В статье (Babetski, Maurel, 2002) используются методы стохастического моделирования конвергенции. Авторы исследуют взаимосвязь между скоростью конвергенции и темпами макроэкономической стабилизации, либерализации цен, приватизации. Согласно результатам проведенного анализа, контроль уровня цен и субсидии производству снижают темпы конвергенции в уровнях потребительских цен, в то время как приватизация, напротив, способствую конвергенции. Авторы пришли к выводу, что развитие рыночных институтов повышает темпы конвергенции, а интервенции правительства - снижают.
В процессе проведения текущего исследования были подробно изучены все описанные методы анализа конвергенции. В данной работе будет проведен анализ σ- и β-конвергенции (условной и безусловной) регионов России по показателям реальных ВРП и доходов на душу населения, а также по реальной заработной плате за период с 2000 года по 2013 год. Исследование будет проведено по пространственным и панельным данным.
Корреляционный анализ факторов экономического роста
В третьей главе приведены результаты оценки условной модели β-конвергенции, в которую входят ряд объясняющих факторов. Согласно предпосылкам модели, взаимная корреляция этих факторов может искажать результаты анализа и снижать качество полученных оценок. Таким образом, в модели должна отсутствовать проблема мультиколлинеарности. Для проверки данных на мультиколлинеарность используется корреляционный анализ.
Основная задача корреляционного анализа заключается в выявлении и оценке корреляционной зависимости между переменными на основе эмпирических данных. Корреляционной называют такую взаимосвязь между переменными, при которой изменение одной случайной величины (СВ) приводит к изменению среднего значения другой СВ. Степень линейной зависимости между количественными переменными описывается при помощи парных, частных и множественных коэффициентов корреляции и детерминации.
Рассмотрим двумерную корреляционную модель.
Пусть имеется генеральная совокупность, состоящая из двух
признаков Yи
X, совместное
распределение которых подчинено нормальному закону и определяется пятью
параметрами:
![]()
,
где ![]()
- математическое ожидание СВ X;
![]()
- математическое ожидание СВ Y;
![]()
- генеральное среднеквадратическое отклонение СВ X;
![]()
- генеральное среднеквадратическое отклонение СВ Y;
![]()
- генеральный парный коэффициент корреляции, который характеризует
тесноту связи между факторами Yи Xи равен математическому ожиданию произведения нормированных
СВ Y и X:
![]()
.
Парный коэффициент корреляции обладает следующими свойствами:
· ![]()
;
· если ![]()
, между переменными Yи Xотсутствует линейная корреляционная зависимость;
· если ![]()
, между переменными Yи Xсуществует линейная функциональная зависимость, то есть ![]()
;
· чем ближе значение ![]()
к ![]()
, тем теснее корреляционная зависимость между Yи X;
· если ![]()
, увеличение (уменьшение) одной переменной влечет за собой
увеличение (уменьшение) другой переменной; если ![]()
, увеличение (уменьшение) одной СВ приводит к уменьшению
(увеличению) другой СВ.
Переменные Yи Xхарактеризуются сильной корреляционной зависимостью, если ![]()
; средней - если ![]()
; умеренной - если ![]()
; слабой - если ![]()
; очень слабой - если ![]()
.
Точечная оценка генерального парного коэффициента корреляции
находится следующим образом:
![]()
,
где ![]()
, ![]()
, ![]()
, ![]()
, ![]()
, n-объем выборки.
Значимость коэффициентов корреляции проверяется при помощи t-критерия Стьюдента. Формулируется нулевая гипотеза о том,
что между переменными отсутствует корреляционная зависимость, против обратной
альтернативной гипотезы:
Затем находятся наблюдаемое и критическое значения t-статистики:
![]()
, ![]()
,
где ![]()
- допустимый уровень значимости, ![]()
число степеней свободы критерия, ![]()
-порядок частного коэффициента корреляции, то есть число
фиксированных переменных (![]()
для парного коэффициента корреляции).
Если ![]()
, нулевая гипотеза отвергается с вероятностью ошибки α. В противном случае нулевая гипотеза не
отвергается на уровне значимости α.
Регрессионный анализ безусловной β-конвергенции по пространственным данным
Для исследования безусловной β-конвергенции используется МНК-оценка
следующей регрессионной модели:
Оценка модели является несмещенной, эффективной (по теореме
Гаусса-Маркова) и состоятельной и в матричном виде выглядит следующим образом:
b = (XТ X) - 1 XТ Y,
где Y - вектор-столбец, содержащий зависимую переменную, X - матрица размерности n*k, включающая массив объясняющих переменных и единичный столбец, отвечающий за константу (n-объем выборки, k - число параметров модели).
Для ответа на вопрос, значимо ли объясняющая переменная влияет на
зависимую, выдвигается следующая нулевая гипотеза:
При выполнении нулевой гипотезы регрессор незначимо влияет на
объясняемую переменную, в случае альтернативной гипотезы влияние фактора
статистически значимо. Инструментом проверки гипотезы выступает критерий
Стьюдента:
;
,
где ![]()
- точечная оценка i-го
коэффициента регрессии; ![]()
-стандартная ошибка данной оценки. Наблюдаемое значение критерия
сравнивается с критическим: если модуль наблюдаемого значения превышает
критическое - нулевая гипотеза отвергается, и наоборот.
Для проверки значимости модели в целом выдвигаются следующие
нулевая и альтернативная гипотезы:
При выполнении нулевой гипотезы модель признается незначимой на
заданном уровне значимости, и наоборот. Гипотеза проверяется с использованием
критерия Фишера:
;
Если наблюдаемое значение статистики Фишера превосходит критическое, нулевая гипотеза отвергается и модель признается значимой.
Случайные ошибки МНК-модели должны удовлетворять нормальному
закону распределения. Кроме того, в них должны отсутствовать проблемы
гетероскедастичности и автокорреляции. Для проверки на нормальность
используются разные тесты, среди них - критерии Пирсона, Колмогорова-Смирнова,
Харке-Бера. В данной работе будет использованы последние два критерия. Для
каждого критерия нулевая гипотеза соответствует тому, что данные распределены
по нормальному закону:
, i=1,…,n
Критерий Колмогорова-Смирнова использует следующую статистику:
![]()
, где
![]()
- теоретическая функция распределения;
![]()
- эмпирическая функция распределения;
- накопленная до ![]()
частота.
Если наблюдаемое значение больше критического, гипотеза о нормальном распределении случайной ошибки отвергается на заданном уровне значимости.
Критерий Харке-Бера:
;
,
Если наблюдаемое значение статистики Харке-Бера больше критического, гипотеза о нормальном распределении случайной ошибки отвергается.
Гетероскедастичность, или неоднородность дисперсии ошибки от наблюдения к наблюдению, может быть обусловлена целым рядом причин. В зависимости от природы гетероскедастичности, существует множество тестов, проверяющих ее наличие. В данной работе будут использованы тесты Бреуша-Пагана и Уайта.
Критерий Бреуша-Пагана:
,
Тест Уайта:
Для обоих тестов справедливо следующее: если наблюдаемое значение тестовой статистики больше критического, гипотеза о незначимости вспомогательного уравнения регрессии отвергается - отвергается гипотеза об отсутствии гетероскедастичности.
Автокорреляция случайных ошибок есть не что иное, как зависимость
ошибок между собой во времени. Тестов на автокорреляцию довольно много,
наиболее популярный из них - тест Дарбина-Уотсона, который и будет
использоваться в данной работе. Тест выглядит следующим образом:
DWкр (α; dнижн; dверхн)
DWнабл= В
зависимости от того, в какой интервал попадет наблюдаемое значение статистики
Дарбина-Уотсона, делается вывод об автокорреляции в данной модели:
+
?
нет
?
-
0 dнижн
dверхн
4 - dверхн 4 -
dнижн
4
Регрессионный анализ безусловной и условной β-конвергенции по панельным данным
Для оценки влияния различных факторов на темп роста
исследуемого показателя будут использованы модели с панельными данными.
