Министерство образования и науки Республики Казахстан
Некомерческое акционерное общество
Алматинский университет энергетики и связи
Факультет "Радиотехника и связь"
Кафедра: "Охрана Труда и Окружающей Среды"
Дисциплина:
"Основы безопасности жизнедеятельности"
Расчётно-графическая работа №1
Акустический
расчет и мера защиты от воздействия шума
Выполнил: ст. гр. ППС-11-3
Абди
Проверил: Мазалов И.Ф.
№ зч. кн. 113084
Алматы 2014
Содержание
Введение
Задание
Исходные данные
Решение
. Определение уровней звукового давления в расчетной точке
. Расчет мероприятий для снижения шума
Заключение
Список литературы
Приложение
Шум - это беспорядочное сочетание звуков различной частоты и интенсивности. Шум возникает при механических колебаниях в твердых, жидких и газообразных средах.
Шум ухудшает условия труда, оказывая вредное воздействие на организм человека. При длительном воздействии на организм человека происходят нежелательные явления: снижается острота зрения, слуха повышается кровяное давление, понижается внимание.
Шум оказывает воздействие на общее состояние человека, вызывая чувства неуверенности, стесненности, тревоги, плохого самочувствия, что приводит к снижению производительности труда, возникновению ошибок, может стать причиной травматизма.
Сильный продолжительный шум может быть причиной функциональных изменений сердечно-сосудистой системы.
На самочувствии человека наиболее неблагоприятно сказываются звуки высоких частот.
Для борьбы с шумом используются организационные, технические и медико-профилактические мероприятия.
К организационным мероприятиям относятся рациональное размещение производственных участков, оборудования и рабочих мест, постоянный контроль режима труда и отдыха работников.
Технические мероприятия позволяют значительно снизить воздействие шума на работающих. При конструировании оборудования следует стремиться к снижению уровня шума в самом источнике его образования. Важное значение имеют техническое обслуживание оборудования, замена изношенных деталей, устранение перекосов и биений. Также применяют такие меры, как звукоизоляция источника или рабочего места, и применение звукопоглощающих материалов.
Медико-профилактические мероприятия подразумевают контроль параметров шумовой обстановки и контроль состояния здоровья работающих.
В необходимых случаях борьбы с шумом используются средства индивидуальной
защиты.
Произвести акустический расчет шума, а также меры защиты от воздействия шума на персонал. В помещении работают несколько источников шума, имеющие одинаковый уровень звуковой мощности. Источники расположены на полу. Источники шума находятся на расстоянии r от расчетной точки, которая расположена на высоте 1,5 метра от пола. Определить октавные уровни звукового давления в расчетной точке.
Данные расчета сравнить с нормируемыми уровнями звукового давления.
Определить требуемое снижение звукового давления и рассчитать параметры кабины
наблюдения в качестве меры защиты персонала от действия шума.
Исходные данные
Вид оборудования: газовая турбина
Количество источников: 4
Объем помещения: 1900 м3
Отношение В/Sогр: 0.1max= 1.4 м
Расстояние от ИШ до расчетной точки: r1= r2 =11.5м, r3= 10.3м, r4=12.3
Параметры кабины 18x12x5
Таблица 1 - Ориентировочные уровни звукового давления электрогенератора
Среднегеометрические частоты октавных полос, Гц
63
125
250
500
1000
2000
4000
8000
Lp
70
69
72
73
76
80
80
75
Решение
. Определение уровней звукового давления в расчетной точке
Октавные уровни звукового давления в расчетной точке определим по
формуле:
pi - октавный уровень звуковой мощности дБ, создаваемый i-тым
источником шума;- количество источников шума, ближайших к расчетной точке (т.е.
источников, для которых ri<5rmin).
Минимальное расстояние от расчетной точки до акустического центра и
ближайшего к ней источника
rimin= r3 =r4=3.5м, 5*rmin=17.5 м.
Общее количество источников шума, принимаемых в расчет и расположенных в
близи расчетной точки, когда ri<5rmin=47.5, будет
равно 5 (m=4).
Наибольший габаритный размер источников lmax=1,2 м. Для всех
источников выполняется условие 2lmax < r. i=2 Определяем .5/1,5=2,33 и 4.2/1.5=2.8 и 5.3/1,5=3.533, следовательно, Ф - фактор направленности ИШ. Для ИШ с равномерным излучением звука Ф=1.
Определяем величину В и μ [2]:
Величину Вш найдем по формуле:
Для помещения с объемом V, имеем:
Частотный множитель m для данного объема указан в таблице 2.
Таблица 2 - Частотный множитель
Среднегеометрические частоты октавных полос, Гц
63
125
250
500
1000
2000
4000
8000
m
0.65
0.62
0.64
0.75
1
1.5
2.4
4.2
