния, теоретическое исследование возможной структуры металлического водорода привело к интересным и неожиданным результатам: при нулевом давлении металлический водород должен иметь нитевидную структуру без упорядочения вдоль нитей, т. е. должен обладать только двумерной периодичностью (нити образуют треугольную решетку в перпендикулярной к ним плоскости). Под давлением металлический водород может перейти в жидкое состояние еще до достижения равновесного давления (давления, при котором сосуществуют металлический и молекулярный водород); в этом случае, очевидно, твердый молекулярный водород будет под давлением переходить в жидкий металлический водород.


1. Металлический водород

Металлический водород - сверхпроводник с наибольшей критической температурой?

Сверхпроводимость - свойство некоторых материалов обладать строго нулевым электрическим сопротивлением при достижении ими температуры ниже определённого значения. Электросопротивление не становится "очень малым" или "близким к нулю", а исчезает полностью. Известны несколько десятков чистых элементов, сплавов и керамик, переходящих в сверхпроводящее состояние. Сверхпроводимость - вещь странная и, в некоторой мере, даже противоречащая здравому смыслу. Когда электрический ток течет по обычному проводу, то, в результате наличия у провода электрического сопротивления, ток совершает некую работу, направленную на преодоление этого сопротивления со стороны атомов, в результате чего выделяется тепло. При этом каждое соударение электрона - носителя тока - с атомом тормозит электрон, а сам атом-тормоз при этом разогревается - вот почему спираль электрической плитки становится такой красной и горячей. Всё дело в том, что спираль обладает электрическим сопротивлением, и, вследствие этого, при протекании по ней электрического тока, выделяет тепловую энергию.

Предварительные расчеты итало-немецкой группы физиков-теоретиков показывают, что металлический водород, находящийся под давлением около 4,5 млн. атмосфер, может обладать наибольшей среди высокотемпературных сверхпроводников критической температурой перехода, равной 242 К (-31 градус Цельсия).

Температура, при которой газообразный водород становится жидкостью, составляет 20 К. Перевести жидкий водород в твердое состояние можно, понизив температуру еще на 6 К. В 1935 году Юджин Вигнер и Хиллард Хантингтон опубликовали статью, в которой они первыми предположили, что при высоких давлениях водород из газа с диэлектрическими свойствами должен превратиться в проводящий металл. Превращение, по мнению авторов, будет происходить при давлении примерно 25 ГПа (1 ГПа равен приблизительно 10 тыс. атмосфер). (Отметим, что водород проявляет металлические свойства - например, хорошо проводит электрический ток - не обязательно находясь именно в твердом агрегатном состоянии. Иными словами, водород может быть и жидкостью с металлическими свойствами - эдакий жидкий металл.)

Экзотика на этом не закончилась, и в 1971 году появилась работа советских теоретиков во главе с Юрием Каганом, которые доказывали, что металлический водород может оказаться метастабильным. Слово "метастабильный" означает, что после снятия высокого давления водород не превратится снова в газ с диэлектрическими, непроводящими свойствами, а будет оставаться металлом. Однако всё еще неизвестно, будет ли время существования такой метастабильной фазы достаточным, чтобы попытаться измерить ее свойства и успеть применить.

В экспериментальном плане первый успех, связанный с водородом, был достигнут, когда в феврале 1975 года группа ученых под руководством Леонида Верещагина из Института физики высоких давлений СССР получил водород в металлическом состоянии. При температуре 4,2 К (температура кипения гелия) в тонком слое водорода, подвергнутым с помощью алмазных наковален давлению около 300 ГПа, ученые наблюдали уменьшение электрического сопротивления водорода в несколько миллионов раз, что служило свидетельством перехода в металлическое состояние.

Алмазная наковальня, использующаяся для получения высоких давлений, представляет собой два искусственных алмаза, которые прижимаются друг к другу остриями с помощью пресса. В результате на срезе диаметром всего несколько десятых долей миллиметра достигается необходимое давление. В этом месте в ячейке микрометрового размера находится охлажденный образец. Часто эксперименты делаются с образцами в виде тонких пленок, толщиной до 1 мкм. В том же месте к образцу подводятся миниатюрные измерительные приборы: термопары, электроды и другое необходимое оборудование.

