Материал: Кредитная система Республики Казахстан

Внимание! Если размещение файла нарушает Ваши авторские права, то обязательно сообщите нам

Анализируя предоставленную выше таблицу можно сказать, что изменения с 2009 по 2011 года незначительные. Суммы кредитов банков промышленности, перерабатывающей промышленности колеблются в пределах 170000тысяч - это в общем. А ели смотреть по регионам, то большая часть приходится на Алматы, чуть более 50%, так как основная промышленность, перерабатывающая сельскохозяйственную продукцию находится в том регионе. Этим и объясняется величина предоставляемых кредитов.

Таблица 3: Кредиты банков промышленности, перерабатывающей сельскохозяйственную продукцию в период с 2009-2011 года


Количество банков, ранее включенных в Программу перехода к международным стандартам, уменьшилось с 50 до 38, что обусловлено невыполнением участвующими в Программе банками требований к собственному капиталу.

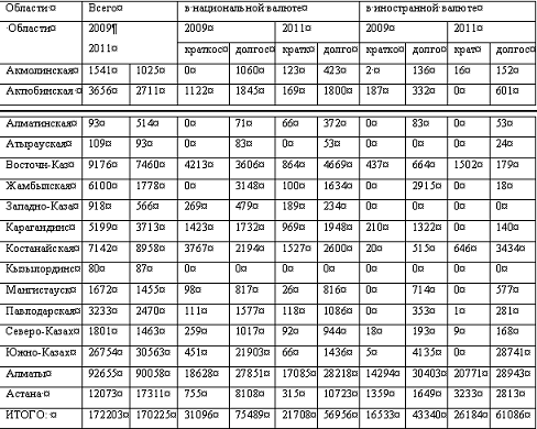
Из приведенной ниже таблицы видно, что кредиты банков в разрезе отраслей экономики с 2009 по 2011 года составляют большую сумму в пределах 7000000 тенге. Это очень высокий показатель, так как эти кредиты предоставляются на развитие экономики.

Сократилось количество банков, нарушающих пруденциальные нормативы, с 30 (42,2 от общего количества) на 1 января 2010 г. до 20 (34,5 процентов) на 1 ноября 2011 г., что является результатом применения Национальным Банком более жестких мер к банкам, исключенным из Программы перехода к международным стандартам, вплоть до принудительной их ликвидации. За указанный период Национальный банк аннулировал лицензии у 7 банков в связи с их принудительной ликвидацией.

Таблица 4 Кредиты банков субъектам малого предпринимательства в разрезе отраслей экономики

Отрасли

Всего

 краткосрочные

долгосрочные



В нац. валюте

В иностр. валюте

В нац. валюте

В иностр. валюте







Всего по республике

1 384 956

136419

55386

504878

351912

В том числе






Промышлен

124529

18689

12124

53643

30 010

Сельск хозя

67797

9700

5850

17444

20 915

Строительство

194308

16116

11011

111135

51419

Транспорт

52470

16937

1888

13208

15338

Связь

0

2

573

11614

Торговля

526735

58955

22567

192737

116255

Другие отрасли

406869

16023

1944

116138

106362


Капитал. Несмотря на сокращение общего количества банков, размер совокупного собственного капитала банковского сектора постоянно увеличивался (прирост с началу - 15,2 млрд. тенге или 32,1 процентов). При этом если в течение 1-го квартала 2010 года рост составил 2,4 млрд. тенге, те в течение последующих 7 месяцев - 12,8 млрд. тенге. В результате совокупный собственный капитал банковского сектора составил на 1 ноября 62,5 млрд. тенге. В тоже время валютный эквивалент размера собственного капитала на 1 ноября 2010 года составил составил 445 млрд. долл. США или на 21,2 процентов.

Можно отметить снижение доли 5 крупнейших банков в совокупном собственном капитале банковского сектора с 44,4 процентов на начало 2010 года до 40,1 процентов на 1 ноября 2011 года. Сводные показатели достаточности собственного капитала банковского сектора на 1.11.2011 г. составили: отношение собственного капитала к активам, взвешенным по степени риска - 0,25 (на 1.01.2011 г. - 0,3).

Рис 5: Сумма кредита 2009-2011 года.

Из диаграммы «Сумма кредита» видно, что уровень суммы кредитов увеличивается из ода в год, это хороший показатель, так как мы видим, что банки в силах увеличивать кредиты. Благодаря проводимой политике, работе и усилиям все звеньев. В процентах в среднем увеличение идет на 10%. Это показывает высокий уровень развития кредитной системы.

Современная кредитная Республики Казахстан представляет собой сложную систему взаимосвязей между банками как и первого и второго уровней. Предоставляя кредиты на развитие экономики, на развитие малого и среднего бизнеса, банки обеспечивают стабилизацию экономической ситуации в стране. Благодаря сложенной работе всех звеньев кредитная система в последние динамично развивается.

