Оглавление
Введение
Глава 1. Понятие конвергенции и методы исследования межрегиональной дифференциации
1.1 Обзор литературы, посвященной дифференциации и конвергенции регионов России и стран ЕС
1.2 Методы исследования дифференциации и конвергенции регионов России и стран ЕС
Глава 2. Анализ дифференциации и β-конвергенции регионов России
2.1 Описание базы данных
2.2 Анализмодели безусловной β - конвергенции регионов России по пространственным данным
2.3 Анализмодели безусловной β-конвергенции регионов России по панельным данным
2.4 Анализмодели условной β-конвергенции регионов России по панельным данным
2.5 Анализ динамической модели условной β-конвергенции регионов России по панельным данным
Глава 3. Выводы о степени дифференциации регионов России и сопоставление со странами Европы
3.1 Анализ результатов моделирования β-конвергенции
3.2 Исследование σ-конвергенции регионов России и стран Европы
Заключение
Список использованной литературы
Приложения
Введение
В данной работе исследуется дифференциация регионов Российской Федерации, проверяется наличие конвергенции среди субъектов страны, а также приводится сравнительный анализ уровня межрегиональной дифференциации в России и странах Евросоюза. Актуальность темы вызвана проблемой регионального экономического неравенства, которое в той или иной степени присутствует в каждой стране.
В контексте проблем межрегиональной дифференциации Россия вызывает особый интерес, поскольку переход к рыночной экономике в нашей стране произошел чуть более двадцати лет назад. В условиях командно-плановой системы распределение капитальных и трудовых ресурсов иногда производилось не в целях достижения экономической эффективности, а в стремлении удовлетворить геополитические интересы страны. Решения в экономической сфере принимались не под воздействием конкуренции, а под руководством органов центрального планирования.
Руководствуясь принципами экономии на масштабе, специалисты того времени распределяли ресурсы таким образом, что целые города или даже области могли быть сконцентрированы на одной единственной отрасли. При этом в других субъектах развитие данной отрасли не финансировалось. Таким образом, первая половина девяностых годов, ознаменовавшаяся распадом Советского Союза и переходом к рыночной экономике, характеризовалась высоким уровнем социально-экономического неравенства регионов России. По мнению многих исследователей, к концу девяностых стране так и не удалось преодолеть данную проблему.
В середине двадцатого века экономисты впервые обратили внимание на вопросы экономического роста. Данной теме посвящено множество работ, авторы которых стремятся понять, почему одни страны развиваются быстрее других и какие факторы способствуют и, наоборот, препятствуют экономическому росту. Проблемы экономического роста изучаются как на межстрановом, так и на межрегиональном уровне.
Особый интерес в данном контексте вызывает феномен конвергенции - явления, при котором страны (регионы) стремятся к единой траектории устойчивого развития. Другими словами, экономические показатели стран (регионов) со временем сходятся к одному равновесному темпу роста. При этом происходит снижение дифференциации социально-экономических показателей данных объектов.
Большинство специалистов сходятся во мнении, что в период девяностых о конвергенции среди регионов нашей страны не могло быть и речи; в то же время вопрос о присутствии межрегиональной конвергенции в начале двухтысячных и по сей день остается открытым. Таким образом, целью данной работы является исследование межрегиональной конвергенции в России в период с 2000 года по 2013 год. Также данная работа нацелена на то, чтобы выяснить, насколько уровень межрегиональной дифференциации в России отличается от соответствующих показателей в странах Евросоюза.
Таким образом, предметом исследования выступает явление конвергенции среди регионов Российской Федерации. Объектом исследования являются показатели социально-экономического развития субъектов страны, являющиеся индикаторами и детерминантами экономического роста.
В связи с поставленной целью в работе решены следующие задачи:
. Оценены безусловные модели β-конвергенции по пространственным и панельным данным за период 2000-2013 гг.
2. Построены условные модели β-конвергенции по панельным данным. Реализована оценка как статических, так и динамических моделей.
. Проведено исследование σ-конвергенции регионов России и стран Евросоюза. Приведен сравнительных анализ σ-конвергенции в России и в странах ЕС.