Панельные данные содержат наблюдения за одними и теми же объектами в разные
периоды времени. Таким образом, панельные данные сочетают в себе как данные
пространственного типа, так и временные ряды. Использование панельных данных
позволяет учитывать и анализировать индивидуальные отличия между объектами, что
невозможно в рамках стандартных регрессионных моделей.
Пусть Теперь введем "объединенные" наблюдения и ошибки:
В данном случае Объединенная модель регрессии выглядит следующим образом:
Или в матричной форме:
Данная модель не учитывает панельную структуру данных. В случае
если все ошибки Как было сказано выше, панельные данные позволяют учитывать
индивидуальные различия между объектами. Одна из возможных реализаций данной
идеи выглядит следующим образом:
где В зависимости от предположений относительно характера величины 1. Модель с фиксированным эффектом: предполагается, что 2. Модель со случайным эффектом: предполагается, что Модель с фиксированным эффектом
Данная модель описывается уравнением, в котором переменные . Ошибки . Ошибки Введем фиктивные переменные для каждого объекта:
Объединим фиктивные переменные в одну матрицу:
где вектор Перейдем к средним величинам:
Или в матричной форме:
где
Оценки Оценки с фиксированным эффектом являются асимптотически
нормальными (при Модель со случайным эффектом
Модель со случайным эффектом описывается уравнением:
µ - константа, а . Ошибки . Ошибки . Ошибки . Ошибки . Ошибки Таким образом, модель со случайным эффектом можно рассматривать
как линейную модель, в которой ошибка имеет специальную структуру Межгрупповые оценки В таком случае оценка со случайным эффектом будет выглядеть
следующим образом:
где W-некоторая матрица, которую можно
вычислить в явном виде и которая пропорциональна матрице ковариаций оценки Таким образом, оценка со случайным эффектом является
средневзвешенной внутри - и межгрупповой оценок.
Итак, при наличии панельных данных имеют место несколько оценок вектора
коэффициентов β:
1. МНК-оценка в обычной модели регрессии.
2. Внутригрупповая оценка - оценка в регрессии,
которая оперирует с отклонениями исходных данных от средних по времени для
каждого объекта. Данная оценка также называется оценкой с фиксированным
эффектом.
3. Межгрупповая оценка - оценка в регрессии
индивидуальных средних по времени.
4. Оценка со случайным эффектом - оценка, полученная
применением обобщенного метода наименьших квадратов в модели.
Оценка качества подгонки
Качество подгонки стандартных моделей регрессии обычно измеряется
коэффициентом детерминации В большинстве статистических пакетов меры качества подгонки
вычисляются с учетом следующего факта: для стандартной линейной модели
регрессии коэффициент детерминации
где r - выборочный коэффициент корреляции.
Аналогично определяется коэффициент детерминации для межгрупповой
регрессии:
Наконец, для обычной модели объединенный коэффициент детерминации
равен:
Данные коэффициенты детерминации можно применять для сравнения
моделей, отличающихся набором регрессоров и оцениваемых одним и тем же методом.
В то же время описанные меры подгонки нецелесообразно использовать для того,
чтобы определить, какой метод оценивания наиболее предпочтителен.
Выбор оптимальной модели
Рассмотрим следующие статистические тесты, позволяющие решать
проблему выбора модели с помощью стандартной техники проверки гипотез.
1. Обычная модель против модели с
фиксированным эффектом - тест Вальда.
Рассмотрим модель с фиктивными переменными:
Нулевая гипотеза 2. Обычная модель против модели со случайным
эффектом - тест Бреуша-Пагана.
Рассмотрим модель со случайным эффектом:
Нулевая гипотеза где При гипотезе 3. Случайный эффект против фиксированного
эффекта - тест Хаусмана.
В модели со случайным эффектом предполагается, что индивидуальные
эффекты не коррелируют с остальными объясняющими переменными. Таким образом,
проверяется нулевая гипотеза Для проверки гипотезы используют тест Хаусмана. Идея теста состоит
в том, что при нулевой гипотезе оценки
Для проверки нулевой гипотезы используется статистика:
имеющая при нулевой гипотезе асимптотически хи-квадрат
распределение с kстепенями свободы (k-размерность вектора β). Если Главным источником формирования базы статистических данных,
используемых в данной работе, выступил сайт Госкомстата. Для анализа были
отобраны показатели социально-экономического развития для 76 регионов России.
Из выборки были исключены регионы, содержащие выбросы данных, а также те
субъекты, по которым отсутствовала информация. В частности, были в анализ не
вошли г. Москва, г. Санкт-Петербург, Чеченская республика, Ямало-Ненецкий
автономный округ и несколько других субъектов.
В качестве факторов экономического развития, по которым можно
судить о степени дифференциации регионов России, были выбраны показатели
реального ВРП на душу населения, реального дохода на душу населения и реальной
заработной платы. Реальные доход и заработная плата были рассчитаны путем
деления соответствующих номинальных показателей на величину прожиточного
минимума.
Факторами, предположительно влияющими на экономический рост
региона, выступили: численность населения в регионе, инвестиции в основной
капитал, инфляция (индекс потребительских цен), доходы регионального бюджета
(налоговые, неналоговые доходы, а также гранты), коэффициент миграционного
прироста, доля населения младше трудоспособного возраста, а также доля
населения старше трудоспособного возраста.
Практически все переменные вошли в анализ в логарифмическом
выражении (кроме коэффициента миграционного прироста). Для факторов ВРП на душу
населения, реального дохода на душу населения и реальной заработной платы были
сформированы темпы роста за различные периоды - также в логарифмическом
масштабе.
Выборка содержит наблюдения по 76 объектам за 14 лет. Для
каждого фактора была сформирована панельная переменная. Таким образом, в анализ
вошли 13 переменных панельной структуры, каждая из которых включает 988
наблюдений.
В Приложении 1 представлены описательные статистики для
каждой переменной, включенной в анализ.
Несмотря на то, что сегодня нет единого мнения относительно
наличия β-конвергенции среди
регионов России в 1992-2000 годах, большинство авторов полагают, что в
девяностые годы данное явление не присутствовало в экономике страны. Напротив,
феномен конвергенции в 2000-2010 годах является предметом бурной полемики среди
исследователей данной области. По этой причине в текущей работе будет проверено
присутствие конвергенции регионов России в период с 2000 года по 2013 год.
В первую очередь оценим модель безусловной β-конвергенции для трех периодов (2000 - 2005 гг., 2005-2010 гг. и
2010-2013 гг.) по следующим показателям: валовый региональный продукт на душу
населения, реальный доход на душу населения, реальная заработная плата. Для
каждого периода построим парную модель регрессии темпа роста показателя за
период на логарифм его начального уровня:
Рисунок 1. Гистограммы и проверки на выбросы для переменной growth_grp на
трех временных интервалах: 2000-2005, 2005-2010, 2010-2013 гг.
Все переменные, используемые в анализе, очищены от выбросов с
использованием ящичковых диаграмм (Рисунок 1). Отсутствие точек, выходящих за
допустимые пределы диаграммы, свидетельствует об отсутствии выбросов и
аномальных значений. Соответствующие графики для остальных переменных
представлены в Приложении 2.
Согласно критериям Колмогорова-Смирнова и Шапиро-Уилка, для
каждой модели гипотеза о нормальности распределения зависимых переменных не
отвергается. Данный вывод наглядно подтверждается гистограммами соответствующих
переменных, которые демонстрируют распределения, крайне близкие к нормальному
закону.
Оценим модель безусловной β-конвергенции ВРП на душу населения для трех периодов (Таблица 1).
Согласно результатам оценки, в период 2000-2005 гг. не наблюдалось конвергенции
по показателю реального ВРП на душу населения (коэффициент перед переменной
ln_grp незначим). Оценки коэффициентов регрессии в моделях, построенных в
периоды 2005-2010 гг. и 2010-2013 гг. отрицательны и статистически значимы -
следовательно, в данном случае можно сделать вывод о присутствии конвергенции.
Таблица 1.