 

.3 Современная тенденция развития кредитной системы в РК

 

Современная мировая кредитная система в последние годы претерпела значительные изменения. Модифицируются все компоненты банковской системы в зависимости от изменений, происходящих в структурной перестройке мировой экономики в целом. Концентрация производства , обусловленная развитием НТР, потребовала концентрации и централизации капитала, соответственно, банки стали модифицировать свои операции в сторону укрепления кредитных ресурсов, т.е. происходит приспособление современной банковской системы к изменяющимся условиям развития экономики; налицо структурная перестройка банковской системы; концентрация и универсализация деятельности банков с сохранением определенной специализации; отмечается динамизм небанковских кредитных учреждений. Быстрое стирание различий или ломка барьеров между отдельными типами банков, между банками и небанковскими учреждениями- одна из важнейших тенденций структурной перестройки кредитной системы последних лет. [17]

Универсализация кредитных учреждений прослеживается по двум направлениям. Первое - через расширение нетрадиционных банковских операций, коммерческие банки пытаются вторгнутся в страховой бизнес, факторинг, информационно- консультационный бизнес и др. Они идут на прямую конфронтацию с другими группами кредитных учреждений, внедряясь в такие сферы финансового обслуживания, где ранее либо вовсе не участвовали, либо участвовали очень редко - сделки с недвижимостью, бухгалтерское и компьютерное обслуживание, лизинговые дела.

Второе - через проникновение на банковские рынки небанковских учреждений (страховые, брокерские, сберегательные, трастовые компании, пенсионные фонды и др.). Последние в настоящее время все больше конкурируют с банками в инвестиционной деятельности, оказание информационно- консультационных услуг, а также в чисто банковской сфере депозитно-ссудных операциях.[23]

В последние годы между банковскими и другими специализированными финансово-кредитными учреждениями исключительно острый характер приняла борьба за сбережения населения и накопления фирм и компаний.

Раньше коммерческие банки не могли свободно пользоваться таким эффективным оружием привлечения сбережений населения, как повышение ставок по депозитам. Им был установлен максимальный предел процентных ставок, который разрешалось уплачивать владельцам срочных и сберегательных вкладов, а у других специализированных кредитных учреждений таких ограничений не было. Естественно, последние имели преимущество в конкурентной борьбе. Сейчас положение изменилось. Банки добились разрешение выпускать так называемые сертификаты денежного рынка, процент по которым устанавливался в зависимости от состояния конъюнктуры.

Следует отметить, что в соответствии с изменившимся условиями в экономики произошла перестройка самой банковской деятельности, традиционных банковских операций. Этому способствовала отмена административных правил, регулирующих банковскую деятельность, т.е. дерегулирование. Цель делегурирования - побудить банки использовать более широкий инструментарий конкуренции, активизировать рынок банковских услуг.

Делегирование банковской деятельности затронуло как активные, так и пассивные операции. Активные операции коммерческих банков претерпели значительные изменения. В настоящее время они полностью перешли от косвенного кредитования (выдача под залог и учет векселей) к прямому банковскому кредитованию фирм и корпораций. Конкретно эта тенденция проявляется в попытках банков конвертировать свои кредиты в рыночные ценные бумаги. [15]

Происходит укрупнение объектов кредитования. Коммерческие банки тщательнее стали подходить к качеству своих активов, т.к. точная и своевременная оценка качества активов - залог благополучия банков.

Руководство банков ведет контроль за качеством своих активов, предоставлением новых кредитов, технологией кредитования (документация, контракты, обеспечение), соблюдением заемщиком условий кредита и др.

Особую роль в развитии банковских операций играют современные технические средства информации и коммуникации. Банковское дело, как никогда прежде, стало зависеть от своевременности передачи информации, быстрой ее обработки и достоверности данных, анализа экономической ситуации и правильной оценки перспективы развития денежного рынка. Участники финансовых рынков требуют все большего объема информации для ведения своих дел. Поэтому без внедрения последних достижений НТР в банковское дело, без освоения компьютерной техники невозможна современная модернизация банковской деятельности. Как значительное явление в развитии банковской системы следует отметить переход кредитных учреждений от «оптовых» операций к «розничным», что ведет к огромному расширению круга их клиентов. До второй мировой войны банкиры проявляли консерватизм и осторожность, обслуживали только избранную, «особо надежную» клиентуру, сейчас крупные банки изменили свою стратегию. Активно внедряясь во все сферы предпринимательства и охватывая мелкий бизнес, они ориентируются на массовую клиентуру, в т.ч. малоимущие слои населения. Это меняет облик современного крупного банка, его политику. Мы остановились лишь на некоторых важных моментах, характеризующих современную кредитную систему в странах с развитой рыночной экономикой. Для Казахстана, перестающего свою экономику на рыночные рельсы, эти современные тенденции развития мировой банковской системы представляют собой интерес, поскольку переход к рыночной экономике требует создания собственной рыночной кредитной системы.

 


Заключение

 

Таким образом, исходя из вышеизложенного можно сделать следующий вывод, что большинство экономистов рассматривают кредитную политику как неотъемлемую часть любой экономической политики. Действительно, в ее пользу можно привести несколько конкретных доводов:

Быстрота и гибкость, то есть по сравнению с фискальной политикой кредитно-денежная может быстро меняться. Так, в США комитет открытого рынка Совета Федеральной резервной системы буквально ежедневно принимает решения о покупке и продаже ценных бумаг и тем самым влияет на денежное предложение и процентную ставку.

Слабая зависимость от политического давления. Например, провести в Государственной Думе новый налог либо поднять ставку уже имеющегося значительно сложнее, нежели повысить учетную ставку Центрального банка, хотя и в последнем случае ощущается влияние политической Среды. Кроме того, даже по своей природе кредитно-денежная политика мягче и консервативнее в политическом отношении, чем фискальная. Изменения в государственных расходах непосредственно влияют на перераспределение ресурсов. В то время как кредитно-денежная политика, наоборот, действует тоньше, а потому представляется более приемлемой в политическом отношении.

Монетаризм, представители которого аргументировано доказывают, что изменение денежного положения и количества денег в обращении -- ключевой фактор определения уровня экономической активности и фискальная политика относительно неэффективна.



Список использованной литературы

кредит экономика казахстан

1. Закон Республики Казахстан "О банках и банковской деятельности Республике Казахстан" от 31.08.95 г. 34 2444.

. Закон Республики Казахстан « О внесении изменений и дополнений в некоторые законодательные акты РК по вопросам банковской деятельности» от 11 июля 1997 г.

. Ильясов К.К. . Финансово-кредитные проблемы развития экономики Казахстана /Под ред.- Алматы: Бiлiм, 2000 - 240 с.

. Кучукова Н.К. Макроэкономические аспекты реформирования финансово-кредитной системы Республики Казахстан в условиях перехода к рыночной экономике. - Алматы: Гылым, 2004. - 439 с.

. Райзберг Б.А.. Курс экономики: Учебник /Под ред.- ИНФРА-М, 2004. - 720 с.

. Чекмаева Е.Н. Межбанковский кредитный рынок и его регулирование /Деньги и кредит. 2006. №5-6. с. 68-71.

. «Предприниматель и право». №12 (73), май, 2002.

. А.С. Семицев «Деньги, кредит, банки», Москва, 2007 год.

Учебное пособие «Введение в банковское дело», Москва, 1997 год.

. Г.Г. Коробова «Банковское дело», Москва, 2004 год.

. Алимбаев «Государственное регулирование экономики», Алматы, 1999 год.

. Под редакцией проффесора И.Т. Балабанова «Банки и банковское дело», Москва, 2001 год.

. Под редакцией Г.С. Сейткасимова, Алматы, 2006 год.

. В. Лесис, «Кредит и банки» Москва, Перспектива 2007 год.

. А,Г. Конакбаев, журнал, «Банки Казахстана» 2007,№ 5, с.11-13.

. В.П. Воронин, «Деньги, кредит, банки», Москва, 2003 год.

. А.И. Казьмин, «Деньги и кредит» 2005, №11, с.4-10.

М.Т. Давлетова, «Экономика», Алматы, 2006 год.

. Большой экономический словарь Под редакцией А.Н. Азрилина, Москва, Правовая культура, 2005 год.

. Современный экономический словарь, Инфа-М, 2007 год.

. Банки и банковское дело / Под ред. И.Т. Балабанова. СПб: Питер, 2001.

. Банковское дело / Под ред. В.И. Колесникова, Л.П. Кроливецкой.- М.: финансы и статистика, 2006.

. Банковское дело / Под ред. Г.С. Сейткасимова. Алматы: Каржы Каражат, 2007г

. Банковское дело / Под ред. О.И. Лаврушипа. М: Финансы статистика, 2000.

. З.Эдвин Дж. Долан, Колин Д. Кэмпбелл, Розмари Дж. Кэмпбслл. Деньги, банковское дело и денежно-кредитная политика. - M.-Л., 2002.

. Ильясов К.К. . Финансово-кредитные проблемы развития экономики Казахстана /Под ред.- Алматы: Бiлiм, 2004 - 240 с.

. www.minfin.kz

. www.profinance.kz