Д
Математика, 9 класс
Вариант 7
|
1
1 |
Вычислите площадь прямоугольника, длина которого равна 12 см, а ширина – 6 см.
1) 72 см2 2) 144 см2 3) 36 см2 4) 18 см2
|
|||||||||||||||||||||
|
2 |
Найдите разность модулей наибольшего положительного и наименьшего отрицательного из данных чисел: -5; 9,13; -5,3; 8,5.
1) 3,83 2) 4,13 3) 4,17 4) 3,5
|
|||||||||||||||||||||
|
3 |
Найдите
неизвестный член пропорции
1) 0,4 2) 4 3) 80 4) 9,6
|
|||||||||||||||||||||
|
4 |
Найдите
значение выражения
1) 0,5 2) 0 3) 1 4) 2
|
|||||||||||||||||||||
|
5 |
Расстояние от Москвы до Милана равно 2,815 · 103 км, а от Москвы до Саратова — 8,53 · 102 км. Во сколько раз расстояние от Москвы до Милана больше, чем расстояние от Москвы до Саратова?
1) примерно в 33 раза 3) примерно в 3,3 раза 2) примерно в 3 раза 4) примерно в 0,1 раза
|
|||||||||||||||||||||
|
6 |
Найдите
значение выражения
1)
0,5 2) 0,2 3)
|
|||||||||||||||||||||
|
7 |
Найдите
значение выражения
1)
2 2) -2 3)
|
|||||||||||||||||||||
|
8 |
Преобразуйте
выражение
1)
|
|||||||||||||||||||||
|
9 |
Упростите
выражение:
1)
|
|||||||||||||||||||||
|
10 |
Найдите сумму трех первых членов геометрической прогрессии, если
1) 16 2) 18 3) 12 4) 14
|
|||||||||||||||||||||
|
11 |
Решите
уравнение
1) 0 2) х - любое число 3) нет корней 4) 4
|
|||||||||||||||||||||
|
12 |
Найдите
сумму корней уравнения:
1) -0,25 2) корней нет 3) 0,25 4) 12
|
|||||||||||||||||||||
|
13 |
Решите
уравнение
1) 6 2) 8 3) - 2 4) 2
|
|||||||||||||||||||||
|
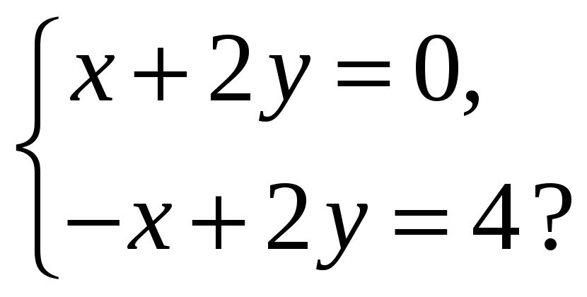
14 |
На
каком из рисунков изображено графическое
решение системы линейных уравнений
|
|||||||||||||||||||||
|
15 |
При каких значениях
х
значения выражения
1)
|
|||||||||||||||||||||
|
16 |
Решите систему
неравенств:
1)
|
|||||||||||||||||||||
|
17 |
Решите неравенство:
1)
|
|||||||||||||||||||||
|
18 |
Найдите область
определения функции:
1)
|
|||||||||||||||||||||
|
19 |
|
|||||||||||||||||||||
|
20 |
На графике показано, сколько воды было израсходовано в Москве в 2006 и 2007 годах. По горизонтальной оси отмечены месяцы, а по вертикальной — количество воды, потраченное с начала года.
Сколько миллионов тонн воды было израсходовано в Москве за три весенних месяца (март, апрель, май) 2007 года?
1) 1,5 2) 2,5 3) 2 4) 1 |
|||||||||||||||||||||