Оценка модели безусловной β - конвергенции для реального ВРП на душу населения
Зависимая
переменная - growth_grp
2000-2005
Оценка
коэффициента
Стандартная
ошибка
t-статистика
p-value
ln_grp
-0,0295
0,0351
-0,8400
0,4040
const
1,3948
0,3590
3,8900
0,0000
F (1, 74) =0,7
Prob>F=0,4042
R2=0,0094
N=76
Тест
Бреуша-Пагана: Prob>χ2=0,8202;
Тест Уайта: Prob>χ2=0,8759;
Тест Харке-Бера: Prob>JB=0,5679
2005-2010
Оценка
коэффициента
Стандартная
ошибка
t-статистика
p-value
ln_grp
-0,1098
0,0327
-3,3600
0,0010
const
2,0608
0,3694
5,5800
0,0000
F (1, 74) =11,3
Prob>F=0,0012
R2=0,1325
N=76
Тест
Бреуша-Пагана: Prob>χ2=0,6574; Тест Уайта: Prob>χ2=0,5678; Тест Харке-Бера: Prob>JB=0,3292
2010-2013
Оценка
коэффициента
Стандартная
ошибка
t-статистика
p-value
ln_grp
-0,0790
0,0205
-3,8500
0,0000
const
1,3283
0,2491
5,3300
0,0000
F (1, 74) =14,8
Prob>F=0,0003
R2=0,1667
N=76
Тест
Бреуша-Пагана: Prob>χ2=0,7834;
Тест Уайта: Prob>χ2=0,7345; Тест Харке-Бера: Prob>JB=0,2341
Далее оценим модель безусловной β-конвергенции по показателю реального дохода на душу населения
(Таблица 2). Для периодов 2000-2005 гг. и 2005-2010 гг. оценки коэффициентов
регрессии отрицательны и статистически значимы, в то время как соответствующий
коэффициент для периода 2010-2013 гг. не является значимым. Таким образом,
согласно построенным моделям, β-конвергенция по
показателю реального дохода на душу населения присутствовала в период 2000-2010
гг., однако в последующие три года данное явление не имело места быть.
Таблица 2.
Оценка модели безусловной β - конвергенции для реального дохода на душу населения
Зависимая
переменная - growth_inc
2000-2005
Оценка
коэффициента
Стандартная
ошибка
t-статистика
p-value
ln_inc
-0,2569
0,0595 0,0000
const
0,6285
0,0179
35,0700
0,0000
F (1, 74)
=18,64
Prob>F=0,0000
R2=0,
2012
N=76
Тест
Бреуша-Пагана: Prob>χ2=0,1302; Тест Уайта: Prob>χ2=0,0959; Тест Харке-Бера: Prob>JB=0,0983
2005-2010
Оценка
коэффициента
Стандартная
ошибка
t-статистика
p-value
ln_inc
-0,3642
0,0486
-7,4900
0,0000
const
0,5123
0,0374
13,6900
0,0000
F (1, 74)
=56,04
Prob>F=0,0000
R2=0,4309
N=76
Тест
Бреуша-Пагана: Prob>χ2=0,2361; Тест Уайта: Prob>χ2=0,4653; Тест Харке-Бера: Prob>JB=0,0768
2010-2013
Оценка
коэффициента
Стандартная
ошибка
t-статистика
p-value
ln_inc
-0,0620
0,0574
-1,0800
0,2830
const
0,1513
0,0570
2,6500
0,0100
F (1, 74) =1,17
Prob>F=0,2829
R2=0,0156
N=76
Тест
Бреуша-Пагана: Prob>χ2=0,5863; Тест Уайта: Prob>χ2=0,6984; Тест Харке-Бера: Prob>JB=0,0935
Наконец, конвергенция по реальной заработной плате
присутствует для всех оцениваемых периодов: оценки соответствующих
коэффициентов регрессии отрицательны и значимы (Таблица 3).
Таблица 3.
Оценка модели безусловной β - конвергенции для реальной заработной платы
Зависимая
переменная - growth_wage
2000-2005
Оценка коэффициента
Стандартная
ошибка
t-статистика
p-value
ln_wage
-0,3279
0,0355
-9,2300
0,0000
const
0,7495
0,0126
59,5600
0,0000
F (1, 74)
=85,24
Prob>F=0,0000
R2=0,5353
N=76
Тест
Бреуша-Пагана: Prob>χ2=0,3012; Тест Уайта: Prob>χ2=0,3974; Тест Харке-Бера: Prob>JB=0,5984
2005-2010
Оценка
коэффициента
Стандартная
ошибка
t-статистика
p-value
ln_wage
-0, 1981
0,0536
-3,7000
0,0000
const
0,3522
0,0498
7,0700
0,0000
F (1, 74)
=13,67
Prob>F=0,0004
R2=0,1559
N=76
Тест
Бреуша-Пагана: Prob>χ2=0,2769; Тест Уайта: Prob>χ2=0,4562; Тест Харке-Бера: Prob>JB=0,2645
2010-2013
Оценка
коэффициента
Стандартная
ошибка
t-статистика
p-value
ln_wage
-0,1755
0,0395
-4,4400
0,0000
const
0,3224
0,0434
7,4300
0,0000
F (1, 74) =19,7
Prob>F=0,000
R2=0,2102
N=76
Тест
Бреуша-Пагана: Prob>χ2=0,3452; Тест Уайта: Prob>χ2=0,3543; Тест Харке-Бера: Prob>JB=0,3879
Для всех описанных моделей не отвергается нулевая гипотеза об
отсутствии гетероскедастичности (согласно тестам Бреуша-Пагана и Уайта), а такжео
нормальности распределения случайных остатков (тест Харке-Бера).
Далее резюмируем полученные результаты и рассчитаем скоростьβ-конвергенции для каждого случая (Таблица 4). Конвергенция
реальной заработной платы присутствует для всех трех периодов, при этом ее
скорость снижается после 2005 года и относительно растет после 2010 года. Темпы
конвергенции ВРП на душу населения росли со временем, однако для периода
2000-2005 гг. нельзя сделать статистически значимый вывод о присутствии β-конвергенции. Конвергенция реальных доходов на душу населения
наблюдалась вплоть до 2010 года, в период 2010-2013 гг. конвергенция по данному
показателю не присутствовала в регионах России.
Таблица 4.
Коэффициенты β - конвергенции для
периодов 2000-2005 гг., 2005-2010 гг., 2010-2013 гг.
Период
Реальный доход
на душу населения
Реальный ВРП на
душу населения
Реальная
заработная плата
К-т регрессии b
β, %
К-т регрессии b
β, %
К-т регрессии b
β, %
2000-2005
-0,26***
5,94
-0,03
0,60
-0,33***
7,95
2005-2010
-0,36***
9,06
-0,11***
2,33
-0, 20***
4,41
2010-2013
-0,06
2,13
-0,08***
2,74
-0,18***
6,43
Анализ пространственных данных не позволяет учесть
индивидуальные особенности регионов, если таковые присутствуют. Для решения
проблемы перейдем к анализу панельных данных.
В данной главе перейдем к анализу модели β-конвергенции по панельным данным. Для начала оценим модель
безусловной конвергенции, в основе которой лежит базовое уравнение, предложенное
(Barro, Sala-i-Martin, 1991). Преобразованная
модель для панельных данных принимает следующий вид:
где Зависимая переменная в данном случае - натуральный логарифм
ежегодного темпа роста исследуемого фактора, объясняющий фактор - натуральный
логарифм данного фактора за предыдущий период. Оценка проводилась для трех
отрезков периода 2000-2013 гг.
Конвергенция реального ВРП на душу населения подтверждается для
всех трех периодов: оценки коэффициентов перед фактором "логарифм
ВРП" отрицательны, коэффициенты значимы на высоком уровне значимости
(Таблица 5). Данный вывод отчасти противоречит результатам анализа по
пространственным данным, согласно которым, в период 2000-2005 гг. конвергенция
по ВРП на душу населения не наблюдалась.
