Некоммерческое акционерное общество
«АЛМАТИНСКИЙ УНИВЕРСИТЕТ ЭНЕРГЕТИКИ И СВЯЗИ»
Кафедра ТКС
РАСЧЕТНО-ГРАФИЧЕСКАЯ РАБОТА
по дисциплине: Основы цифровой обработки сигналов в телекоммуникационных системах
на тему: «Z-преобразование»
Специальность 5В071900 Радиотехника, электроника и телекоммуникации
Выполнил Жұмагелдинов А.Қ.
Группа РЭТ-12-8
Алматы 2015
Содержание
Введение
1. Z-преобразование
2. Рекурсивный цифровой фильтр
Заключение
Список литературы
Z-преобразование является полезным методом представления (описания) дискретных последовательностей и дискретных систем. Оно позволяет упростить многие формулы, определить основные фундаментальные понятия и оказывается очень наглядной и удобной формой представления процессов, протекающих при цифровой обработке.
Цифровой фильтр - фильтр <https://ru.wikipedia.org/wiki/%D0%A4%D0%B8%D0%BB%D1%8C%D1%82%D1%80_(%D1%8D%D0%BB%D0%B5%D0%BA%D1%82%D1%80%D0%BE%D0%BD%D0%B8%D0%BA%D0%B0)>, обрабатывающий цифровой сигнал с целью выделения и/или подавления определённых частот этого сигнала. В отличие от цифрового, аналоговый фильтр <https://ru.wikipedia.org/wiki/%D0%90%D0%BD%D0%B0%D0%BB%D0%BE%D0%B3%D0%BE%D0%B2%D1%8B%D0%B9_%D1%84%D0%B8%D0%BB%D1%8C%D1%82%D1%80> имеет дело с аналоговым сигналом, его свойства недискретны, соответственно передаточная функция <https://ru.wikipedia.org/wiki/%D0%9F%D0%B5%D1%80%D0%B5%D0%B4%D0%B0%D1%82%D0%BE%D1%87%D0%BD%D0%B0%D1%8F_%D1%84%D1%83%D0%BD%D0%BA%D1%86%D0%B8%D1%8F> зависит от внутренних свойств составляющих его элементов.
Фильтр с конечной импульсной характеристикой (нерекурсивный фильтр, КИХ-фильтр) - один из видов электронных фильтров <https://ru.wikipedia.org/wiki/%D0%A4%D0%B8%D0%BB%D1%8C%D1%82%D1%80>, характерной особенностью которого является ограниченность по времени его импульсной характеристики <https://ru.wikipedia.org/wiki/%D0%98%D0%BC%D0%BF%D1%83%D0%BB%D1%8C%D1%81%D0%BD%D0%B0%D1%8F_%D0%BF%D0%B5%D1%80%D0%B5%D1%85%D0%BE%D0%B4%D0%BD%D0%B0%D1%8F_%D1%84%D1%83%D0%BD%D0%BA%D1%86%D0%B8%D1%8F> (с какого-то момента времени она становится точно равной нулю). Знаменатель передаточной функции <https://ru.wikipedia.org/wiki/%D0%9F%D0%B5%D1%80%D0%B5%D0%B4%D0%B0%D1%82%D0%BE%D1%87%D0%BD%D0%B0%D1%8F_%D1%84%D1%83%D0%BD%D0%BA%D1%86%D0%B8%D1%8F> такого фильтра - некая константа.
Фильтр
с бесконечной импульсной характеристикой (рекурсивный фильтр, БИХ-фильтр) -
электронный фильтр
<https://ru.wikipedia.org/wiki/%D0%AD%D0%BB%D0%B5%D0%BA%D1%82%D1%80%D0%BE%D0%BD%D0%BD%D1%8B%D0%B9_%D1%84%D0%B8%D0%BB%D1%8C%D1%82%D1%80>,
использующий один или более своих выходов в качестве входа, то есть
образуетобратную связь
<https://ru.wikipedia.org/wiki/%D0%9E%D0%B1%D1%80%D0%B0%D1%82%D0%BD%D0%B0%D1%8F_%D1%81%D0%B2%D1%8F%D0%B7%D1%8C_(%D0%BA%D0%B8%D0%B1%D0%B5%D1%80%D0%BD%D0%B5%D1%82%D0%B8%D0%BA%D0%B0)>.Основным
свойством таких фильтров является то, что их импульсная переходная
характеристика
<https://ru.wikipedia.org/wiki/%D0%98%D0%BC%D0%BF%D1%83%D0%BB%D1%8C%D1%81%D0%BD%D0%B0%D1%8F_%D0%BF%D0%B5%D1%80%D0%B5%D1%85%D0%BE%D0%B4%D0%BD%D0%B0%D1%8F_%D1%85%D0%B0%D1%80%D0%B0%D0%BA%D1%82%D0%B5%D1%80%D0%B8%D1%81%D1%82%D0%B8%D0%BA%D0%B0>
имеет бесконечную длину во временной области, а передаточная функция
<https://ru.wikipedia.org/wiki/%D0%9F%D0%B5%D1%80%D0%B5%D0%B4%D0%B0%D1%82%D0%BE%D1%87%D0%BD%D0%B0%D1%8F_%D1%84%D1%83%D0%BD%D0%BA%D1%86%D0%B8%D1%8F>
имеет дробно-рациональный вид. Такие фильтры могут быть как аналоговыми
<https://ru.wikipedia.org/wiki/%D0%90%D0%BD%D0%B0%D0%BB%D0%BE%D0%B3%D0%BE%D0%B2%D1%8B%D0%B9_%D1%84%D0%B8%D0%BB%D1%8C%D1%82%D1%80>
так и цифровыми.
