Дипломная (вкр): Аналоги теореми порівняння Колмогорова та їх застосування

Внимание! Если размещение файла нарушает Ваши авторские права, то обязательно сообщите нам

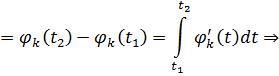
Нехай , - довільне, , .

(див. рис. 11)

рис. 11

Продовжимо функцію  періодично на всю вісь з періодом T=.


(2.3.1)

Розглянемо , що є первісною  з нульовим середнім на періоді. Тоді в силу (2.3.1) , є також періодичною. Аналогічно для будь- якого r, - це первісна функції з нульовим середнім на періоді.

.2 Деякі властивості екстремального сплайна

Відзначимо основні властивості.

З означення  Оскільки

,звідси випливає, що


 має два нулі на періоді і при r строго монотонна між точками локального екстремуму.

Лема. Нехай f належить простору .

Тоді :.

Доведення. В силу означення , , ,при. Тоді , таке, що




РОЗДІЛ 3.ОСНОВНІ РЕЗУЛЬТАТИ

Теорема. Якщо f(R),  і  таке, що


для будь- якого , то функція є функцією порівняння для функції f(t).

Доведення.Скористаємось методом математичної індукції.

Далі для скорочення записів будемо писати  замість .

Базис: Нехай r=1.

Доведемо, що якщо f і

то функція  є функцією порівняння для функції f(t).

Позначимо .


, ( і (

Нехай функції , на якому функціязмінює знак з «-» на «+».

Нехай (, -проміжок строгої монотонності .

Оскільки на (, і(R), тоотримаємо

Оскільки на (, і (R), тоотримаємо .

Тоді (), отже (.

.

Отримали протиріччяз (3.2), отже є функцією порівняння для f у випадку r=1.

Індуктивне припущення. Нехай твердження справедливе при r=k-1, тобто, якщо і виконується


то функція є функцією порівняння для функції f(t).

Доведемо твердження при r=k. Нехай  і

Доведемо, що функція  є функцією порівняння для функції f(t).

Для цього спочатку доведемо, що


Припустимо супротивне. Нехай (3.3) не виконується. Це можливо у наступних 3 випадках:

випадок:

випадок:

випадок: 0

Розглянемо 3 випадок, інші випадки розглядаються аналогічно.

Без зменшення загальності можемо вважати, що

(3.4)

Оскільки замість  ми можемо розглянути функцію , де -  число, будемо вважати, що


Нехай - найближчі ліворуч та праворуч від  нулі функції , функція  зростає на ( і спадає на (.

В силу (3.1)

(:0). Будемо вважати, що

Розглянемо функцію

, тоді g,

.

і в силу (3.4)


Тобто, для g усі умови індуктивного припущення виконуються.

 розглянемо функцію h(t)h(t)=g(t+.В силу означення h для неї також виконуються умови з індуктивного припущення. Дійсно,h


крім того, h()=g(, враховуючи (3.6) можемо обрати  настільки малим, щоб виконувалось h(тоді різниця змінює знак з «-» на «+»,отже не є функцією порівняння для функції h, що суперечить індуктивному припущенню.Таким чином ми довели (3.3).

Повернемось до доведення індуктивного припущення.

Нехай r=k і f, така, що виконується (3.1). Тоді справедливі нерівності (3.3).

Розглянемо різницю .

Припустимо супротивне, що не є функцією порівняння для функції f,

Можемо вважати, що на проміжку зростання,є зміни знаку функції з «-» на «+».

Нехай , - проміжок зростанняі

Розглянемо (t)=(1-f(t)-(t), де  вибрано так, щоб

(

В силу (3.1)

 (див. рис. 12).

рис. 12

Тоді існують точки А, В, С:

і

(див. рис. 13).

рис. 13

можемо вважати, що дві з 3 точок  лежать на (, така, що зростає на ( і спадає на (. Але тоді функція  змінює знак з «-» на «+» на проміжку зростання ( функції , отже  не є функцією порівняння для функції (1-f, що суперечить індуктивному припущенню. Теорема доведена.

ВИСНОВКИ

теорема колмогоров функція екстремальний

Дипломна робота присвячена отриманню аналогів теореми порівняння Колмогорова для класу функцій, що задаються обмеженнями на несиметричні норми старших похідних.

У першому розділі буларозглянута теорема порівняння Колмогорова для різних класів.

У третьому розділі була доведена теорема порівняння для класу

(-).

ПЕРЕЛІК ВИКОРИСТАНИХ ДЖЕРЕЛ

[1] Корнейчук Н. П. Сплайны в теории приближений- М.: Наука. Главная редакция физико- математической литературы, 1984, 352 с., с. 64.

[2] Корнейчук Н. П Точные константы в теории приближения- М.: Наука . Гл. ред. физ.- мат. лит., 1987.-424 с., с. 94, с. 104, с. 119.

[3] Корнейчук Н. П. Экстремальные задачи теории приближения. Главная редакция физико- математической литературы изд- ва «Наука», М., 1976, с. 113.

[4] В. Ф. Бабенко, О. В. Коваленко Теоремы сравнения производных и некоторые их приложения. Вісник ДНУ, 2012,Том 1, №1, 1-9ISSN 9128- 0912.

[5]В. Ф. Бабенко, Н. П. Корнейчук, В. А. Кофанов, С. А. Пичугов Неравенства для производных и их приложения, Киев, Наукова думка, 2003, с. 66, с. 69.

[6]Колмогоров А. Н. о неравенствах между верхними гранями последовательных производных произвольной функции на бесконечном интервале .// В кн. А. Н. Колмогоров, избранные труды, Математика и механика, М. Наука, 1985, с. 252- 263.

[7] Корнейчук Н. П., Бабенко В. Ф., Лигун А. А. Экстремальные свойства полиномов и сплайнов.- Киев. Наук.думка 1992, -304 с.

[8] Родов А. М. Зависимость между верхними гранями производных функций действительного переменного // Изв. АН СССР. Сер. Мат.- 1946. 10. с.- 257-270.

[9] Корнейчук Н. П., Лигун А. А., Доронин В. Г. Аппроксимация с ограничениями - Киев: Наукова думка, 1982,- 250 с.

[10] Babenko V. F., Kofanov V. A., Pichugov S. A. Inequalities for norms of intermediate derivatives of periodic functions and their applications// Ibid.- N 3.- P. 251- 376.