21
Приложение 1
Пример расчетов эксплуатационного запаса сырья при работе методом конкретных зарослей
1. При определении урожайности по методике учетных площадок.
На заросли ландыша майского площадью (S) 0,25 га заложено 15 метровых учетных площадок для определения урожайности. С каждой площадки было собрано сырье и взвешено. Получены следующие данные (v): 185, 191, 152, 51, 200, 230, 287, 238, 187, 201, 67, 176, 189, 247, 125 г.
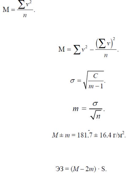
а) Определяем значение урожайности – (М) среднюю арифметическую по формуле:
б) Определяем значение ошибки средней арифметической (m). Определяем дисперсию:
Определяем квадратическое отклонение:
Ошибку (m) вычисляем по формуле:
Таким образом, урожайность на заросли составит:
Ошибка средней арифметической (m) составляет 9 %, следовательно, урожайность определена достаточно точно 9 % > 15 %.
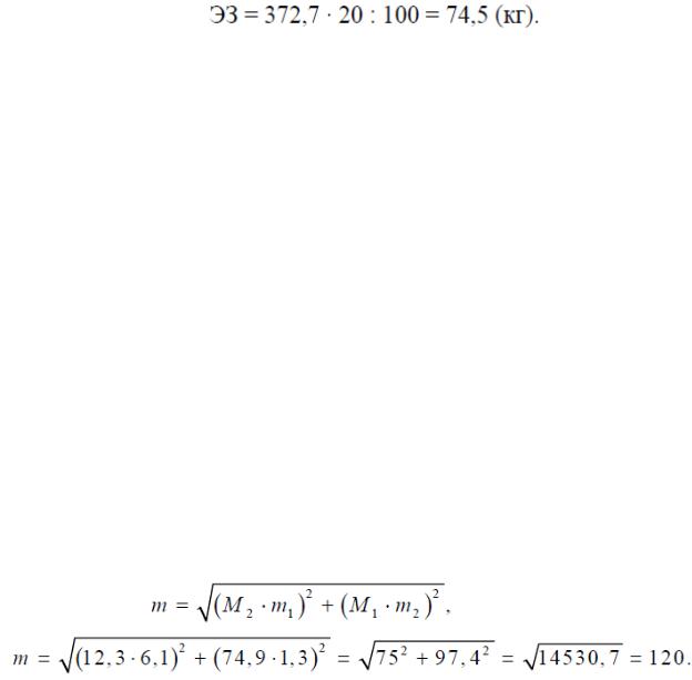
в) Величину эксплуатационного запаса (ЭЗ) определяем по формуле:
Площадь заросли предварительно переводим в м2: 0,25 га = 2500 м2.
свежесобранного сырья.
22 Выход воздушно-сухого сырья ландыша составляет 20 % (см. прил. 2),
поэтому значение эксплуатационного запаса воздушно-сухого сырья составит:
Полученные данные заносим в инвентаризационную ведомость (см. прил. 3).
2. При определении урожайности по методике модельных экземпляров.
На заросли площадью 5 га определяли численность экземпляров щитовника мужского на трансекте из 30 квадратов площадью по 25 м2. Расчет среднего количества экземпляров на 30 площадках показал, что численность товарных экземпляров на каждом отрезке трансекты составляет:
а) M1 ± m1 = 12,3 ± 1,3 экз. (расчет средней арифметической (M1) и ее ошибки (m1) производят по тем же формулам, что и в методике учетных площадок). Ошибка средней арифметической 10,5 %.
б) Было взято 50 модельных экземпляров, корневища каждого экземпляра взвешены и рассчитана средняя масса корневища одного экземпляра:
M2 ± m2 = 74,9 ± 6,1 г.
Ошибка средней арифметической 8,1 %.
в) Определяем урожайность как произведение (M1 ± m1) · (M2 ± m2).
Урожайность равна 
Рассчитываем ошибку значения урожайности (m) по формуле:
Таким образом, урожайность на 25 м2 составит:
М ± m = 921 ± 120 или 36,8 ± 4,8 (г/м2). Ошибка средней арифметической (m) равна 13 %.
г) Вычисляем эксплуатационный запас сырья на заросли:
свежесобранного сырья.
Выход воздушно-сухого сырья от свежесобранного составляет 30 %. Таким образом, эксплуатационный запас сырья составляет 30 % от 1360 кг, или 408 кг. Полученные данные вносим в инвентаризационную ведомость (см. прил. 3).
23
3. При определении урожайности по методике проективно - го покрытия.
Урожайность по методике проективного покрытия рассчитывают аналогично предыдущей методике, перемножая средний процент проективного покрытия (M2 ± m2) на «цену» одного процента покрытия (M1 ± m1).
24
Приложение 2
Процент выхода воздушно-сухого сырья из свежесобранного
Название растения |
Вид сырья |
Выход воздушно-су- |
Аир обыкновенный |
|
хого сырья (%) |
корневища |
30 |
|
Алтей лекарственный |
корни |
22 |
Белена черная |
листья |
16–18 |
Береза повислая |
почки |
40 |
Бессмертник песчаный |
соцветия |
25-30 |
Боярышник |
цветки |
18–20 |
Валериана лекарственная |
плоды |
25 |
корневища с |
25 |
|
Василек синий |
корнями |
|
краевые цветки |
20 |
|
Девясил высокий |
корневища с |
30 |
Дуб обыкновенный |
корнями |
|
кора |
40 |
|
Дурман обыкновенный |
листья |
12–14 |
Душица обыкновенная |
трава |
25 |
Жостер слабительный |
плоды |
17 |
Зверобой продырявленный |
трава |
30 |
Земляника лесная |
листья |
20 |
Крапива двудомная |
плоды |
14-16 |
трава |
22 |
|
Кровохлебка лекарственная |
корневища с |
25 |
Крушина ломкая |
корнями |
|
кора |
40 |
|
Кубышка желтая |
корневища |
8-10 |
Ландыш майский |
листья |
20 |
|
трава |
20 |
Липа сердцевидная |
цветки |
14 |
цветки |
25 |
|
Малина обыкновенная |
плоды |
16-18 |
Одуванчик лекарственный |
корни |
33-35 |
Ольха серая |
соплодия |
38-40 |
Пастушья сумка |
(«шишки») |
|
трава |
26-28 |
|
Пижма обыкновенная |
соцветия |
25 |
Подорожник большой |
листья |
15-20 |
|
25 |
|
Полынь горькая |
трава |
22 |
Ромашка лекарственная |
листья |
24-25 |
соцветия |
20 |
|
Смородина черная |
плоды |
18-20 |
Сосна обыкновенная |
«почки» |
40 |
Тимьян ползучий |
трава |
25–30 |
Тысячелистник обыкновенный |
трава |
22 |
Фиалка трехцветная |
трава |
20 |
Череда трехраздельная |
трава |
15 |
Черемуха обыкновенная |
плоды |
42-45 |
Чистотел большой |
трава |
23-25 |
Шиповник |
плоды |
32-35 |
Примечание: Жирным шрифтом выделены виды, включенные в Государственную фармакопею.