Материал: Исследования и эксперимент в системах электроснабжения

Внимание! Если размещение файла нарушает Ваши авторские права, то обязательно сообщите нам

Исследования и эксперимент в системах электроснабжения

Приднестровский государственный университет им. Т.Г. Шевченко

Инженерно-технический институт

Кафедра "Электроэнергетики и электротехники"

Контрольная работа

по дисциплине: "Исследования и эксперимент в системах электроснабжения"


Выполнил: Ст. гр. 09-ЭС Баркарь Г.Г.

Проверил: преподаватель Башкатов А.М.





Тирасполь 2014

План

Задача № 1

Задача № 2

Литература

Задача № 1


Даны результаты измерения непрерывной работы 50-ти станков в зависимости от количества обработанных деталей. Данные замеров сведены в таблицу №1.

Таблица №1.

y/x

15 - 25

25 - 35

35 - 45

45 - 55

55 - 65

65 - 75

ni

 9 - 15

1

3





4

15 - 21

1

6

2

1



10

21 - 27


2

6

8

4


20

27 - 33



1

3

4

2

10

33 - 39





2

4

6

mj

2

1

9

12

10

6

50


Где: y - количество деталей,

x - время работы.

Необходимо выполнить следующее:

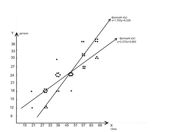
.     Построить корреляционное поле.

2.      Определить средневыборочное значение.

.        Определить не смещенные оценки Sx, Sy.

.        Определить коэффициент корреляции τx,y.

.        Найти эмпирическую функцию линейной регрессии X на Y (y от x) и отобразить эти прямые на корреляционном поле.

.        Проверить нулевую гипотезу H0, что соответствует r0 (принять уровень значимости α=0,05).

Решение.

1.   Построим корреляционное поле.


.     Вычислим среднее x, для этого просуммируем произведения середин интервалов и соответствующих частот и полученную сумму разделим на сумму этих частот.


3.   Вычислим среднее y, для этого просуммируем произведения середин интервалов и соответствующих частот и полученную сумму разделим на сумму этих частот.


4.   Определяем не смещенные оценки Sx и Sy, для этого определяем средний квадрат.

.

5.   Найдем среднеквадратичное отклонение:

 

=43,847.

6.   Находим значения Sх и Sу:

,

7.   Вычисляем коэффициенты корреляции:

  .

Коэффициент корреляции больше значения 0,5 значит, корреляция положительная и является значимой, имеющей эмпирическую функцию.

.     Находим эмпирическую функцию:

вид функции - линейная зависимость

,

находим


Подставляем значения и получаем:


9.      Находим


Подставляем значения и получаем:


10. Проверяем значимость коэффициента корреляции:


Подставляем значения и получаем:

По таблице критических распределений Стьюдента а 247 (1), по уровню значимости a=0,05 и числу степеней свободы k=48, находим что tкр=2,01. Поскольку Ттабл больше чем tкр, коэффициент корреляции значим.

Задача № 2

корреляционный интервал математический вероятность

Даны результаты испытаний стойкости 200 удлиненных сверл, диаметром 4 мм в часах. Таким образом дан интервальный статистический ряд распределения частот экспериментальных значений случайной величины X. Требуется:

.     Построить полигон и гистограмму относительных частот случайной величины X.

2.      По виду полигона и гистограммы и, исходя из механизма образования случайной величины, сделать предварительный выбор закона распределения.

.        Вычислить выборочную среднюю и исправленное среднее квадратическое отклонение.

.        Записать гипотетическую функцию распределения и плотность распределения.

.        Найти доверительные интервалы для математического ожидания и среднего квадратического отклонения при доверительной вероятности Υ=0,95.

.        Найти теоретические частоты нормального закона распределения и проверить гипотезу о нормальном распределении случайной величины с помощью критерия Пирсона при уровне значимости a=0,05.

Данные результатов испытаний приведены в таблице №2.

Табл. №2.

Xj (часы)

3 - 3,2

3,2 - 3,4

3,4 - 3,6

3,6 - 3,8

3,8 - 4

Частота

16

50

70

44

20


Решение.

1.   Построим гистограмму относительных частот в виде ступенчатой фигуры, состоящей из прямоугольников, основаниями которых служат интервалы длиной h, а высоты равны отношению w/h (плотность относительной частоты).

xi

3 - 3,2

3,2 - 3,4

3,4 - 3,6

3,6 - 3,8

3,8 - 4

Итого

w1

0,08

0,25

0,35

0,22

0,1

1

w/h

0,4

1,25

1,75

1,1

0,5



.     По виду полигона и гистограммы можно предположить, что случайная величина распределяется по нормальному закону (кривой Гаусса). Функция распределения для случайной величины x распределенной по нормальному закону записывается следующим образом:

 (1)

3.   Вычислим характеристики распределения, для этого составим расчетную таблицу:

xiс

3,1

3,3

3,5

3,7

3,9

Итого

mi

16

50

70

44

20

200

xiс mi

49,6

165

245

162.8

78

700,4

xiс2 mi

153,76

544,5

857,5

602,36

304,2

2462,32


В качестве величины x возьмем центр распределений. Выборочное среднее значение:


Вычислим исправленную выборочную дисперсию, предварительно найдем среднее квадратов:


Вычислим выборочно среднеквадратическое отклонение:


Находим исправленную выборочную дисперсию:

 

4.   В формуле (1) укажем полученные данные, тогда гипотетическая функция примет вид:


5.   Найдем доверительный интервал для оценки неизвестного математического ожидания. Он определяется по формуле:

1.  

6.   По условию Υ=0,95, по таблице а.247 (1) для Ʋ=199 и первого столбца 5% находим, что t=1,972.


7.   Пределы интегрирования математического ожидания: 3,502-0,031 и 3,502+0,031 - это есть функция M(x), её пределы 3,471 и 3,533.

.     Найдем доверительный интервал для оценки среднеквадратического отклонения. Он вычисляется по формуле:


9.      Величину q, зависящую от Υ=0,95, m=200 находим по таблице а.247(1), q=0,099  0,197<σ<0,241.

.        Вычислим теоретические частоты. Для этого пронормируем x, то есть перейдем к случайной величине z, которую можно вычислить по формуле:


11. Вероятность попадания в соответствующий интервал:


где Ф(z) - функция Лапласа.

12. Теоретические частоты:

 

где m - объем выборки.

13. Составим расчетную таблицу

Интервалы

3 - 3,2

3,2 - 3,4

3,4 - 3,6

3,6 - 3,8

3,8 - 4

Итого

z1i

-1,384

0,449

1,366


z2i

-1,384

-0,468

0,449

1,366


Ф 1i

-0,5

-0,417

-0,18

0,173

0,414


Ф 2i

-0,417

-0,18

0,173

0,414

0,5


Pi

0,083

0,237

0,353

0,241

0,086

1

16,627

47,384

70,66

48,133

17,196

200


Проверим степень согласия эмпирического и теоретического распределения по критерию Пирсона:

Интервалы3 - 3,23,2 - 3,43,4 - 3,63,6 - 3,83,8 - 4Итого







mi

16

50

70

44

20

200

16,627

47,984

70,66

48,133

17,196


0,024

0,144

0,006

0,355

0,457

0,986