1.
Z-преобразование
Задача 1
. Вычислить Z-преобразование дискретной последовательности отсчетов сигнала {x(n)}, согласно своему варианту - смотри таблицу 3.
. Определить дискретную свертку {y(n)}, если импульсная характеристика системы имеет вид - смотри таблицу 3. Определить системную функцию H(Z).
3. Построить схему нерекурсивного фильтра, которому соответствует системная (передаточная) функция H(Z) и позволяющего получить рассчитанные выходные отсчеты {y(n)}.
. По заданному Z-преобразованию X(Z) определить отсчёты дискретного
сигнала {x(n)}, согласно своему варианту - смотри таблицу 1
Таблица 1 Исходные данные
{x(n)}
1,1,0,0,1,0…
{h(m)}
1,2,2,3,1
X(Z)
Вычислить Z-преобразование
дискретной последовательности отсчетов сигнала {x(n)}.
Определить
дискретную свертку {y(n)}, если импульсная характеристика системы имеет вид {h(m)}.
x(m): 1,1,0,0,1
1
1
0
0
1
1
3
2
2
1
1
1
0
0
1
1
3
2
2
1
1
1
0
0 1
3
2
2
1
1
1
0
0
1
1
3
2
2
1
1
1
0
0
1
1
3
2
2
1
1
1
0
0
1
1
3
2
2
1
1
1
0
0
1
1
3
2
2
1
1
1
0
0
1
1
3
2
2
1
1
1
0 1
1
3
2
2
1
Определить
системную функцию H(Z).
C другой
стороны, передаточной (системной) функцией дискретной цепи Результаты
обоих способов совпали.
Построить
схему нерекурсивного фильтра, которому соответствует системная (передаточная)
функция H(Z) и позволяющего получить рассчитанные выходные отсчеты {y(n)}.
Рисунок
1 - Прямая структурная схема нерекурсивного фильтра
Рисунок
2 - Транспонированная структурная схема нерекурсивного фильтра
По
заданному Z-преобразованию X(Z)
определить отсчеты дискретного сигнала {x(n)}.
1. Определить передаточную (системную) функцию рекурсивного ЦФ.
. Разработать структурную схему рекурсивного фильтра, реализующую
полученную передаточную функцию (прямую, каноническую и транспонированную
реализации).
. Рассчитать первые три отсчета импульсной характеристики фильтра {h(n)},
полученные при прохождении через разработанный фильтр сигнала {x(k)}={1,0,0}.
Коэффициенты числителя «аm» и «bn» определяются согласно табл. 2.
Таблица 5 Исходные данные
Коэффициенты числителя
a0
2
a1
1
a2
3
a3
4
a4
6
a5
0
Коэффициенты знаменателя
b1
4
b2
2
b3
1
b4
3
b5
4
. Определим передаточную (системную) функцию рекурсивного ЦФ.
2. Разработаем структурную схему рекурсивного фильтра, реализующую
полученную передаточную функцию (прямую, каноническую и транспонированную
реализации).
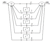
Рисунок 4 - Структурная схема рекурсивного цифрового фильтра - каноническая реализация
Рисунок 5 - Структурная схема рекурсивного цифрового фильтра - транспонированная реализация
3.
Рассчитаем первые три отсчета, полученные при прохождении через разработанный
фильтр сигнала (k):
2,9,44
Заключение
В
данной расчетно-графической работе было вычислено z-преобразование
дискретной последовательности отсчетов сигнала {x(n)}.
Была определена дискретная свертка {y(n)} и системная функция H(z). В
ходе работы была построена схема нерекурсивного фильтра, позволяющего получить
рассчитанные {y(n)}. Были приобретены навыки по определению отсчетов
дискретного сигнала по заданному z-преобразованию.
Также
была определена передаточная характеристика стационарной линейной дискретной
системы и разработана структурная схема фильтра, реализующего полученную
передаточную функцию.
рекурсивный цифровой фильтр сигнал
Список литературы
1. Бойко В.И., Гуржий А.Н., Жуйков В.Я., Зорн А.А., Спивак
В.М., Багрий В.В. Схемотехника электронных систем. Цифровые устройства. - СПб.:
БХВ-Петербург, 2004. - 512 с.
2. Баскаков С.И. Радиотехнические цепи и сигналы. - М.:
Высшая школа, 2003. - 462 с.
. Радиотехнические цепи и сигналы/ Под ред. К.А.
Самойло. - М.: Радио и связь, 1982. - 528 с.
. Казиева Г.С. Основы цифровой обработки сигналов в
телекоммуникационных системах. Конспект лекций. - Алматы: АИЭС, 2006. - 46 с.
. Гольденберг Л.М., Матюшкин Б.Д., Поляк М.Н. Цифровая
обработка сигналов. Учебное пособие. - М.: Радио и связь, 1988. - 368 с.
(m): 1,2,2,3,1
называют отношение Z-преобразований выходного и
входного дискретных сигналов:
2. Рекурсивный цифровой фильтр

.