Материал: Лекция №2

Внимание! Если размещение файла нарушает Ваши авторские права, то обязательно сообщите нам

, (2.16)

и

. (2.17)

В современных мощных трансформаторах и . Из опыта КЗ (рис.2.5,в)

. (2.18)

Умножая последнее выражение на , после преобразований получим

. (2.19)

В (2.17), (2.19) сопротивления получаются в омах при подстановке напряжений в киловольтах, а мощностей – в мегавольт-амперах и в мегаваттах.

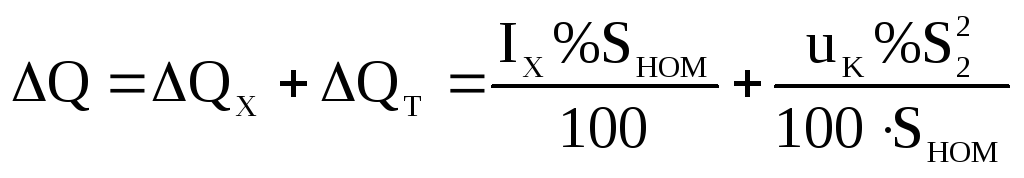
Потери активной мощности в зависят от тока и мощности нагрузки и . Эти потери равны

. (2.20)

Если подставить в последнее выражение из (2.17) и учесть, что , то получим

. (2.21)

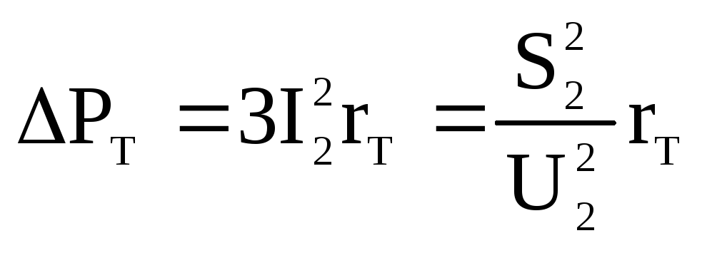
Потери реактивной мощности в аналогично (2.20) определяются так:

. (2.22)

Для трансформатора, через который проходят ток нагрузки и мощность , потери мощности с учетом (2.14), (2.21), (2.22) равны

; (2.23)

. (2.24)

Если на подстанции с суммарной нагрузкой работают параллельно k одинаковых трансформаторов, то их эквивалентные сопротивления в k раз меньше и равны , , а проводимости в k раз больше, то есть равны , .

Если учесть это в выражениях (2.23), (2.24), то получим следующие выражения для потерь мощности:

, (2.25)

. (2.26)

Эти же выражения можно получить и другим способом. Если подставить в (2.23), (2.24) вместо поток мощности, текущей через каждый трансформатор и равной , то получим потери мощности в одном трансформаторе. Умножим их на k и получим выражения (2.25), (2.26) для потерь мощности в k параллельно работающих трансформаторах.

Трехобмоточные трансформаторы и автотрансформаторы. Во многих случаях на подстанции нужны три номинальных напряжения - высшее , среднее и низшее . Для этого можно было бы использовать два двухобмоточных трансформатора (рис.2.6,а). Более экономично, чем два двухобмоточных, применять один трехобмоточный трансформатор (рис.2.6,б), все три обмотки которого имеют магнитную связь (рис.2.7,а). Еще более экономично применение трехобмоточных автотрансформаторов, условное обозначение которых в схемах электрических сетей приведено на рис.2.6,в. Схема соединения обмоток автотрансформатора показана на рис.2.7,б [2]. Обмотка низшего напряжения магнитно связана с двумя другими. Обмотки же последовательная и общая (П и О на рис.2.7,б) непосредственно электрически соединены друг с другом и, кроме того, имеют магнитную связь. По последовательной обмотке течет ток , а по общей - (-). Номинальной мощностью автотрансформатора называют мощность, которую автотрансформатор может принять из сети высшего напряжения или передать в эту сеть при номинальных условиях работы:

. (2.27)

Э та мощность также называется проходной. Она равна предельной мощности, которую автотрансформатор может передать из сети высшего напряжения в сеть среднего напряжения и наоборот при отсутствии нагрузки на обмотке низшего напряжения [2].

Последовательная обмотка П рассчитывается на типовую мощность (рис.2.7,б)

, (2.28)

где - коэффициент выгодности, показывающий, во сколько раз меньше .

Напряжение общей обмотки меньше ток в ней равен , поэтому ее мощность меньше . Можно показать, что мощность общей обмотки равна типовой. Обмотка низшего напряжения также рассчитывается на или на мощность меньше . Ее номинальная мощность выражается через номинальную мощность автотрансформатора [2]:

, (2.29)

где для кВ 0,25; 0,4; 0,5.

В трехобмоточном трансформаторе все три обмотки имеют мощность . В автотрансформаторе общая и последовательная обмотки рассчитаны на типовую мощность , а обмотки низшего напряжения – на . Таким образом, через понижающий автотрансформатор можно передать мощность, большую той, на которую выполняются его обмотки. Чем меньше коэффициент выгодности , тем более экономичен автотрансформатор по сравнению с трехобмоточным трансформатором. Чем ближе номинальные напряжения на средней и высшей сторонах автотрансформатора, тем меньше и тем выгоднее использовать автотрансформатор. При .

Схема замещения трехобмоточного трансформатора и автотрансформатора с кВ приведена на рис.2.7,в, а с кВ - на рис.2.7,г. Как и для двухобмоточного трансформатора, в такой схеме замещения отсутствуют трансформации, то есть идеальные трансформаторы, но сопротивления обмоток низшего и среднего напряжений приводят к высшему напряжению. Такое приведение соответствует умножению на квадрат коэффициента трансформации. Потери холостого хода и определяются так же, как и для двухобмоточного трансформатора. Потери - известная каталожная величина, а определяются из выражения (2.14) по каталожному значению , %. Для трехобмоточных трансформаторов и автотрансформаторов задаются три значения потерь короткого замыкания по парам обмоток , , и три напряжения короткого замыкания по парам обмоток %, %, %. Каждое из каталожных значений и % относится к одному из трех возможных опытов короткого замыкания. Значения и определяются при замыкании накоротко обмотки низшего напряжения при разомкнутой обмотке среднего напряжения и подведении к обмотке высшего напряжения такого напряжения , чтобы ток в обмотке низшего напряжения трансформатора был равен номинальному. Схема этого опыта КЗ приведена на рис.2.7,д. Ненагруженная обмотка среднего напряжения изображена штрихами, чтобы подчеркнуть, что ток в ней равен нулю. Аналогично опыту КЗ для двухобмоточного трансформатора из данного опыта КЗ можно определить сумму сопротивлений обмоток высшего и низшего напряжений:

. (2.30)

Соответственно для опытов КЗ по другим обмоткам справедливы аналогичные выражения:

, (2.31)

. (2.32)

В уравнениях (2.30) - (2.32) три неизвестных - активные сопротивления обмоток трансформатора . Решив эти три уравнения с тремя неизвестными, получим выражения, аналогичные (2.17):