Используя формулу найдем суммарные уровни звуковых давлений Lобщ в
расчетной точке от всех источников шума. Далее, используя известные значения
нормативных уровней звукового давления Lдоп, указанные в таблице 3, найдем
требуемое снижение шума DLтр
по формуле:
Таблица 3- Допустимые уровни звукового давления
Среднегеометрические частоты октавных полос, Гц
63
125
250
500
1000
2000
4000
8000
Lдоп
99
92
86
83
80
78
76
74
Все последовательные расчеты сведем в таблицу 4.
Таблица 4 - Расчет
Октавный уровень звукового давления и допустимый уровень звуковой
мощности приведены в таблице 5:
Таблица 5 - Октавный уровень звукового давления и допустимый уровень
звуковой мощности
Частоты
63
125
250
500
1000
2000
4000
8000
Lш
60.068
69.059
62.153 64.298
66.434
64.47
57.689
Lдоп
99
92
86
83
80
78
76
74
Требуемую звукоизолирующую способность каждого элемента наблюдательной
кабины рассчитаем по формуле [1]:
n - общее количество ограждающих конструкций, через которые
проникает шум.
Величину Вu найдем по формуле:
Для наблюдательной кабины с объемом V = 16Ч10Ч5 = 800,м3,
имеем:
Для данного объема помещения по таблице 2.7[2] найдем значения
нормативных уровней звукового давления Lдоп (эти значения представлены в
таблице 5).
Все расчеты сведем в таблицу 6:
Таблица 6 - Расчет
Результаты акустического расчета
пар. каб. набл.
S1
S2
S3
S4
800
80
160
5
4
частота
63
125
250
500
1000
2000
4000
8000
40
0,65
0,62
0,64
0,75
1
1,5
2,4
4,2
26
24,8
25,6
30
40
60
96
168
Lш
93
90
91
108
117
116
115
117 92
86
83
80
78
76
74
10lgn (n=5)
6,98970004
14,14973348
13,94451681
14,08239965
14,7712125
16,0205999
17,7815125
19,8227123
22,2530928
19,0308999
22,0411998
6,98970004
6,02059991
112,7086643
118,7608311
124,3820026
137,493874
137
120,3908741
100,978876
80,675071
142,8116639
148,8638306
154,4850022
167,596873
167,103
150,4938737
131,081875
110,778071
-7,70333393
-1,651167215
3,970004336
17,0818754
16,5880017
-0,02112417
-19,4331224
-39,7369273
-17,39433523
-11,34216852
-5,720996965
7,39087409
6,89700043
-9,71212547
-29,1241237
-49,4279286
Итак, сделав расчеты, используя таблицы 2.16 и 2.17 [2] методических
указаний, можем выбрать конструкции, обеспечивающие необходимую звукоизоляцию.
Для стен и перекрытий (S1 и S2) используем кирпичную кладку (отштукатуренную с
2-х сторон), толщиной в 1/2 кирпич. Дверь S3 используем обычную с
дополнительными прокладками из резины. Для S4 выберем окно стеклопластик
толщиной 10 мм., средняя поверхностная плотность 17 кг/м2. Данные
конструкции позволят осуществить полную звукоизоляцию.
В данной работе мною был произведен акустический расчет, произведен
расчет звукоизолирующих конструкций для защиты от шума.
Для уменьшения шума, излучаемого промышленным оборудованием,
предусматриваются следующие мероприятия:
а) применение таких материалов при проектировании помещений, которые
могут обеспечить требуемую звукоизоляцию;
б) экранирование источников шума;
в) установка специальных звукоизолированных боксов и звукоизолирующих
кожухов при размещении шумящего оборудования;
г) применение глушителей для снижения аэродинамического шума.
При проектировании кабины наблюдения оказалось, что звукоизоляция очень
плохая, т.к. при всех частотах требуется значительное снижение шума.
Необходимые мероприятия для улучшения звукоизоляции были перечислены.
Список использованной литературы
1. СНиП
II-12-77 Защита от шума.- М. 2003 (с изменениями)
. Охрана
труда (методические указания к выполнению расчетно-графических работ), АИЭС
2005
.
Безопасность жизнедеятельности. Защита от производственного шума. Методические
указания. Алматы, 2005
шум давление трудоспособность звуковой
Приложение
Схема расположения источников шума и расчетных точек
ri2
- коэффициент, учитывающий влияние ближнего акустического
поля, принимаемый в зависимости от отношения
=1.
м2
- коэффициент, учитывающий нарушение диффузности звукового
поля в помещении, принимаемый по графику или опытным путем. По исходным данным
=В/Sогр=0.4.

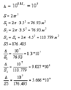
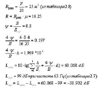
Приведём
пример расчёта для частоты 63 Гц:
Для газовой
турбины, при частоте 63 Гц, Lpi=70 дБ; =>

Из таблицы
2.9 [2] для объёма
![]()

. Расчет
мероприятий для снижения шума
Спроектируем
стену (с окном и дверью) и перекрытие кабины наблюдения зала вибростендов,
имеющего размеры 14х10х4.
где Lш
- октавный уровень звукового давления в не защищаемом от шума помещении, дБ;
В -
постоянная защищаемого от шума помещения, м2;доп -
допустимый октавный уровень звукового давления;
м3
Приведём
пример расчёта для частоты 63 Гц:
Заключение