Для периода 2000-2005 гг. нулевая гипотеза о том, что в модели
отсутствуют фиксированные эффекты, не отвергается на уровне значимости 0,05 -
следовательно, в данном случае предпочтительна обычная МНК-модель (согласно
тесту Вальда, Prob > F = 0,3999). В то же время для данного временного
интервала отвергается гипотеза о том, что МНК-модель предпочтительнее модели со
случайными эффектами (согласно тесту Бреуша-Пагана, Prob > chi2 = 0,0176).
Несмотря на то, что тест Хаусмана свидетельствует в пользу модели с
фиксированными эффектами (Prob>chi2 = 0,0000), в данном случае модель со
случайными эффектами более адекватна имеющимся данным.
Таблица 5.
Оценка модели безусловной β - конвергенции для реального ВРП на душу населения
Зависимая
переменная - growth_grp
2000-2005
2005-2010
2010-2013
FE
RE
FE
RE
FE
RE
ln_grp
-0,0703***
-0,0168**
-0,2544***
-0,0665***
-0,362***
-0,0537***
(0,0135)
(0,0071)
(0,0177)
(0,0093)
(0,0225)
(0,0093)
const
0,9684***
0,398***
3,1401***
0,9416***
4,5675***
0,7833***
(0,1436)
(0,0756)
(0, 207)
(0,1092)
(0,2761)
(0,1144)
N
380
380
380
380
228
228
R2
within
0,0825
0,0825
0,4057
0,4057
0,6318
0,6318
between
0,003
0,003
0,0583
0,0583
0,1283
0,1283
overall
0,0147
0,0147
0,1185
0,1185
0,1151
0,1151
Сравнение с
OLS-моделью
F (75, 303) =
1,04
Wald chi2 (1) =
5,63
F (75, 303) =
2,52
Wald chi2 (1)
= 50,82
F (75, 151) =
4,44
Wald chi2 (1) =
33,30
Prob > F =
0,3999
Prob > chi2
= 0,0176
Prob > F=
0,0000
Prob > chi2
= 0,0000
Prob > F =
0,0000
Prob > chi2
= 0,0000
Тест Хаусмана
chi2 (1) =21,81
chi2 (1) =
156,31
chi2 (1) =
226,76
Prob>chi2 =
0,0000
Prob>chi2 =
0,0000
Prob>chi2 =
0,0000
Для остальных периодов тест Вальда свидетельствует в пользу
модели с фиксированными эффектами, тест Бреуша-Пагана считает наиболее оптимальной
модель со случайными эффектами. Согласно тесту Хаусмана, модель с
фиксированными эффектами является наиболее предпочтительной. Таким образом, в
данном случае оптимальной является модель с фиксированными эффектами.
Для реального дохода на душу населения конвергенция также
подтверждается для трех исследуемых периодов: оценки коэффициентов перед
независимой переменной отрицательны, коэффициенты значимы на высоком уровне
значимости (Таблица 6). Кроме того, для каждого периода модель с фиксированными
эффектами является наиболее предпочтительной (тест Вальда - FE-модель; тест
Бреуша-Пагана - RE-модель; тест Хаусмана - FE-модель).
Таблица 6.
Оценка панельной модели безусловной β - конвергенции для реального дохода на душу населения
Зависимая
переменная - growth_income
2000-2005
2005-2010
2010-2013
FE
RE
FE
RE
FE
RE
ln_income
-0,2297***
-0,1243***
-0,3964***
-0,1269***
-0,5794***
-0,0484**
(0,0148)
(0,0112)
(0,0302)
(0,0144)
(0,0651)
(0,0214)
const
0,2172***
0,1720***
0,3942***
0,1597***
0,6224***
0,0797***
(0,0069)
(0,0061)
(0,0264)
(0,0130)
(0,0666)
(0,0223)
N
380
380
380
380
228
228
R2
within
0,4425
0,4425
0,3623
0,3623
0,3437
0,3437
between
0,069
0,069
0,2561
0,2561
0,0000
0,0000
overall
0, 2087
0, 2087
0,1687
0,1687
0,0173
0,0173
Сравнение с
OLS-моделью
F (75,303) =
240,49
Wald chi2 (1) =
121.18
F (75,303) =
172,15
Wald chi2 (1)
=76,68
F (75, 151) =
2, 19
Wald chi2 (1) =
5,08
Prob > F =
0,0000
Prob > chi2
= 0.0000
Prob > F=
0,0000
Prob > chi2=
0,0000
Prob > F =
0,0000
Prob > chi2
= 0,0242
Тест Хаусмана
chi2 (1)
=120,90 Prob>chi2 = 0.0000
chi2 (1)
=103,34 Prob>chi2 = 0,0000
chi2 (1) =
74,51 Prob>chi2 = 0,0000
В Таблице 7 приведены результаты оценки модели безусловной β-конвергенции для реальной заработной платы.
Как и в предыдущих случаях, каждый временной период
характеризуется конвергенцией данного показателя, что согласуется с
результатами анализа по пространственным данным.
Оптимальной моделью для каждого периода является модель с
фиксированными эффектами.
Таблица 7.
Оценка панельной модели безусловной β - конвергенции для реальной заработной платы
Зависимая
переменная - wage_grp 2000-2005
2005-2010
2010-2013
FE
RE
FE
RE
FE
RE
ln_wage
-0,3187***
-0, 1915***
-0,4372***
-0,0987***
-0,5346***
-0,0999***
(0,0104)
(0,0097)
(0,0298)
(0,0149)
(0,0521)
(0,0185)
const
0,3263***
0,2497***
0,4806***
0,1351***
0,6554***
0,1584***
(0,0067)
(0,0066)
(0,0305)
(0,0155)
(0,0596)
(0,0215)
N
380
380
380
380
228
228
R2
within
0,7574
0,7574
0,4151
0,4151
0,4111
0,4111
between
0,3849
0,3849
0,0437
0,0437
0,1409
0,1409
overall
0,5065
0,5065
0,1036
0,1036
0,114
0,114
Сравнение с
OLS-моделью
F (75,303) =
946,00
Wald chi2 (1)
=387,89
F (75, 303) =
2,88
Wald chi2 (1) =
43,68
F (75, 151) =
1,68
Wald chi2 (1) =
29,07
Prob > F=
0,0000
Prob > chi2
= 0,0000
Prob > F =
0,0000
Prob > chi2
= 0,0000
Prob > F =
0,036
Prob > chi2
= 0,0000
Тест Хаусмана
chi2 (1)
=1265,16 Prob>chi2 = 0,0000
chi2 (1)
=172,11 Prob>chi2 = 0,0000
chi2 (1) =
79,80 Prob>chi2 = 0,0000
При добавлении в панельную модель безусловной β-конвергенции факторов, влияющих на экономический рост, модель
преобразуется в "условную". Большинство исследователей выбирают для
анализа следующую спецификацию условной модели:
где В статьях (Guriev, Vakulenko, 2012), (Lehmann, Silvagni, 2014), (Lehmann, Silvagni, 2014) подробно обосновывается влияние
различных факторов на экономический рост и конвергенцию регионов России.
Опираясь результаты данных работ, введем в анализ следующие переменные:
численность населения в регионе, инвестиции в основной капитал, инфляция
(индекс потребительских цен), доходы регионального бюджета (налоговые,
неналоговые доходы, а также гранты), коэффициент миграционного прироста, доля
населения младше трудоспособного возраста, доля населения старше
трудоспособного возраста.
В каждую оцененную ранее панельную модель безусловной β-конвергенции
включим перечисленные факторы. Для каждой спецификации и каждого периода
оптимальной оказалась модель с фиксированным индивидуальным эффектом (Таблице
8).
Таблица 8.
