Материал: VGPL1NUFSa

Внимание! Если размещение файла нарушает Ваши авторские права, то обязательно сообщите нам

6

3. Замкнутая по жидкой фазе динамическая математическая модель управляемых взаимосвязанных массообменных процессов комплекса технологических систем «АБСОРБЦИЯ–ДЕСОРБЦИЯ».

Практическая ценность. Практическая ценность полученных результатов заключается в разработанных математических моделях массо- и теплообменных процессов абсорбционной осушки природного газа, позволяющих объяснять и прогнозировать поведение технологического комплекса при различных внешних факторах, определяющих режимы функционирования.

Полученные дискретно-непрерывные (компьютерные) математические модели массо- и теплообменных процессов комплекса технологических систем «АБ- СОРБЦИЯ–ДЕСОРБЦИЯ» направлены на повышение эффективности проектирования систем автоматического управления ТП абсорбционной осушки природного газа.

Применение разработанного в диссертации многорежимного регулирования обеспечивает в системе поддержание заданного качества газа в широком интервале изменения давления, температуры и расхода.

Реализация результатов. Полученные научные и прикладные результаты нашли применение в бюджетной НИР «Разработка методов анализа нелинейных динамических систем и интеллектуальной обработки информации для моделирования и поддержки задач управления», проводимой на кафедре автоматики и процессов управления СПбГЭТУ «ЛЭТИ» по заданию Министерства образования и науки Российской Федерации в 2011 году.

Результаты работы использованы Уренгойским газопромысловым управлением при разработке технического задания на изменение комплексных алгоритмов управления технологическим процессом абсорбционной подготовки природного газа на газовом промысле №16.

Результаты работы используются в учебном процессе кафедры автоматики и процессов управления при проведении практических занятий и курсового проектирования по дисциплинам «Моделирование систем» и «Математическое моделирование объектов и систем управления», а также при выполнении выпускных квалификационных работ в рамках направления «Управление в технических системах» подготовки бакалавров и магистров.

Апробация работы. Основные положения работы докладывались и обсуждались на Всероссийской 6-й научной конференции «Управление и информационные технологии» в 2010 г., Всероссийской научно-практической интернетконференции «Проблемы автоматизации технологических процессов добычи, транспорта и переработки нефти и газа» в 2013 г., Международных научных конференциях «Системный синтез и прикладная синергетика» в 2009, 2011 и 2013 гг., III Международной научной конференции «Проблемы управления, обработки и передачи информации (АТМ-2013)» в 2013 г., Международных научнотехнических конференциях «Проблемы автоматизации и управления в технических системах» в 2011 и 2013 гг., X Международной Четаевской конференции «Аналитическая механика, устойчивость и управление» в 2012 г., а также на ежегодных научно-технических конференциях профессорско-преподавательского состава СПбГЭТУ «ЛЭТИ» в 2007–2013 годах.

7

Публикации. Основные результаты диссертации опубликованы в двадцати печатных работах, в том числе в 2-х монографиях, семи журнальных статьях (шесть из них из перечня ведущих рецензируемых научных журналов и изданий, рекомендованных ВАК для публикации основных научных результатов), одной работе депонированной в ВИНИТИ РАН, одном научно-техническом сборнике и девяти статьях в сборниках материалов международных и всероссийских научных и научно-технических конференций.

Структура и объём работы. Диссертационная работа состоит из введения, четырех глав с выводами и заключения, списка литературы, включающего 205наименований, 16 приложений. Основная часть работы изложена на 158 страницах машинописного текста. Работа содержит 56 рисунков и 9 таблиц.

ОСНОВНОЕ СОДЕРЖАНИЕ РАБОТЫ

Во введении диссертации обоснована актуальность темы, сформулированы цели и задачи исследования, выделены объект и предмет исследования, приведены методы исследования, научная новизна, практическая ценность работы и основные положения, выносимые на защиту.

В первой главе представлено краткое описание технологии абсорбционной подготовки природного газа и основных физических процессов комплекса технологических систем (КТС) «АБСОРБЦИЯ–ДЕСОРБЦИЯ».