дифференциация конвергенция регион российский
Данная работа построена следующим образом. В первой главе
представлен обзор литературы, посвященной данной теме, а также описаны методы
исследования дифференциации регионов, которые применятся в данной работе. Во
второй главе представлено описание базы данных, использовавшейся для
моделирования, а также этапы спецификации, идентификации и верификации
альтернативных моделей β-конвергенции. В третьей
главе представлен сравнительный анализ σ-конвергенции в России и
странах Евросоюза, а также изложена интерпретация полученных результатов. В
Заключении сформулированы выводы по работе.
Проблема экономического роста была впервые описана лауреатом Нобелевской премии по экономике Робертом Солоу в статье (Solow, 1956). В данной работе автор размышляет о том, почему экономика в одних странах растет быстрее, чем в других. Солоу исследует факторы, которые влияют на экономический рост, и изучает феномен конвергенции - стремления всех стран к одному оптимальному темпу роста, единой траектории устойчивого развития.
На сегодняшний день проведено множество исследований, изучающих дифференциацию уровней экономического развития различных стран, а также регионов в пределах одной страны. Авторы данных работ используют три принципиально разных подхода к изучению конвергенции. Первый подход основан на анализе σ - и β-конвергенции и впервые был описан в статье (Barro, Sala-i-Martin, 1991). Второй метод предполагает исследование временных рядов с целью выявления стохастической конвергенции. Наконец, сторонники третьего подхода используют матрицы вероятностей перехода, которые исследуют мобильность регионов по уровню дохода и оценивают матрицы Маркова, содержащие вероятности перехода региона из категории низких доходов в категорию высоких доходов. Впервые данный метод анализа был подробно описан в статье (Quah, 1993).
Подход, связанный с исследованием σ - и β-конвергенции, пользуется
наибольшей популярностью у авторов, изучающих данную проблематику. Модель β-конвергенции предполагает отрицательную зависимость между
среднегодовым темпом роста доходов за исследуемый период и уровнем доходов на
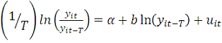
начало периода. Первая эмпирическая реализация данной идеи была описана в
статье (Barro, Sala-i-Martin, 1991). Авторы
предложили следующую модель:

,
где ![]()
- уровень доходов в стране (регионе) в момент t; ![]()
длина исследуемого периода; ![]()
-скорость конвергенции. Для оценки параметра ![]()
было предложено найти МНК-оценки ![]()
следующей модели регрессии:

(1)
С использованием полученных оценок был рассчитан параметр ![]()
, отражающий скорость конвергенции:
Если ![]()
(![]()
, то имеет место абсолютная, или β-конвергенция, означающая, что бедные
регионы растут быстрее, чем богатые, что ведет к сокращению разницы в уровнях
доходов данных регионов.
С использованием параметра ![]()
авторы статьи предлагают оценить время, необходимое для
сокращения межрегионального разрыва в два раза:
Например, при скорости конвергенции ![]()
необходимо 14 лет для сокращения разницы в уровнях доходов вдвое.
В дальнейшем описанный подход был использован многими исследователями. Сегодня существует множество модификаций исходной модели β-конвергенции, предложенной (Barro, Sala-i-Martin, 1991).
В большинстве работ проверяется наличие конвергенции не только по уровню доходов, но и по валовому внутреннему (ВВП) на душу населения, валовому региональному продукту (ВРП) на душу населения, реальной заработной плате, безработице и некоторым другим переменным.
Уравнение (1) представляет собой модель безусловной β-конвергенции. При добавлении в нее дополнительных объясняющих переменных, которые могут оказывать влияние на темп роста исследуемого показателя, уравнение регрессии становится условной моделью β-конвергенции.
Феномен β-конвергенции является частным случаем более широкого понятия σ-конвергенции, которая проявляется в межрегиональном снижении среднеквадратического отклонения, коэффициента Джини и других показателей вариации исследуемого признака за выбранный период времени.
Проблеме межрегиональной дифференциации в России посвящено множество работ, однако на данный момент нет единого мнения о наличии или отсутствии данного явления среди регионов страны. По мнению (Vakulenko, 2014), изучение конвергенции регионов РФ сегодня носит эмпирический характер. Выводы по данной проблеме зависят от временного периода, в рамках которого проводился анализ, а также от методологии расчетов.
В статье (Gluschenko, 2010) приведен обзор работ, посвященных изучению неравенства в уровнях доходов среди регионов России. В статьях (Mikheeva, 1999, 2000), (Carluer, Sharipova, 2004), (Melnikov, 2005, 2007, 2008) говорится об отсутствии β-конвергенции по реальному ВРП и реальным доходам на душу населения в период с 1995 г. по 2000 г. В работе (Guriev, Vakulenko, 2012) подтверждается отсутствие конвергенции по ВРП и в то же время обнаруживается ее присутствие в указанный период по показателям реальных доходов на душу населения и реальной заработной платы. Авторы данной статьи также эмпирически доказали не только присутствие, но и повышение темпов β-конвергенции реальных ВРП, доходов на душу населения и заработной платы в период с 2000 г. по 2010 г.
В пользу β-конвергенции по реальным ВРП и доходам на душу населения в период 1995-2010 гг. свидетельствуют статьи (Solanko, 2006), (Ledyaeva, Linden, 2008), (Lugovoyetal., 2007), (Buccellato, 2007), (Kolomak, 2010), (Vakulenko, 2014), (Torbenko, 2014). В то же время (Solanko, 2008) разделил регионы на две группы - бедные и богатые - и показал, что конвергенция по реальным доходам присутствует лишь в богатых регионах. Данный вывод согласуется с результатами исследования (Kholodilinetal., 2009).
Авторы статьи (Lehmann, Silvagni, 2014) не обнаружили β-конвергенции российских регионов по ВРП на душу населения в период 1995-2010 гг. - более того, зафиксировали дивергенцию, которая, однако, снижается со временем.
Явление σ-конвергенции по данным показателям в период 1995-2007 гг. было обнаружено в работах (Gerasimova, 2009), (Zverev, Kolomak, 2010), (Guriev, Vakulenko, 2012). Напротив, σ-дивергенция была зафиксирована в статьях (Bradshaw, Vartapetov, 2003), (Yemtsov, 2005), (Litvintsevaetal., 2007).
В перечисленных статьях приводятся результаты эмпирической оценки базовой безусловной модели β-конвергенции (1), построенной как по пространственным, так и по панельным данным. Модели, учитывающие панельную структуру данных, считаются более информативными, поскольку исследуют региональные индивидуальные эффекты, влияющие на темп роста исследуемого показателя. Помимо безусловной модели β-конвергенции, авторы данных статей оценивают условные модели, добавляя в базовое уравнение (1) дополнительные объясняющие переменные, описывающие экономическую, институциональную, политическую и демографическую ситуацию в регионах.
Так, например, многие работы изучают влияние миграционных процессов на конвергенцию. Авторы статьи (Andrienko, Guriev, 2004) показали, что 30% беднейших российских регионов находятся в "ловушке бедности": доходы в этих регионах настолько низки, что потенциальные мигранты не могут позволить себе переезд. В исследовании (Guriev, Vakulenko, 2012) показано, что снижение барьеров, препятствующих межрегиональной мобильности труда, приводит к конвергенции реальных доходов на душу населения и реальной заработной платы. В статье (Vakulenko, 2014) изучается влияние миграции на конвергенцию в заработной плате, в реальных доходах и в уровне безработицы. Согласно данному исследованию, миграция не оказывает значимого влияния на уровень безработицы в регионах. При этом чистая внутренняя миграция не приводит к конвергенции по заработной плате и доходам, что связано с положительным влиянием эмиграции и отрицательным влиянием иммиграции на реальные доходы.
Данные выводы согласуются с результатами анализа, проведенного в статье (Dolinskaya, 2002). Автор использует матрицы вероятностей перехода для исследования влияния фискальной политики, а также структуры промышленного сектора экономики России на конвергенцию регионов по уровню доходов в период 1991-1997 гг.
Встатьях (Kwon, Spilimbergo, 2005), (Guriev, Vakulenko, 2012), (Lehmann, Silvagni, 2014), (Torbenko, 2014) исследуется влияние фискальной политикии финансовых потоков на процессы конвергенции регионов России. В работе (Torbenko, 2014) показано, что расходы и трансферты федерального правительства не оказывали влияния на конвергенцию показателей ВРП на душу населения и реальной заработной платы в период 2005-2011 гг.
Особое внимание уделяется влиянию пространственного признака на конвергенцию. В работах (Carluer, Sharipova, 2004), (Buccellato, 2007), (Guriev, Vakulenko, 2012), (Vakulenko, 2014), (Belokurova, Kiseleva, 2014) показано, что географический признак оказывает значимое влияние на конвергенцию регионов России по уровню реальных доходов на душу населения.