Оценка панельной модели условной β - конвергенции для реального ВРП, реального дохода на душу
населения и реальной заработной платы
growth_grp
growth_income
growth_wage
2000-2005
2005-2010
2010-2013
2000-2005
2005-2010
2010-2013
2000-2005
2005-2010
2010-2013
FE
FE
FE
FE
FE
FE
FE
FE
FE
grp
-0,4512*** (0,0497)
-0,4615*** (0,0632)
-0,4980*** (0,0752)
income
-0,3743*** (0,0440)
-0,6011*** (0,0540)
-0,7056*** (0,0934)
wage
-0,3849***
(0,0319)
-0,7355*** (0,0592)
-0,8853*** (0,0897)
popul
0,0084 (0,0620)
-0,6555 (0,4258)
0,8233 (0,5563)
0,0662 (0,0456)
-1,0181** (0,3043)
-1,6978*** (0,5548)
-0,0298**
(0,0373)
0,3920* (0,2362)
-0,8161*
(0,5012)
cpi
-0,5082*** (0,0224)
-1,3466*** (0,2129)
-0,0225 (0,0305)
-0,1706 (0,1340)
0,2364 (0,1538)
0,0259*** (0,0305)
0,1489***
(0,1106)
0,3607** (0,1178)
-0,0114***
(0,0274)
invest
-0,0002 (0,1734)
-0,0064 (0,0256)
0,2847 (0,2983)
0,0475*** (0,0144)
0,0438** (0,0178)
0,0011 (0,3010)
0,0265 (0,0116)
0,0110 (0,0138)
-1,0993
(0,2685)
bud_inc
0,0120 (0,0080)
0,0813* (0,0504)
0,0216*** (0,0059)
0,0150** (0,0061)
0,0461* (0,0274)
0,0002 (0,0062)
0,0022 (0,0050)
0,0273 (0,0218)
0,0101*
(0,0053)
migr_rate
-0,0001*** (0,0000)
-0,0005*** (0,0002)
-0,0001 (0,0001)
0,0000 (0,0000)
-0,0002* (0,0001)
0,0002** (0,0001)
-0,0001*
(0,0000)
-0,0001 (0,0001)
0,0002**
(0,0001)
st_trud
-0,1477 (0,1214)
0,9273*** (0,2469)
0,4613 (0,4003)
-0,1768** (0,0927)
-0,4347** (0,1695)
-1,3000*** (0,3658)
0,0693 (0,0761)
0,3366** (0,1320)
0,1516
(0,3601)
mol_trud
-2,1450*** (0,2697)
-1,6145*** (0,3936)
0,4216 (0,3688)
-0,0728 (0,1701)
0,1115 (0,2747)
0,9148** (0,3521)
-0,1554 (0,1461)
-0,9654*** (0,2173)
0,3500
(0,3115)
const
13,9945 (1,3840)
17,5135*** (3,5324)
-3,6688 (4,3218)
1,1101 (0,7742)
7,0315*** (2,5012)
19,1238*** (4,4426)
0,0463***
(0,6715)
-2,3021 (1,9466)
10,4576*
(4,1172)
N
380
380
228
380
380
228
380
380
228
В Таблице 8 видно, что не все включенные в модели факторы
значимы, однако значимых большинство. В некоторых случаях незначимость оценок
параметров может быть вызвана явлением мультиколлинеарности. В Приложении 4
представлены оценки парных коэффициентов корреляции между переменными. Согласно
таблице, проблема мультиколлинеарности не характерна для массива факторов.
Несмотря на незначимость некоторых переменных, данные показатели не исключены
из анализа и представлены в Таблице 8 с целью дальнейшей содержательной
интерпретации.
После включения дополнительных объясняющих переменных явление
конвергенции осталось характерным для каждой модели.
Анализ статических моделей панельных данных имеет ряд
недостатков. Во-первых, при условии корреляции между лагом зависимой эндогенной
зависимой переменной в правой части модели и индивидуальным фиксированным
эффектом оценки являются несостоятельными. Во-вторых, некоторые переменные,
включенные в модель условной конвергенции, могут оказаться эндогенными.
Для решения проблемы эндогенности (Anderson-Hsiao, 1981) предложили
системную GMM-оценку модели панельных данных. Данный подход предполагает
одновременную оценку двух уравнений:
и В первом уравнении в качестве инструментальных переменных
используются лаги факторов Ранее были построены статические модели для трех периодов -
2000-2005 гг., 2005-2010 гг. и 2010-2013 гг. Согласно полученным оценкам,
конвергенция по ВРП на душу населения, доходу на душу населения и заработной
плате присутствует для всех периодов. Оценки динамических моделей для трех
периодов крайне близки к соответствующим оценкам, полученным для статических
моделей. По этой причине построим динамическую GMM-модель для всего исследуемого интервала - с 2000 года по 2013
год.
Результаты оценки GMM-модели для
трех переменных представлены в Таблице 9.
Таблица 9.
Оценка динамической панельной модели условной β - конвергенции для реального ВРП, реального дохода на душу
населения и реальной заработной платы за 2000-2013 гг.
Исследуемый
период - 2000-2013 гг.
grp
income
wage
Лаг зависимой
переменной (1)
0,5496***
0,7529***
0,6435***
(0,0214)
(0,0280)
(0,0251)
popul
-0,0568**
0,0714***
0,1066***
(0,0286)
(0,0175)
(0,0236)
cpi
-0,4136***
-0,2824***
-0,0006
(0,0151)
(0,0091)
(0,0063)
invest
0,2642***
0,0453***
0,0573***
(0,0968)
(0,0812)
(0,0687)
bud_inc
0,0092*
0,0125***
0,0276***
(0,0052)
(0,0041)
(0,0034)
migr_rate
-0,0003***
0,0001
0,0000
(0,0000)
(0,0001)
(0,0000)
st_trud
0,4060***
-0,2303***
-0,1201***
(0,0966)
(0,0498)
(0,0438)
mol_trud
-0,3865***
0,2932***
0,4209***
(0,0805)
(0,0581)
(0,0624)
const
6,5940***
0,6580***
-1,6699***
(0,6133)
(0,5091)
(0,4990)
N
912
912
912
Явление конвергенции подтверждается для всех переменных.
Оценки практически всех коэффициентов высоко значимы, что свидетельствует о
целесообразности включения дополнительных объясняющих факторов в модель.
Направление влияния объясняющих переменных ожидаемо и
объяснимо с экономической точки зрения. Численность населения положительно
влияет на средний доход и заработную плату. Соответственно, чем крупнее
субъект, тем выше доходы его резидентов. Данное явление объясняется тем, что в
крупных регионах, как правило, лучше развиты производство и сфера услуг,
выдвигающие основной спрос на рабочую силу.
С ростом темпа инфляции реальные среднедушевые доходы, ВРП и
заработная плата, напротив, снижаются. Повышение инфляции понижает
покупательную способность денежных средств и, следовательно, ведет к сокращению
реальных уровней исследуемых показателей.
Повышение инвестиций в основной капитал стимулирует развитие
производства. В этой связи рост доходов, ВРП и заработной платы с повышением
объема инвестиций вполне объясним. Колоссальная доля доходов бюджета приходится
на налоги. Таким образом, с ростом бюджетных доходов повышается налоговая
нагрузка на бизнес, что ведет к снижению как реального ВРП на душу населения,
так и реальных среднедушевых доходов и зарплаты.
Влияние коэффициента миграционного прироста крайне слабо для
всех трех моделей и значимо лишь для ВРП. Коэффициент рассчитывается как
отношение чистого миграционного прироста (прибывшие минус убывшие) к
численности населения региона. Согласно модели, коэффициент миграции
отрицательно влияет на ВРП на душу населения. Данных эффект связан с
положительным влиянием эмиграции и отрицательным воздействием иммиграции на
ВРП. Последние явления согласуются с неоклассической экономической теорией,
согласно которой отрицательное воздействие спроса на труд превалирует над
положительным эффектом от роста предложения труда
С увеличением доли населения старше трудоспособного возраста
растет средний уровень ВРП и снижаются уровни доходов и заработной платы. И,
напротив, чем выше доля молодого населения (ниже трудоспособного возраста), тем
ниже ВРП на душу населения и выше доходы и заработная плата. Интерпретация в
данном случае неочевидна. Вероятно, соответствующие векторы влияния объясняются
посредством каких-то сторонних факторов.
