Дипломная (вкр): Аналоги теореми порівняння Колмогорова та їх застосування

Внимание! Если размещение файла нарушает Ваши авторские права, то обязательно сообщите нам

Аналоги теореми порівняння Колмогорова та їх застосування

Міністерство освіти і науки України

Дніпропетровський національний університет імені Олеся Гончара

Механіко-математичний факультет

Кафедра математичного аналізу і теорії функцій







ДИПЛОМНА РОБОТА

ПЕРШОГО (БАКАЛАВРСЬКОГО) РІВНЯ ВИЩОЇ ОСВІТИ

Аналоги теореми порівняння Колмогорова та їх застосування


РЕФЕРАТ

Дипломна робота освітньо- кваліфікаційного рівня бакалавр :30 с., 13 рис., 10 джерел.

Об’єктом дослідження є ідеальні сплайни Ейлера та їх аналоги.

Мета: отримання аналогів теореми порівняння Колмогорова.

Методи дослідження: класичні методи математичного та функціонального аналізу.

Одержані теореми порівняння для  є новими.

Результати дослідження можуть бути застосовані при дослідженні екстремальних задачфункціонального аналізу та теорії наближення.

Ключові слова: ТЕОРЕМА ПОРІВНЯННЯ КОЛМОГОРОВА, СПЛАЙНИ ЕЙЛЕРА, НЕСИМЕТРИЧНІ СПЛАЙНИ.


SUMMARY

The graduation paper consists of 30 pages, 13 pictures, and 10 references.object of research isideal Euler splines and their analogues.objective of research is proofof Kolmogorov’s comparison theorem analogues.methods are classic methods of math and functional analysis.theorems for the classof functions  are new.results can be used for research of extremal problems of Functional Analysis and Approximation Theory.words: Kolmogorov`s comparison theorem, Euler splines, nonsymmetrical splines.


ВСТУП

Теоремами порівняння називають твердження, які дають оцінку тій чи іншій характеристиці функції із деякого класу через відповідну характеристику деякої фіксованої функції. Останню функцію можна вважати еталонною або стандартною для даного класу; її також називають функцією порівняння для даного класу.

Першу теорему такого типу довів А. М. Колмогоров. Він показав, що ідеальні ейлеровісплайни є функціями порівняння для функцій з класу .

Як сам результат, так і метод його доведення зіграли велику роль. Завдяки теоремі порівняння були виведені точні нерівності для норм похідних типу відомої нерівності Колмогорова. Згодом використання ідей, пов’язаних із теоремами порівняння, дало можливість отримати ряд нових точних результатів, які з’ясовують екстремальні властивості функцій.

З огляду на вищевказане, тема роботи актуальна.

ОСНОВНІ ПОЗНАЧЕННЯ

множина усіх дійсних чисел.множина усіх натуральних чисел.

- множина неперервних на усій осі функцій.

- ідеальний сплайн Ейлера, порядку r.

- простір вимірних і суттєво обмежених функцій f: RRз нормою .

, - простір функцій f:RR таких, що похідна локальноабсолютнонеперервнаі .

.

,

,

Для  та X=C(R) або ,=.

- клас усіх функцій f, які мають r-1 похідну,- локально абсолютно неперервнаі, .

РОЗДІЛ 1. ВІДОМІ РЕЗУЛЬТАТИ

Введемо поняття функції порівняння.

Скажемо, що є функцією порівняння для функції f, якщо  різниця -[f(t+)+c] на кожному проміжку монотонності або не змінює знак, або змінює один раз, до того ж з «+» на «-» там, де  спадає, і з «-» на «+» там, де  зростає. Зрозуміло, що якщо функція  є функцією порівняння для функції f(t), то функція  є функцією порівняння для функції f(t) .

Функції порівняння відомі для багатьох класів (див. наприкл.[1], [3], [6], [7], [9], [10] та інші). В наступних підрозділах ми наводимо деякі з відомих результатів стосовно цієї тематики.

.1 Теорема порівняння, симетричний випадок

Нехай  (r=1,2,….)- множина заданих і r-1 раз неперервно диференційованих на усій осі функцій f(t) таких, що  і .

Покладемо

У якості функцій порівняння будуть виступати ідеальні сплайни Ейлера (див. [1], c. 64).

Для покладемо де - ідеальний сплайн Ейлера, тобто - та періодична первісна функції sign (sin (t)) (див. рис.1,2).

Тоді.

рис.1

рис. 2

Теорема порівняння у цьому випадку має вигляд (див. [2], с. 119) :

Теорема А.Нехай . Якщо функція  і числоλ вибрано так, що , то функція  є функцією порівняння для функції .

Існує аналогічне формулювання цієї теореми.

Теорема B.Нехай і при деякому . Якщо такі, що f(ξ)=, тоді .

.2 Несиметричний випадок

Існує певне коло задач аналізу, в якому замість «симетричного» класу  доводиться розглядати його «несиметричний» аналог. Далі буде наведений «несиметричний» аналог теореми порівняння (див. [2], с. 127).

Для чисел  позначимо,

де та - відповідно додатна та від’ємна частини функції f(t), а через позначимо клас функцій, таких, що

.

Екстремальною функцією у цьому класі буде несиметричний ідеальний сплайн Ейлера , який визначається наступним чином:


де число γ=γ(α,β) обрали так, щоб виконувалось рівняння


звідси γ=

Продовжимо її періодично на усю вісь.- первісна із нульовим середнім на періоді від функції, тоді (див. рис. 3,4).

рис. 3

рис. 4

У несиметричному випадку справедлива наступна теорема порівняння (див. :

ТеоремаC.Нехай ; і число λ обрали так, що для всіх


Тоді функція  є функцією порівняння для функції .


Введемо класи

.

.


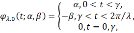
Нехай  Визначимо T:=.Визначимо функцію  наступним чином (див. [4], с. 2). На відрізку [0;T] покладемо


(див. рис.5)

Продовжимо функцію  на відрізок [T;2T]рівнянням

а потім періодично із періодом  на усю вісь.

Через ,де будемо позначати сплайн Ейлера порядку r (тобто - ту періодичну первісну функції sgn(sin(t))із середнім значенням нуль на періоді) (функції  вперше розглядав Родов[8]).

рис.5

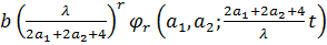
Для , і покладемо

(t):=.

Відзначимо, що функція  є - періодичною (див. [4], с. 3)

ТеоремаD.Нехай  і . Нехай виконується одна із умов.

Числа , , λ і  такі, що

,

рис. 6

Числа , , λ і  такі, що

,

рис. 7

рис. 8

Числа , , λ і  такі, що

,

Тоді функція  є функцією порівняння для функції .

рис. 9

рис. 10

Зауваження. Попередня теорема демонструє, що при відповідному підборі параметрів , ; , ; функція  буде функцією порівняння для функції f для класів  відповідно.

РОЗДІЛ 2. ФУНКЦІя  ТА ЇЇ ВЛАСТИВОСТІ

.1 Означення екстремальної функції

У даній роботі розглядається клас , на якому ми задамо несиметричний сплайн.

- клас усіх функцій f, які мають r-1 похідну,- локально абсолютно неперервнаі, .

Нехай побудуємо функцію.