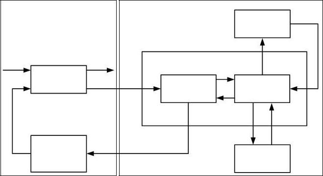
Анализ технологической, структурно-потоковой, укрупненной функциональной схем и физики процессов позволил получить концептуальную модель взаимосвязанных массотеплообменных процессов КТС, структурная схема которой приведена на рисунке 1.

Система «АБСОРБЦИЯ»

 

Система «ДЕСОРБЦИЯ»

 

АВО (конденсатор)

 

 

 

 

 

 

 

 

 

 

 

 

Теплообменный

θф

 

 

 

 

 

 

процесс

 

 

 

 

 

 

 

 

 

 

 

 

 

 

 

(охлаждение)

 

 

Абсорбер

 

Ректификационная колонна

θп

 

 

вх

вых

 

 

 

 

 

Сцг

 

Сцг

 

 

 

 

 

 

вх

Массообменный

 

 

 

 

 

 

 

процесс

вых

вх

 

 

 

 

 

Сра

Массообменный

 

Теплообменный

 

Сна

Сна

 

 

 

 

 

 

процесс

 

процесс

 

 

 

Трубопровод

 

 

 

 

θа

θп

 

 

 

 

 

 

 

 

 

Процесс массо-

 

вых

 

Испаритель

 

 

 

 

 

 

 

 

 

 

 

 

 

 

 

 

 

 

переноса

 

Сра

 

 

Теплообменный

 

 

(транспортное

 

 

 

 

процесс

 

 

 

запаздывание)

 

 

 

 

(выпаривание)

 

Рисунок 1. Структурная схема концептуальной модели массотеплообменных процессов КТС

8

Спомощью концептуальной модели были выявлены особенности ТП: пространственное распределение величин, взаимосвязь массо- и теплообменных процессов в РК, замкнутость потока по жидкой фазе в КТС.

Представлен аналитический обзор методов моделирования и состояния проблемы управления абсорбционными процессами. В результате анализа сформулированы цели и задачи проводимого научного исследования.

Во второй главе представлен анализ процессов, происходящих в подсистеме «Абсорбция газа». В результате изучения физики процессов абсорбции, учета конструктивно-технологических особенностей аппарата и его режимов работы были сформулированы основные допущения и ограничения, положенные в основу построения ММ.

Сучетом принятых допущений и ограничений была разработана ММ процесса абсорбции природного газа для технологического аппарата насадочного типа, представленная системой дифференциальных уравнений в частных производных (ДУЧП) с начальными и граничными условиями:

 

 

 

С

цг

t

zг

 

г

, P

C

цг

z R [С

цг

C р

(С

цж

)];

 

 

 

 

 

 

 

г

 

 

 

г

 

 

цг

 

(1)

 

 

 

 

 

 

 

 

 

C

 

z R [С

 

C р

 

 

 

 

 

 

 

 

 

С

цж

t

 

цж

цг

(С

цж

)],

 

 

 

 

 

 

 

 

 

 

 

 

ж

 

цг

 

 

 

 

 

где

Cцг

,Cцж

концентрации целевого компонента (ЦК) в газе и жидкости;

C р

С

цж

– равновесное содержание ЦК в газе в зависимости от содержания ЦК в

цг

 

 

 

 

 

 

 

 

 

 

 

 

 

 

 

 

 

 

 

 

 

 

 

жидкости; ,

– скорости газа и жидкости вдоль оси z ;

г − рабочая темпе-

ратура

газа,

ºС; Pг

 

 

 

рабочее

давление

газа,

 

МПа; Rг , Rж – физико-

технологические коэффициенты, зависящие от физических свойств газовой и жидкой фаз, а также конструктивных особенностей аппарата. Скорость газа зави-

сит от давления Pг и температуры г и определяется выражением:

г г , Pг Vm Gг 0 г P0 0,785 0Pг D2 ,

где Vm 22,4 − объем моля идеального газа при нормальных условиях, м3/кмоль; Gг − расход газа, кмоль/с; 0 273 − нормальная температура, К; г − рабочая температура газа, ºС; P0 0,1 − нормальное давление, МПа; Pг − рабочее давление газа, МПа; D − диаметр колонны, м.

Граничные условия:

C (z,t)

 

 

Cвх (t);

C (z,t)

 

 

 

Cвх

(t),

 

 

 

 

 

 

цг

 

z 0

цг

цж

 

 

z lа

цж

 

где lа – высота абсорбера.