Возникает вопрос: если водород может стать металлическим, то возможен ли дальнейший переход такого состояния в сверхпроводящее? Будет ли металлический водород сверхпроводником? Первым, кто задался таким вопросом, был Нейл Эшкрофт, который в 1968 году (спустя 11 лет после объяснения явления сверхпроводимости), используя теорию БКШ*, предсказал, что металлический водород будет обладать экзотическими свойствами, в частности сверхпроводимостью, при высокой температуре, превышающей 200 К.

Три физика-экспериментатора - Джон Бардин (1908-1991), Леон Купер (р. 1930) и Джон Роберт Шриффер (р. 1931) придумали объяснение эффекту, что при сверхнизких температурах электроны практически не испытывали сопротивления со стороны атомов кристаллической решетки металла и обеспечивали сверхпроводимость. Теория сверхпроводимости так называется "теорией БКШ" - по первым буквам фамилий этих физиков.

И вот недавно вышла совместная работа итальянских и немецких физиков-теоретиков Ab Initio Description of High-Temperature Superconductivity in Dense Molecular Hydrogen, в которой утверждается, что, благодаря электрон-фононному механизму образования куперовских пар, критическая температура перехода Tc молекулярного водорода из металлического в сверхпроводящее состояние может достигать рекордного на данный момент значения 242 К. Правда, при этом должно быть огромное давление - 450 ГПа, что приблизительно в 4,5 млн. раз больше земного атмосферного давления.

Как происходит электрон-фононное образование куперовских пар? Электрон при перемещении в периодической решетке кристалла притягивает ближайшие положительно заряженные ионы, слегка деформируя решетку и образуя кратковременное увеличение концентрации положительного заряда (см. рис. 1). Эта увеличенная концентрация положительного заряда притягивает другой электрон. Таким образом, эти оба электрона посредством кристаллической решетки притягиваются. Ионы при ненулевой температуре совершают колебания около своих положений равновесия. Кванты таких колебаний называются фононами.

Ку́перовская па́ра - связанное состояние двух притягивающихся электронов. Обладает нулевым спином и зарядом, равным удвоенному заряду электрона. Впервые подобное состояние было описано Леоном Купером в 1956 году, рассмотревшим лишь упрощенную двухчастичную задачу. Коррелированные пары электронов ответственны за явление сверхпроводимости.

Фоно́н - квазичастица, введённая русским учёным Игорем Таммом. Фонон представляет собой квант колебательного движения атомовкристалла.

Рис. 1. Образование куперовских пар в теории БКШ.

Под электрон-фононным взаимодействием подразумевается сложный процесс взаимодействия электронов с движущейся (колеблющейся) кристаллической решеткой. Когда электрон-фононное взаимодействие превысит кулоновское отталкивание двух электронов, то эти два электрона могут образовать куперовскую пару. Если температура равна нулю, свободный электрон, перемещаясь по кристаллу и возбуждая колебания решетки, может излучить фонон, который будет поглощен другим электроном. В этом случае, как говорят физики, происходит акт электрон-фононного взаимодействия электронов, а значит, электроны могут объединиться в куперовскую пару.

Рис. 2. Зависимость энергетической щели сверхпроводника от температуры.

Численно охарактеризовать электрон-фононное взаимодействие можно специальной константой, которую обозначают греческой буквой λ и называют константой электрон-фононного взаимодействия. В теории БКШ она, наряду с температурой Дебая, определяет Tc данного конкретного сверхпроводника. Чем больше значение λ, тем сильнее электрон-фононное взаимодействие и тем выше критическая температура. В подавляющем большинстве сверхпроводников значение λ не превышает единицу.

Температура Дебая определяется следующей формулой:


где h - постоянная Планка, VD - максимальная частота колебаний атомов твёрдого тела, k - постоянная Больцмана.

Однако не надо представлять себе куперовскую пару как некую "двухэлектронную молекулу" - размер этой пары в "обычных", не высокотемпературных сверхпроводниках составляет порядка 1/10 микрометра и превышает во много раз межатомные расстояния в кристалле (в ВТСП этот размер - около 1-10 нм).

Чтобы разорвать куперовскую пару на два отдельных электрона при T = 0, необходимо затратить энергию, равную 2Δ. Δ (так называемая сверхпроводящая энергетическая щель) - еще одна важная характеристика не только в теории БКШ, но и во всей теории сверхпроводимости. Δ зависит от температуры (рис. 2) и при T = Tc зануляется, что легко понять - в этот момент сверхпроводимость разрушается и для разрыва куперовской пары нет надобности затрачивать энергию.

Еще несколько важных замечаний. Теория БКШ справедлива при выполнении следующих допущений:

) значение константы электрон-фононного взаимодействия значительно меньше 1;

) сверхпроводники - чистые (без примесей) и бездефектные металлы со строгой периодичностью кристаллической решетки;

) сверхпроводник изотропен (то есть его физические свойства одинаковы по всем направлениям).

В случае, когда эти условия не выполняются, работает модель БКШ с поправками Элиашберга (концепция Элиашберга), основные положения которой и были использованы в обсуждаемой статье о сверхпроводимости металлического водорода.

Авторам работы удалось рассчитать, как зависит константа электрон-фононного взаимодействия от приложенного к металлическому водороду давления (рис. 3).

Рис. 3. Зависимость константы электрон-фононного взаимодействия металлического водорода от приложенного к нему давления.

Из графика видно, что λ превышает единицу и достигает максимума при давлении 450 ГПа. Максимальное значение константы электрон-фононного взаимодействия, очевидно, соответствует максимальному значению критической температуры, равной 242 К. Последующие теоретические исследования показали, что дальнейшее увеличение давления не приводит к возрастанию критической температуры (рис. 4).

Рис. 4. Зависимость критической температуры металлического водорода от давления. Максимум в 242 К достигается при давлении 450 ГПа. Изображение из обсуждаемой статьи в Phys. Rev. Lett.

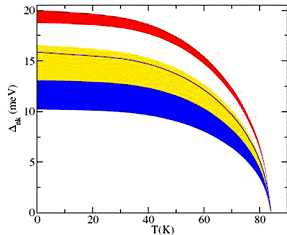
Интересно, что в этой же работе авторы предполагают при не очень больших давлениях наличие трех (!) немаленьких по своему значению энергетических щелей в сверхпроводящем водороде (в сравнении с аналогичной величиной в "обычных", низкотемпературных сверхпроводниках). Это означает присутствие трех "сортов" куперовских пар, то есть имеет место трёхщелевая сверхпроводимость. В рамках данной работы удалось также посчитать, как зависят эти три энергетических щели от температуры (рис. 5). Видно, что их поведение похоже на аналогичную зависимость Δ(T) в теории БКШ.

Более того, как показали расчеты авторов, две меньшие энергетические щели должны проявлять сильную анизотропию своих численных значений (на графике размазанная желтая и синяя область). Грубо говоря, анизотропия энергетических щелей здесь означает зависимость их численного значения от направления движения куперовских пар в сверхпроводящем водороде.

Рис. 5. Зависимость энергетических щелей сверхпроводящего металлического водорода при давлении 414 ГПа от температуры. Размазанные цветные области означают анизотропию энергетической щели, исчезающую в области Tc (см. пояснения в тексте).

металлический водород юпитер магнитный

2. Обогащение веществ водородом - путь к его "металлизации"


И вот здесь ученые изобрели обходной путь - для решения проблемы "металлизации" были задействованы соединения, содержащие водород в большом количестве. Первым, кто догадался о таком альтернативном подходе, снова был Нэйл Ашкрофт. Он предложил использовать гидриды элементов из 4-й группы периодической системы Менделеева - кремния, олова, германия. По мнению Ашкрофта, силан (SiH4), герман (GeH4) и гидрид олова (SnH4) должны становиться устойчивыми стабильными металлами при давлениях, в несколько раз меньших 400 ГПа, необходимых для получения металлического водорода. Кроме этого, вышеупомянутые соединения, согласно некоторым расчетам, обязаны быть еще и высокотемпературными сверхпроводниками. Например, гидрид олова, как следует из этой работы, - стабильный металл в интервале давлений от 70 до 160 ГПа, имеющий критическую температуру перехода 80 К при 120 ГПа.