Включение описанных выше переменных в динамические модели β-конвергенции повышает значимость и качественные характеристики
последних моделей, а также доказывает значимое влияние перечисленных факторов
на темпы конвергенции в регионе.
Во второй главе были описаны результаты построения моделей β-конвергенции для 76 регионов России. Анализ проводился для трех
переменных и трех периодов времени - 2000-2005 гг., 2005-2010 гг. и 2010-2013
гг. Проанализируем результаты моделирования по каждой переменной.
Конвергенция реального ВРП на душу населения была
подтверждена практически по всех моделях. В модели, построенной по
пространственным данным, темп β-конвергенции вырос в
период с 2000 года по 2010 год, однако за период 2010-2013 гг. он немного
снизился. Значимость отрицательного коэффициента конвергенции ВРП не
подтвердилась лишь для самого раннего периода 2000-2005 гг. - и только в данной
модели. Оценки коэффициентов, полученные по безусловной панельной модели, в
среднем немного выше, чем в кросс-модели, значимы для всех периодов и неизменно
растут со временем. Коэффициенты условной модели β-конвергенции в среднем выше, чем для всех остальных спецификаций,
значимы и растут с постоянным невысоким темпом. Добавление в панельную модель
дополнительных объясняющих переменных повысило оценки коэффициентов
конвергенции. В начале двухтысячных ИПЦ, коэффициент миграционного прироста и
доля населения младше трудоспособного возраста оказывали значимый и ожидаемый
по знаку эффект на темп роста ВПР, однако в период 2010-2013 лишь доходы
бюджета значимо влияли на данный показатель.
Анализ межрегиональной дифференциации реального дохода на
душу населения также привел к выводам о наличии конвергенции данного фактора
для всех временных интервалов. При исследовании пространственных данных
незначимым оказался лишь коэффициент для периода 2010-2013 гг. Для всех
панельных спецификаций коэффициент β-конвергенции обладает
высокой статистической значимостью и довольно быстро растет со временем. Как и
в случае ВРП, добавление дополнительных переменных, влияющих на экономический
рост, повысило оценки коэффициентов безусловной модели. В период 2000-2010 гг.
инвестиции и доходы бюджета оказывали значимое положительное влияние на темп
роста реального дохода, в то время как в 2010-2013 гг. значимость данного
влияния исчезла. В этот период значимый эффект на рост показателя оказывали
численность населения, ИПЦ, коэффициент миграционного прироста, а также доли
лиц старше и моложе трудоспособного возраста в общей численности населения.
Коэффициент конвергенции реальной заработной платы значим
абсолютно для всех периодов и спецификаций. В случае кросс-моделей конвергенция
зарплаты снижается со временем, однако для панельных данных заметен стабильной
рост коэффициента. Оценки условной модели, как и в предыдущих случаях, в
среднем выше оценок безусловной модели. В периоды 2000-2013 гг. лишь
численность населения, ИПЦ и миграция оказывали значимое влияние на темп роста
зарплаты, в модели для 2000-2013 гг. значимыми оказались практически все
дополнительные объясняющие переменные.
Наконец, динамическая модель по панельным данным, построенная
для всего анализируемого периода - с 2000 года по 2013 год - подтвердила
присутствие конвергенции для всех трех переменных. Самый высокий темп
конвергенции характерен для реального дохода, самый низкий - для ВРП на душу
населения. Все дополнительные детерминанты экономического роста значимы для
каждой динамической модели. Исключение составляет миграция, которая оказалась
незначимой для дохода и зарплаты.
В данной главе исследуем качественно иной подход к анализу
дифференциации регионов (стран). Под σ-конвергенцией понимают
снижение показателей дифференциации объектов со временем. В качестве факторов
неоднородности обычно используют среднеквадратическое отклонение показателя или
коэффициент Джини (результаты анализа по данным переменным обычно крайне
близки).
Рассчитаем среднеквадратические отклонения по регионам России
для логарифмов ВРП, дохода и заработной платы за каждый год исследуемого
периода. На Рисунке 1 видно, что самая высокая дифференциация наблюдается по
фактору ВРП, неоднородность по доходам и заработной плате примерно одинакова и
снижается со временем с практически одинаковым темпом. Скорость снижения
дифференциации по ВРП немного ниже, чем по доходам и зарплате. Данный вывод
говорит о более низких темпах конвергенции данного показателя по сравнению с
другими факторами, вошедшими в анализ, и согласуется с результатами оценки
динамической условной модели β-конвергенции.
Рисунок 2. Среднеквадратические отклонения по регионам России для
логарифмов показателей реального ВРП на душу населения, реального дохода на душу
населения и реальной заработной платы
Для сравнения темпов σ-конвергенции среди регионов России и
между странами Европы рассчитаем соответствующие среднеквадратические
отклонения для реального ВВП на душу населения и реального дохода на душу
населения. Данные по европейским странам были взяты на сайте Всемирного Банка.
В группу стран Восточной Европы были включены Болгария, Беларусь, Чехия,
Венгрия, Молдова, Румыния, Словакия и Украина. В группу Южной Европы вошли
Албания, Босния и Герцеговина, Испания, Хорватия, Италия, Черногория,
Португалия, Сербия и Словения. В состав Западной Европы попали Австрия,
Бельгия, Германия, Франция, Швейцария и Нидерланды. В состав Северной Европы -
Дания, Финляндия, Норвегия, Эстония, Литва и Латвия. На Рисунке 2 видно, что
самая низкая дифференциация по ВВП на душу населения характерна для стран
Западной Европы. Данный показатель на протяжении последних 13 лет держится на
отметке примерно 0,27. Самая высокая дифференциация по ВВП на душу населения
наблюдается в странах Восточной Европы. Темпы снижения межрегиональной
дифференциации в России находятся на среднеевропейском уровне.
Рисунок 3. Среднеквадратические отклонения по регионам России, а
также по странам Восточной, Южной, Западной и Северной Европы для логарифма
реального ВРП и ВВП на душу населения
Подобная ситуация наблюдается и для дифференциации реального
дохода на душу населения (Рисунок 3). В данном случае Россия занимает второе
место после Западной Европы - региона с самой низкой дифференциацией
среднедушевых доходов.
Рисунок 4. Среднеквадратические отклонения по регионам России, а
также по странам Восточной, Южной, Западной и Северной Европы для логарифма
реального дохода на душу населения
Главный вывод, полученный в данном разделе заключается в том, что
согласно собранным данным, в период 2000-2013 гг. в России наблюдалась σ-конвергенция,
и ее темпы были сопоставимы со среднеевропейскими.
Данная работа посвящена исследованию дифференциации регионов
России, изучению конвергенции среди субъектов страны и сравнению темпов
конвергенции регионов России и стран Европы. Конвергенция российских регионов в
период девяностых годов отвергается многими исследователями, в то время как
конвергенция в период 2000-2010 гг. остается предметом открытой полемики. В
этой связи исследование межрегиональной дифференциации в период 2000-2013 гг.
является крайне актуальной целью. Главным результатом данного исследования является обнаружение
значимой β-конвергенции регионов России по
показателям ВВП на душу населения, реальных доходов на душу населения и
реальной заработной платы. Темпы β-конвергенции
демонстрируют устойчивый рост в пределах рассматриваемого периода. Такие
факторы как коэффициент миграционного прироста, ИПЦ, доходы бюджета, инвестиции
в основной капитал, доля лиц старше и моложе трудоспособного возраста в общей
численности населения оказывают значимое влияние на темпы экономического роста
и конвергенцию исследуемых факторов.
Результаты анализа β-конвергенции согласуются
с выводами, полученными при исследовании σ-конвергенции. Согласно проведенным сопоставлениям, темпы
конвергенции регионов России по показателям ВРП на душу населения и реального
дохода на душу населения сопоставимы с аналогичными межстрановыми показателями
государств Европы.
1. Магнус
Я.Р., Катышев П.К., Пересецкий А.А. (2007) Эконометрика: Начальный курс. М.: Дело, 2007.
2. Andrienko
Y., Guriev S. (2004) Determinants of Interregional Mobility in Russia. Evidence
from Panel Data. Economics of Transition, Vol., 12, (1), 1-27.
. Babetski
J., Maurel M. (2002). Regional convergence and institutional development in
Russia, in Samson I., Greffe X., Brunat E. (Eds) Russia’s Opening and the
Common European Economic Space. RECEP White Book, Moscow.
. Barro
R. J., Sala-i-Martin X. (1991). Convergence across States and Regions.
Brookings Papers on Economic Activity, pp.107.182.
. Belokurova
O., Kiseleva N. (2014). World Applied Sciences Journal, 29 (3), pp.349-353.
. Bradshaw,
M. J., and Vartapetov K. (2003). A new perspective on regional inequalities in
Russia. Eurasian Geography and Economics, 44 (6), pp.403-429.
. Buccellato,
T. (2007). Convergence across Russian regions: a spatial econometrics approach.
CSESCE Working Paper No.72.
. Carluer,
F., and E. Sharipova (2004). The unbalanced dynamics of Russian regions:
towards a real divergence process. East-West Journal of Economics and Business, 2004, 7 (1), pp.11-37.
. Dolinskaya,
I. (2002). Transition and regional inequality in Russia: Reorganization or procrastination?
IMF Working Paper No. WP/02/169.
. Gerasimova
I. (2009). Sources of income as a factor of interregional socio-economic
differentiation of the Russian population (1995Ѓ] 2007). Pricladnaya econometrica [Applied econometrics].
No.4 (16).
. Gluschenko
K. (2010). Methodologies of Analyzing Inter-Regional Income Inequality and
Their Applications to Russia. William Davidson Institute Working Paper, Number
984.
. Guriev
S., Vakulenko E. (2012). Convergence between Russian Regions. CEFIR/NES Working
Paper Series, Working paper No.180.
13. Kholodilin
K., Siliverstovs B., Oshchepkov A. (2009). The Russian regional convergence
process: Where does it go? DIW Discussion Paper, No.861.
. Kolomak
E. (2010). Interregional disparities in Russia: the economic and social
aspects. Prostranstvennaya economica [Spatial economics], No.1, pp.26-35.
. Kwon,
G., and A. Spilimbergo (2005).russia’s regions: income volatility, labor
mobility, and fiscal policy. IMF Working Paper No. WP/05/185.
. Ledyaeva,
S., and M. Linden (2008). Determinants of economic growth: empirical evidence
from Russian regions. European Journal of Comparative Economics, 5 (1), pp.87‐105.
. Lehmann
H., Silvagni M. (2013). Is there convergence of Russia’s Region? Exploring the
empirical evidence: 1995 - 2010. OECD Economic Department Working Papers
No.1083.
. Litvintseva,
G. P., O. V. Voronkova, and E. A. Stukalenko (2007). Regional income inequality
and poverty level in Russia: an analysis adjusted for purchasing power of the
ruble. Studies on Russian Economic Development, 18 (6), pp.641-649.
. Lugovoy,
O., Dashkeyev V., Mazayev I., Fomchenko D., Polyakov Е., and Hecht A. (2007). Analysis of
Economic Growth in Regions: Geographical and Institutional Aspect. Moscow: IET.
. Mikheeva,
N. (1999). Analysis of interregional inequality in Russia. Studies on Russian
Economic Development, 10 (5), pp.514-521.
. Mikheeva,
N. (2000). Differentiation of social and economic situation in the Russian
regions and problems of regional policy. EERC Working Paper No.99/09.
. Quah
D. (1993). Empirical cross-section dynamics in economic growth. European
Economic Review, Elsevier, vol.37 (2-3), pp.426-434.
. Solanko
L. (2008). Unequal fortunes: a note on income convergence across Russian
regions. Post‐Communist Economies, Vol. 20, No.3, 287-301.
. Solow
R. (1956). A Contribution to the Theory of Economic Growth, Quarterly Journal
of Economics, 70, 65-94.
. Torbenko
A. (2014). Interregional inequality and federal expenditures and transfers in
Russia. EERC Working Paper No.127/09.
. Yemtsov,
R. (2005). Inequality and poverty dynamics across Russian regions. In: Kanbur,
R., and A. J. Venables (eds.), Spatial Inequality and Development. Oxford:
Oxford University Press, pp.348-397.
. Vakulenko
E. (2014). Does migration lead to regional convergence in Russia? HSE BASIC
RESEARCH PROGRAM, Working paper No. WP BRP 53/EC/2014.
Приложение
1. Использованные переменные
Название
переменной
Пояснение
Период анализа
Кол. набл.
Ср. знач.
Станд. откл.
Мин. значение
Макс. значение
grp
Реальный ВРП на
душу населения
2000-2013
988
134271,00
1490,60
6667,90
97736,71
grp (log)
Натуральный
логарифм реального ВРП на душу населения
2000-2013
988
11,43
0,87
8,81
14,10
income
Реальный доход
на душу населения (отношение номинального дохода к прожиточному минимуму)
2000-2013
988
2,22
0,76
0,39
5,93
income (log)
Натуральный
логарифм реального дохода на душу населения
2000-2013
988
0,74
0,36
-0,93
1,78
wage
Реальная
заработная плата (отношение номинальной зарплаты к прожиточному минимуму)
2000-2013
988
2,57
0,86
0,77
7,27
wage (log)
Натуральный
логарифм реальной заработной платы
2000-2013
988
0,89
0,34
-0,26
1,98
growth_grp
(log)
Темп роста ВРП
в натуральных логарифмах
2000-2013
988
0,18
0,10
-0,32
0,63
growth_income
(log)
Темп роста
дохода в натуральных логарифмах
2000-2013
988
0,07
0,08
-0,21
0,42
growth_wage
(log)
Темп роста
заработной платы в натуральных логарифмах
2000-2013
988
0,08
0,08
-0, 20
0,40
popul
Численность
населения
2000-2013
988
1659,58
1279,22
51,00
7199,00
popul (log)
Натуральный
логарифм численности населения
2000-2013
988
7,10
0,86
3,93
8,88
invest
Инвестиции в
основной капитал
2000-2013
988
38,31
48,65
0,92
421,09
invest (log)
Натуральный
логарифм инвестиций в основной капитал
2000-2013
988
3,09
1,08
-0,08
6,04
cpi
Индекс
потребительных цен
2000-2013
988
112,17
4,67
101,40
138,70
cpi (log)
Натуральный
логарифм индекса потребительских цен
2000-2013
988
4,72
0,04
4,62
4,93
bud_inc
Доходы бюджета
2000-2013
988
37062,17
44381,52
210,40
453527,60
bud_inc (log)
Натуральный
логарифм доходов бюджета
2000-2013
988
9,95
1,13
5,35
13,02
migr_rate
Коэффициент
миграционного прироста
2000-2013
988
-12,97
110,13
-704,00
2523,00
st_trud
Доля населения
старше трудоспособного возраста
2000-2013
988
20,34
4,57
5, 20
28,60
st_trud (log)
Натуральный
логарифм доли населения старше трудоспособного возраста
2000-2013
988
2,98
0,27
1,65
3,35
mol_trud
Доля населения
моложе трудоспособного возраста
2000-2013
988
17,87
3,70
13,00
36, 20
mol_trud (log)
Натуральный
логарифм доли населения моложе трудоспособного возраста
2000-2013
988
2,87
0,18
2,56
3,59
Приложение 2.
Гистограммы зависимых переменных и проверка на выбросы
Приложение 3.
Проверка зависимых переменных на нормальность
Критерий
нормальности
Колмогоров-Смирновa
Шапиро-Уилк
Статистика
ст. св.
Значимость
Статистика
ст. св.