 

 

 

 

 

 

 

 

 

 

 

 

 

 

 

 

 

 

 

 

 

 

Начальные условия: Cцг (z,t)

 

t 0 Cцг (z);

Cцж (z,t)

 

t 0 Cцж (z).

 

 

Предложена методика расчета физико-технологических коэффициентов абсорбции для номинального установившегося режима, используемых в ММ абсорбционной осушки природного газа. Получаемые коэффициенты следует рассматривать как начальные приближения при моделировании. В процессе исследования они могут уточняться.

Для проведения вычислительного эксперимента на основе непрерывной ММ

(1) разработаны дискретно-непрерывная и компьютерная модели подсистемы

9

«Абсорбция газа». Результаты компьютерного моделирования при изменении скорости газа от номинального до минимального значения представлены на рисунке 2.

вых

3

 

 

 

вых

 

 

 

 

 

 

Сцг, г/м

 

 

 

 

Сцж,

%вес.

 

 

 

 

 

 

0,03

 

 

 

 

7

 

 

 

 

 

 

 

0,025

 

 

 

 

6,5

 

 

 

 

 

 

 

0,02

 

 

 

 

6

 

 

 

 

 

 

 

0,015

 

 

 

 

5,5

 

 

 

 

 

 

 

0,01

 

 

 

t, с

5

 

 

 

 

 

t, с ×10^4

 

 

 

 

 

 

 

 

 

 

 

 

 

 

 

 

 

 

 

 

 

 

0,0050

5

10

15

20

4,50

2

4

6

8

10

12

 

 

а

 

 

 

 

 

 

б

 

 

 

Рисунок 2. Графики переходных процессов по концентрации целевого компонента в газе (а) и жидкости (б) при ступенчатом возмущающем воздействии

Графики переходных процессов при изменении скорости газа указывают на то, что процессы носят монотонный затухающий характер. По газовой фазе они протекают быстро и устанавливаются в течение 10-12 с, а по жидкой фазе процессы медленные и устанавливаются приблизительно через 20 ч. Результаты моделирования динамики подтверждаются экспериментальными данными.

Так же была разработана ММ и проведен анализ массообменного процесса в режиме продольного перемешивания фаз. В результате анализа выявлено, что продольное перемешивание не оказывает существенного влияния на абсорбцию.

В третьей главе представлен анализ процессов в системе «ДЕСОРБЦИЯ абсорбента». В соответствии с концептуальной моделью были определены подсистемы, оказывающие доминирующее влияние на процесс десорбции: подсистема «Ректификация», подсистема «Выпаривание» и подсистема «Воздушное охлаждение». Сформулированы основные допущения и ограничения, которые легли в основу построения ММ подсистем. С целью отражения изменения условий массотеплообмена для подсистем «Ректификация» и «Воздушное охлаждение» в описание введена зависимость скорости пара п от температуры пара п п .

Принятые допущения и ограничения позволили разработать динамическую нелинейную ММ взаимосвязанных по температуре пара п массо- и теплообмен-

ных процессов подсистемы «Ректификация», представляемую системой ДУЧП:

 

 

 

 

С

цп

t

п

 

п

С

цп

z R

 

С

цп

C р

 

С

цж

;

 

 

 

 

 

 

 

 

 

 

 

 

 

п

 

 

цп

 

 

 

 

 

 

 

 

 

С

цж

t

ж

С

цж

z R

 

С

цп

C р

С

цж

;

(2)

 

 

 

 

 

 

 

 

 

 

 

 

ж

 

 

 

 

цп

 

 

 

 

 

 

 

 

 

п t п

п п

z Rθп п ж ;

 

 

 

 

 

 

 

 

 

 

 

 

ж t ж ж z

Rθж п ж ,

 

 

 

 

 

 

 

 

 

где С

цж

, C

– концентрации ЦК в жидкости (абсорбент, флегма) и в паре;

С р

 

цп

 

 

 

 

 

 

 

 

 

 

 

 

 

 

 

 

 

 

 

 

 

 

 

 

 

 

цп

 

равновесная концентрация ЦК в паре; ж − скорость жидкости; п , ж − температуры пара и жидкости; Rж , Rп , Rθп , Rθж − физико-технологические коэффициенты, зависящие от физических свойств фаз и геометрических особенностей аппарата.

