Материал: Лекция №21 2-я редакция

Внимание! Если размещение файла нарушает Ваши авторские права, то обязательно сообщите нам

21. Лекция №21

21.1. Затраты на возмещение потерь мощности электроэнергии в элементах электрической сети

20.1.1. Определение потерь электроэнергии

Потери мощности и электроэнергии в любом элементе электрической сети состоят из двух компонентов, один из которых (с индексом «штрих») соответствует потерям в продольных ветвях, а второй (с индексом «два штриха») - в поперечных [4]:

. (21.1)

В

Рис.21.1. Годовые графики нагрузки по продолжительности (а), квадратов нагрузки по продолжительности (б)

еличина и соответствующая ей величина зависят от протекающего в продольной ветви тока (от передаваемой через элемент мощности), и поэтому данные потерн называются нагрузочными (или условно - переменнымп). Вторая составляющая (,) не зависит от передаваемой через элемент мощности, и поэтому данные потери называются условно - постоянными (потери холостого хода трансформаторного оборудования, потери на корону, диэлектрические потери в кабелях и конденсаторах и т.п.).

Пусть годовой график активной нагрузки рассматриваемого i-го элемента, то есть, имеет вид, показанный на рис.21.1, а. Потери мощности в сопротивлении , для произвольной (j-й) ступени этого графика продолжительностью определяются:

. (21.2)

Потери электроэнергии в сопротивлении за период времени

(для j-й ступени графика) определяются:

, (21.2)

за весь год:

(21.2)

Выражение (21.2) для годовых потерь электроэнергии в сопротивлении можно переписать в форме:

. (21.5)

Время потерь является некоторой функцией числа часов использования максимальной нагрузки, то есть (рис21.1,б).

Связь между и приближенно устанавливается следующей эмпирической формулой:

(21.6)

Вторая составляющая суммарных потерь электроэнергии в i-м элементе , не зависящая от передаваемой по нему мощности, приближенно определяется через соответствующие потери активной мощности в активных проводимостях поперечных ветвей схемы замещения и число часов работы элемента в году («время включения» - ):

(21.7)

Значение для воздушных и кабальных линий, а также для трансформаторного оборудования в проектных расчетах принимается равным 8760 ч а для компенсирующих устройств (синхронные компенсаторы, комплектные конденсаторные установки, шунтирующие реакторы) - в зависимости от графика их работы.

Суммарные потери электроэнергии в элементах электрических сетей достигают значительных величин, составляя для различных энергосистем

(5 – 15)% от поступающей в сеть электроэнергии в зависимости от плотности графиков нагрузки, конфигурации сети, количества ступеней трансформации и других факторов.

21.1.2. Определение затрат на возмещение потерь

Затраты на возмещение потерь мощности и электроэнергии в i-м элементе сети в соответствии с двумя категориями потерь имеют две составляющие [4]:

, (21.8)

где с учетом (21.5) и (21.7):

(21.9)

. (21.9)

Здесь , - удельные затраты на возмещение потерь мощности и электроэнергии соответственно зависящих и не зависящих от нагрузки. Они характеризуют всю совокупность расходов энергосистемы по выработке и передаче дополнительной электроэнергии, идущей на покрытие потерь величины были дифференцированы по четырем группам ОЭС, расположенным в различных регионах страны - европейской части, Сибири, Казахстане и Средней Азии, а также на Востоке азиатской части России.

Годовые затраты на возмещение потерь мощности и электроэнергии в i-м элементе проектирую мой сети для k-го варианта:

(21.10)

где m - общее число учитываемых при сравнении вариантов элементов сети, то есть элементов, имеющих неодинаковые технические характеристики в сопоставляемых вариантах.

21.1.3. Определение ущерба от перерывов электроснабжения

Вероятный годовой ущерб от перерывов электроснабжения узла нагрузки мощностью k - м варианте схемы сети определяется как сумма ущербов от аварийных и плановых отключений потребителей [4]:

, (21.12)

где - математические ожидания ущербов от вынужденных и плановых простоев элементов схемы сети.

В свою очередь,

(21.13)

. (21.14)

Здесь - эквивалентные коэффициенты вынужденного и планового простоев;

- расчетные годовые удельные ущербы от аварийных и плановых ограничении электроснабжения, тыс. руб/();

- степень ограничения потребителей.

21.2. Выбор номинального напряжения сети

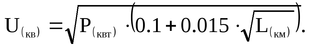
Наиболее целесообразна формула Стилла [4]:

(21.15)

и формула А. М. Залесского:

(21.15)

Первая из них дает приемлемые результаты при длинах линий, меньших 250 км, и передаваемых мощностях, не превышающих 60 Мвт. Вторая справедлива для линий больших мощностей с длинами, достигающими 1000 км. Как та, так и другая формулы позволяют определить только лишь ориентировочное значение номинального напряжения линии.

О

Рис.21.2. Экономически целесообразные напряжения

риентировочно области экономически целесообразных значений номинального напряжения для различных сочетаний длин линии и передаваемой мощности могут быть установлены с помощью характеристик, показанных на рис.21.2. В табл. 21.1 приведены данные, отвечающие характеристикам, изображенным на рнс.21.2. а также указаны границы экономически целесообразного применения и более низких номинальных напряжений.

Таблица 21.1

Экономически целесообразные значения номинальных напряжений.

Напряжение U,кВ

Предельная мощность Р, МВт

Предельная длина l, км

наибольшая

при предельной длине

наибольшая

при предельной мощности

35

110

150

220

330

500

30

150

250

500

1000

2000

3

30

60

120

350

1000

70

200

300

400

600

1200

10

32

50

100

150

200

Данные табл. 21.1. относятся к одноцепным линиям. С их помощью устанавливаются границы экономически целесообразного применения того или иного напряжения, оцениваемые по длине линии и передаваемой по ней мощности.

21.3. Основы выбора сечения проводов и кабелей

При выборе проводов и кабелей по условию наивысшей экономической эффективности принимаются во внимание нормальные рабочие режимы электрических сетей. При выборе сечений проводов и кабелей приходится учитывать ряд ограничений. Одно из них определяется условиями нагрева.

Другое ограничение: требование поддерживать необходимый уровень напряжения у потребителей местных сетей. Для местных сетей характерно существенное превышение активного сопротивления над индуктивным. В этих условиях продольная слагающая падения напряжения практиче­ски равна потере напряжения [1]:

, (21.17)

где - слагающая суммарной потери напряжения, зависящая от активных сопротивлений сети;

- то же, но от ее индуктивных сопротивлений.

При слагающая составляет значительную долю от общей потери напряжения и ее изменение существенно влияет на величину . Поскольку погонное активное сопротивление линий обратно пропорционально их сечению

(21.18)