Значимость
growth_inc_05
,075
54
, 200*
,986
54
,799
growth_inc_10
,077
54
, 200*
,981
54
,543
growth_inc_13
,072
54
, 200*
,991
54
,953
growth_wage_05
,080
54
, 200*
,981
54
,560
growth_wage_10
,092
54
, 200*
,968
54
,165
growth_wage_13
,083
54
, 200*
,975
54
,306
growth_grp_05
,075
54
, 200*
,968
54
,159
growth_grp_10
,127
54
,101
,959
54
,161
growth_grp_13
,072
54
, 200*
,988
54
,877
*. Это нижняя
граница для истинной значимости.
a. Поправка
значимости Лильефорса
Приложение 4.
Матрица парных коэффициентов корреляции между объясняющими переменными
Корреляции
grp
wage
popul
invest
cpi
bud_inc
migr_rate
st_trud
mol_trud
grp
Корреляция
Пирсона
1
,911**
,027
,951**
-,644**
,652**
-,074*
,050
-,333**
Знч. (2-сторон)
,000
,405
,000
,000
,000
,020
,118
,000
N
988
988
988
988
988
988
988
988
988
wage
Корреляция
Пирсона
,911**
1
,065* -,662**
,640**
-,045
,020
-,299**
Знч. (2-сторон)
,000
,041
,000
,000
,000
,153
,531
,000
N
988
988
988
988
988
988
988
988
988
popul
Корреляция
Пирсона
,027
,065*
1
-,021
-,001
,535**
,275**
,451**
-,340**
Знч. (2-сторон)
,405
,041
,519
,963
,000
,000
,000
,000
N
988
988
988
988
988
988
988
988
988
invest
Корреляция
Пирсона
,951**
,866**
-,021
1
-,604**
,608**
-,024
,030
-,289**
Знч. (2-сторон)
,000
,000
,519
,000
,000
,455
,345
,000
N
988
988
988
988
988
988
988
988
988
cpi
Корреляция
Пирсона
-,644**
-,662**
-,001
-,604**
1
-,480**
,018
-,142**
,229**
Знч. (2-сторон)
,000
,000
,963
,000
,000
,578
,000
,000
N
988
988
988
988
988
988
988
988
988
bud_inc
Корреляция
Пирсона
,652**
,640**
,535**
,608**
-,480**
1
,127**
, 200**
-,313**
Знч. (2-сторон)
,000
,000
,000
,000
,000
,000
,000
,000
N
988
988
988
988
988
988
988
988
988
migr_rate
Корреляция
Пирсона
-,074*
-,045
,275**
-,024
,018
,127**
1
,261**
-,136**
Знч. (2-сторон)
,020
,153
,000
,455
,578
,000
,000
,000
N
988
988
988
988
988
988
988
988
988
st_trud
Корреляция
Пирсона
,050
,020
,451**
,030
-,142**
, 200**
,261**
1
-,824**
Знч. (2-сторон)
,118
,531
,000
,345
,000
,000
,000
,000
N
988
988
988
988
988
988
988
988
988
mol_trud
Корреляция
Пирсона
-,333**
-,299**
-,340**
-,289**
,229**
-,313**
-,136**
-,824**
1
Знч. (2-сторон)
,000
,000
,000
,000
,000
,000
,000
,000
N
988
988
988
988
988
988
988
988
988
**. Корреляция
значима на уровне 0.01 (2-сторон.).
*. Корреляция
значима на уровне 0.05 (2-сторон.).
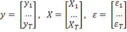
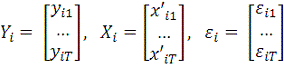
![]()
- зависимая переменная для регионаiв момент времени t, ![]()
- набор объясняющих переменных (вектор размерности k) и ![]()
- соответствующая ошибка, i=1,…,n, t=1,…,T. Таким образом, имеем дело с векторами:
![]()
![]()
некоррелированы между собой как по i, так и по t, а также
некоррелированы со всеми объясняющими переменными ![]()
, стандартные МНК-оценки ![]()
являются состоятельными и эффективными:
![]()
.
![]()
- индивидуальный эффект объекта i, не зависящий от времени t, причем
регрессоры ![]()
не включают константу.
![]()
рассматривают две модели:
![]()
являются неизвестными параметрами.
![]()
, где ![]()
- параметр, общий для всех объектов во все моменты времени, ![]()
- ошибки, некоррелированные с ![]()
и некоррелированные между собой при разных i.
![]()
являются неизвестными параметрами. Предположим, что выполняются
условия:
![]()
некоррелированы между собой как по i и по t, ![]()
.
![]()
некоррелированы c регрессорами ![]()
при всех i, j, t, s.
![]()
, если i=j, и ![]()
, если ![]()
. Тогда уравнение (3) может быть представлено в следующем
виде:

,
![]()
имеет размерность T. Перепишем
уравнение в матричном виде:
![]()
- матрица, осуществляющая вычисление отклонений от индивидуальных
средних. Применяя обычных метод наименьших квадратов к уравнению (8),
получим оценки параметров:
![]()
называются внутригрупповыми оценками![]()
или оценками с фиксированным эффектом. Таким образом, ![]()
= ![]()
.
![]()
или при ![]()
), поэтому для проверки гипотез относительно параметров βпользуются
стандартными процедурами (t-тесты, F-тесты).
![]()
- случайная ошибка, инвариантная по времени для каждого объекта.
Таким образом, предполагается, что в данной модели индивидуальные отличия носят
случайный характер. Предположим, что выполняются условия:
![]()
некоррелированы между собой как по i и по t, ![]()
.
![]()
некоррелированы c регрессорами ![]()
при всех i, j,s.
![]()
некоррелированы, ![]()
.
![]()
некоррелированы c регрессорами ![]()
при всех i, j,t.
![]()
и ![]()
некоррелированы при всех i, j,t.
![]()
.
![]()
. являются несмещенными и состоятельными при ![]()
, но неэффективными. Представим межгрупповые оценки в следующем
виде:
![]()
.
![]()
или скорректированным коэффициентом детерминации ![]()
.
![]()
совпадает с квадратом выборочного коэффициент корреляции между ![]()
и прогнозным значением ![]()
. Таким образом, для внутригрупповой регрессии коэффициент
детерминации определяется равенством:
![]()
проверяется с помощью обычного F-теста.
![]()
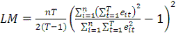
проверяется с помощью LM-теста:

,
![]()
- остатки в обычной регрессии (2).
![]()
величина LMимеет
хи-квадрат распределение с одной степенью свободы. Если ![]()
, нулевая гипотеза отвергается на уровне значимости α.
![]()
против альтернативной гипотезу о том, что ковариация отлична от
нуля.
![]()
и ![]()
не должны сильно отличаться, а если справедлива альтернативная
гипотеза, то различие должно быть существенным. При выполнении ![]()
из эффективности оценки ![]()
следует асимптотическое равенство:
![]()
,
![]()
, нулевая гипотеза отвергается, и модель с фиксированным эффектом
является наиболее предпочтительной.
Глава 2.
Анализ дифференциации и β-конвергенции
регионов России
2.1 Описание
базы данных
2.2
Анализмодели безусловной β -
конвергенции регионов России по пространственным данным



2.3
Анализмодели безусловной β-конвергенции
регионов России по панельным данным
![]()
,
![]()
- индивидуальный эффект, позволяющий оценить ненаблюдаемые
различия между регионами по оцениваемому признаку.
2.4
Анализмодели условной β-конвергенции
регионов России по панельным данным
![]()
,
![]()
- индивидуальный эффект, позволяющий оценить ненаблюдаемые
различия между регионами по оцениваемому признаку; ![]()
-матрица детерминант экономического роста; ![]()
- эффект времени, который для каждой страны определяет факторы,
оказывающие влияние на темп роста исследуемого показателя.
2.5 Анализ
динамической модели условной β-конвергенции
регионов России по панельным данным
![]()
и ![]()
. Во втором - первые разности соответствующих факторов.
Глава 3.
Выводы о степени дифференциации регионов России и сопоставление со странами
Европы
3.1 Анализ
результатов моделирования β-конвергенции
3.2
Исследование σ-конвергенции
регионов России и стран Европы
Заключение
Список
использованной литературы
Приложения