10

Граничные условия:

 

 

 

 

 

 

 

 

 

 

 

 

 

 

 

 

 

 

 

 

C

цп

z,t

 

 

 

 

 

C вх t , C

цп

z,t

 

 

 

 

 

 

 

C вых t ;

 

 

 

 

 

 

 

 

 

 

 

 

 

 

 

 

 

 

 

 

z 0

цп

 

 

 

 

 

 

z lк

 

цп

 

 

 

 

 

 

 

 

 

 

 

 

 

 

 

 

 

 

 

 

 

 

 

 

 

C

цж

z,t

 

 

 

 

 

 

C вх t , C

цж

z,t

 

 

 

 

 

 

C вых t ;

 

 

 

 

 

 

 

 

 

 

 

 

 

 

 

 

z lк

цж

 

 

 

 

 

 

 

 

 

 

z 0

цж

 

 

 

 

 

 

 

 

 

 

 

 

 

 

 

 

 

 

 

 

 

 

 

 

 

 

 

 

 

 

 

(z,t)

 

 

 

вх (z) ,

 

 

(z,t)

 

 

 

 

 

 

вх (z) ;

 

 

 

 

 

 

 

 

 

 

 

 

 

 

 

 

 

 

п

 

 

 

 

 

 

 

z 0

п

 

 

 

ж

 

 

 

 

 

z l

 

ж

 

 

 

 

 

 

 

 

 

 

 

 

 

 

 

 

 

 

 

 

 

 

 

 

 

 

 

 

 

 

 

 

вых

(z) ,

 

 

 

 

 

 

 

 

 

 

 

вых

(z) .

 

(z,t)

 

 

 

 

 

 

 

 

 

 

(z,t)

 

 

 

 

 

 

 

 

 

 

п

 

 

 

z l

 

п

 

ж

 

 

 

 

 

z 0

 

ж

 

 

 

 

 

 

 

 

 

 

 

 

 

 

 

 

Начальные условия:

 

 

 

 

 

 

 

 

 

 

 

 

 

 

 

 

 

 

 

 

C

 

 

 

z,t

 

 

 

 

 

 

 

 

C0

z , C

 

 

 

 

z,t

 

 

 

C0

z ;

 

 

 

 

 

 

 

 

 

 

 

 

 

 

 

 

 

 

 

цп

 

 

 

t 0

 

цп

 

 

цж

 

 

 

 

 

 

 

 

t 0

цж

 

 

 

 

 

 

 

 

 

 

 

 

 

 

 

п (z,t)t 0 вхп (z) , ж (z,t)t 0 вхж (z) .

На основе ММ (2) для проведения вычислительного эксперимента разработаны дискретно-непрерывные и компьютерные модели взаимосвязанных тепло- и массообменных процессов. Результаты эксперимента представлены в таблице 1.

Таблица 1

Значения возмущений

Величина

Cвх 6,83

Cвх 6,18

вх 100

вх 164

цж

цж

ж

нп

 

%вес.

%вес.

°С

°С

 

 

Моделируемые значения

 

Cцпвых , %вес.

97,06

97,06

97,96

96,56

Cцжвых , %вес.

1,25

0,6

0,89

0,95

нпвых , ºС

150,59

150,59

145,65

153,75

выхж , ºС

133,04

133,04

119,16

134,35

По результатам вычислительного эксперимента сделаны следующие выводы:

– изменение концентрации ЦК в абсорбенте в подсистеме «Ректификация» не оказывает влияния ни на концентрацию ЦК в паре, ни на температуры абсорбента

ипара.

изменение температуры паровой или жидкой фазы в подсистеме «Ректификация» влечет за собой изменение температурного и концентрационного профилей в РК по абсорбенту и пару.

Проведенное исследование взаимосвязанных тепломассообменных процессов подсистемы «Ректификация» подтверждает два положения: теплообменные процессы являются доминирующими для процесса ректификации и концентрация ЦК в абсорбенте и паре зависит от температуры при постоянном давлении.

В третьей главе так же разработаны ММ подсистем «Выпаривание» и «Воздушное охлаждение».

Для подсистемы «Выпаривание» была составлена модель в виде системы ДУЧП, описывающая нестационарный теплообмен в испарителе с учетом стенки жаровой трубы, разделяющей теплоносители: