5. p-n-переход при внешнем напряжении
Внешнее напряжение нарушает динамическое равновесие токов в
p-n-переходе и p-n-переход
переходит в неравновесное состояние. В зависимости от полярности напряжения,
приложенного к p- и n- областям кристалла, возможно два режима работы диода:
прямое смещение и обратное смещение p-n-перехода.
Обратное смещение p-n-перехода. Если к р-области p-n-перехода приложен минус, а к n-области плюс внешнего источника напряжения (рисунок 8а), то говорят, что p-n-переход обратно смещен.
Напряжение
внешнего источника U увеличивает высоту потенциального барьера до величины φк + U (рисунок 8б). Напряженность электрического поля
возрастает; ширина p-n-перехода увеличивается (рисунки 8 а, б, в), т.к.
. Процесс диффузии полностью прекращается и через
p-n-переход протекает только дрейфовый ток, ток неосновных носителей зарядов
(рисунок 8 а). Такой ток p-n-перехода называют обратным, а поскольку он связан с
неосновными носителями заряда, которые возникают за счет термогенерации, то его
называют тепловым током и обозначают - I0 , т.е.р-n=Iобр=Iдиф+Iдр ≈Iдр=
I0 (3)
Этот
ток мал по величине, т.к. связан с неосновными носителями заряда, концентрация
которых мала. При обратном смещении концентрация неосновных носителей заряда на
границе перехода несколько снижается по сравнению с равновесной. Это приводит к
диффузии неосновных носителей заряда из глубины p- и n-областей к границе
p-n-перехода. Достигнув ее, неосновные носители попадают в сильное
электрическое поле и переносятся через p-n переход, где становятся основными
носителями заряда. Диффузия неосновных носителей заряда к границе p-n-перехода
и дрейф через него в область, где они становятся основными носителями заряда,
называется экстракцией. Экстракция и создает обратный ток p-n-перехода - это
ток неосновных носителей заряда.
Рисунок 8 - Схема подключения
обратного напряжения к р-n-
переходу и изменение его характеристик.
Рисунок 9 - Схема подключения прямого
напряжения к р-n- переходу и
изменение его характеристик.
На рисунках представлены:
· кристаллы с двойным слоем объемных зарядов в р-n переходе и схемы подключения источника напряжения к p-n-переходу в обратном направлении (рисунок 8 а) и в прямом направлении (рисунок 9 а);
· изменение потенциала φ вдоль кристалла в области р-n перехода и высота потенциального барьера между p и n областями (или контактная разность потенциалов), равная φк + U на рисунке 8б и φк - U на рисунке 9б (U - напряжение внешнего источника);
· распределение объемного заряда Q вдоль p-n-перехода на рисунках 8в и 9в;
· lp-n - толщина р-n перехода.
Величина
обратного тока сильно зависит: от температуры окружающей среды, материала
полупроводника и площади p-n перехода. Тепловой ток кремниевого перехода много
меньше теплового тока перехода на основе германия
(на 3-4 порядка). Это связано с контактной разностью
потенциала φк материала.
Прямое смещение p-n-перехода. p-n-переход считается смещённым в прямом направлении, если положительный полюс источника питания подсоединен к р-области, а отрицательный к n-области (рисунок 9 а).
При прямом смещении, контактная разность потенциалов φк и напряжения источника U направлены встречно. Поэтому результирующее напряжение на p-n-переходе убывает до величины φк - U . Это приводит к тому, что:
) напряженность электрического поля убывает на p-n-переходе и возобновляется процесс диффузии основных носителей заряда.
) ширина p-n перехода уменьшается, т.к. lp-n≈( φк - U )1/2.
Ток диффузии, ток основных носителей заряда, становится много больше дрейфового тока. Через p-n-переход протекает прямой ток равный
р-n=Iпр=Iдиф+Iдр
≈ Iдиф (4)
При протекании прямого тока основные носители заряда р-области переходят в n-область, где становятся неосновными. Диффузионный процесс введения основных носителей заряда в область, где они становятся неосновными, называется инжекцией, а прямой ток - диффузионным током или током инжекции. Для компенсации неосновных носителей заряда накапливающихся в p и n-областях во внешней цепи возникает электронный ток от источника напряжения, т.е. принцип электронейтральности сохраняется.
При увеличении напряжения источника U ток резко возрастает по экспоненциальному закону Iпр =I0exp(U/φT) (φT - температурный потенциал), и может достигать больших величин, так как связан с основными носителями, концентрация которых велика.
Итак,
главное свойство p-n-перехода - это его односторонняя проводимость. Он
пропускает ток только в одном направлении.
Для диодов очень важной характеристикой является зависимость тока,
протекающего через диод, от величины постоянного напряжения, приложенного к
клеммам диода. Эта характеристика называется статической (ВАХ)
полупроводникового диода. На рисунке 10 изображены вольтамперные характеристики
для p-n-переходов из германия и кремния. Здесь же пунктиром показана
теоретическая ВАХ электронно-дырочного перехода, определяемая соотношением
(5)
где
- обратный ток насыщения (ток экстракции,
обусловленный неосновными носителями заряда; значение его очень мало); U -
напряжение на p-n-переходе;
- температурный потенциал (k - постоянная Больцмана,
Т - температура, е - заряд электрона); m - поправочный коэффициент: m = 1 для
германиевых р-n-переходов и m = 2 для кремниевых p-n-переходов при малом токе).
Кремниевые диоды имеют существенно меньшее значение обратного тока по сравнению с германиевыми диодами, вследствие более низкой концентрации неосновных носителей заряда. Обратная ветвь ВАХ у кремниевых диодов при данном масштабе практически сливается с осью абсцисс. Прямая ветвь ВАХ у кремниевых диодов расположена значительно правее, чем у германиевых диодов.
Из
рисунка 10 для теоретически рассчитанной прямой ветви ВАХ видно, что рост тока
начинается уже при малых значениях напряжения.
Рисунок
10 - Вольтамперные характеристики для германиевого (Ge), кремниевого
(Si) и теоретические рассчитанная характеристика p-n
перехода.
Реально же, для каждого типа диода существует свое напряжение отпирания Uотпр p-n перехода большее для кремниевых, чем для германиевых диодов. При напряжениях меньших Uотпр вплоть до нуля, кривая I(U) сливается с осью абсцисс, образуя так называемую «пятку» ВАХ.
Максимально допустимое увеличение обратного тока диода определяет максимально допустимую температуру диода, которая составляет 80 - 100 °С для германиевых диодов и 150 - 200 °С для кремниевых.
Минимально допустимая температура диода лежит в пределах - (60 - 70)°С.
Часто
при расчетах пользуются сопротивлением диода постоянному току, которое называют
статическим для прямого и обратного включения.
где U - постоянное напряжение, приложенное к диоду, I - сила тока, протекающего через диод при этом напряжении. Часто под U и I принимают номинальные значения напряжения и силы тока.
Кроме
того используются сопротивлением диода, которое называют дифференциальным и
равно отношению приращения напряжения к малому приращению тока:
или
При
использовании прямой и обратной ветвей ВАХ удобно определять дифференциальное
сопротивление, как тангенс угла наклона касательной к графику в интересующей
нас точке.
.
Физическая природа емкости полупроводникового диода (варикапа)
Если ток через полупроводниковый диод (или приложенное к нему напряжение от внешнего источника) быстро изменяются, то новое распределение зарядов устанавливается не сразу. Внешнее напряжение меняет ширину перехода, а значит, и величину пространственных зарядов в переходе. Кроме того, при инжекции (или экстракции) меняются заряды в области базы. Таким образом, р-п переход в полупроводниковом диоде обладает свойством емкости - может накапливать и изменять электрические заряды.
Следовательно, наряду с проводимостью, диод обладает емкостью, которую можно считать подключенной параллельно р-п переходу. Эту емкость принято разделять на две составляющие: барьерную емкость, отражающую перераспределение зарядов в переходе, и диффузионную емкость, отражающую перераспределение зарядов в базе. Такое разделение емкостей условно, но удобно на практике.
Барьерная емкость полупроводникового диода. Барьерная (зарядная) емкость обусловлена нескомпенсированным объемным зарядом ионов примесей, сосредоточенными по обе стороны от границы р-n-перехода. Эта емкость связана с образованием потенциального барьера между р и п областями и поэтому называется барьерной емкостью.
Модельным аналогом барьерной емкости может служить емкость плоского конденсатора, обкладками которого являются р- и n-области, а диэлектриком служит р-n переход, практически не имеющий подвижных зарядов. Значение барьерной емкости колеблется от десятков до сотен пикофарад. Изменение этой емкости при изменении напряжения может достигать десятикратной величины.
Величина барьерной емкости может определяется из формулы:
, (6)
где
- барьерная емкость;
-
диэлектрическая проницаемость полупроводника;
![]()
-
диэлектрическая проницаемость вакуума, ![]()
8,85∙10-12
Ф/м;
-
площадь р-п-перехода;
-
толщина р-п перехода.
Несмотря на сходство формул, между барьерной емкостью и емкостью обычного конденсатора имеется принципиальное различие. В обычном конденсаторе расстояние между его пластинами, а, следовательно, и его емкость не зависят от напряжения, приложенного к конденсатору. Толщина же р-п перехода зависит от приложенного к нему напряжения. Следовательно, барьерная емкость зависит от напряжения: при возрастании запирающего напряжения толщина р-п перехода увеличивается, а его барьерная емкость уменьшается. Зависимость Cб(U) является нелинейной. Обратный ток запертого полупроводникового диода мал, т. е. мала проводимость, которая шунтирует барьерную емкость.
Диффузионная емкость полупроводникового диода. Если полупроводниковый диод отперт, то, кроме барьерной емкости, появляется диффузионная емкость. Название следует из того, что протекание прямого тока и возникновение дополнительной емкости обусловлено диффузией электронов и дырок. Рассмотрим механизм возникновения диффузионной емкости. При протекании прямого тока электроны входят в p-область, а дырки - в п-область. Приток дырок в п-область создает там положительный заряд. Одновременно в п-область из внешней цепи от источника напряжения входят электроны. Заряды электронов компенсируют заряды дырок. Таким образом, в п-области появляются положительный заряд дырок и равный ему по абсолютной величине отрицательный заряд электронов. При изменении прямого напряжения и прямого тока оба эти заряда изменяются, оставаясь равными один другому. Если р-п переход заперт, то оба эти заряда равны нулю. Аналогичные процессы происходят и в р-области.
Таким образом, при протекании прямого тока появляется диффузионная емкость, обусловленная накоплением зарядов в р- и п- областях. Внешнее напряжение может изменять этих заряды. Диффузионная емкость нелинейная; она резко возрастает при увеличении прямого напряжения.
Диффузионная емкость шунтирована малым прямым сопротивлением отпертого
р-п перехода, поэтому ее добротность мала. Диффузионная емкость почти не
применяется в схемах из-за ее низкой добротности, сильной зависимости от
температуры, высокого уровня шумов.
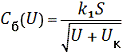
. Зависимость барьерной емкости от постоянного напряжения
В настоящее время большинство варикапов изготовляется методом вплавления
примесей в полупроводник. Для варикапов, изготовленных вплавлением, зависимость
барьерной емкости от напряжения определяется по формуле

(7)
где:
- барьерная емкость, соответствующая напряжению
;
-
коэффициент, зависящий от параметров полупроводника;
-
площадь р-п перехода;
-
обратное (запирающее) напряжение, приложенное к варикапу;
- высота
потенциального барьера между р- и п-областями перехода при отсутствии внешнего
напряжения.
Для
приближенных расчетов можно принять, что при комнатной температуре для
германиевых р-п-переходов
, а для кремниевых р-п-переходов
.
Если известно значение барьерной емкости при некотором напряжении U1 то, используя формулу (7), можно найти значение барьерной емкости при напряжении U2 по формуле:

(8)
Рабочий интервал напряжений варикапов ограничен обратными напряжениями Umin и Umax. Umax - это максимальное напряжение на варикапе. Оно должно быть меньше пробивного напряжения и равно максимально допустимому, А максимально допустимое напряжение указывается в паспорте для каждого типа варикапов. Umin - напряжение (близкое к нулю), при котором открывается диод, емкость которого шунтируется малым сопротивлением.
Величину изменения емкости варикапов в рабочем интервале напряжений удобно характеризовать коэффициентом перекрытия. Он равен отношению максимального значения барьерной емкости к ее минимальному значению:
= Cmax/Cmin , (9)
где Cmax и Cmin - соответственно максимальное и минимальное значения барьерной емкости. Если принять в формуле (3) U2=Umin и U1=Umax и считать, что Umin << Uк получаем формулу для коэффициента перекрытия:
=(1+Umax/ Uк)0,5 (10)
Во многих случаях важно знать относительное изменение емкости варикапа
при изменении напряжения. Этот параметр называется коэффициентом нелинейности
Kн:Kн=ΔСб/Сб∙ΔU, (11)