Материал: 3лаба тоэ

Внимание! Если размещение файла нарушает Ваши авторские права, то обязательно сообщите нам

Нижегородский государственный

технический университет

имени Р.Е. Алексеева

Кафедра: «Теоретическая и общая электротехника»

Отчет по лабораторной работе № 3

«Исследование пассивного четырёхполюсника»

Выполнили:

Студенты 19-Э-5

Федоров К.Р.

Шургалина В.И.

Проверил: Степанов К.С.

Нижний Новгород 2021

Цель работы: Научиться определять коэффициенты четырёхполюсника по результатам эксперимента, строить круговую диаграмму и использовать её для анализа режимов работы.

Пояснения к работе:

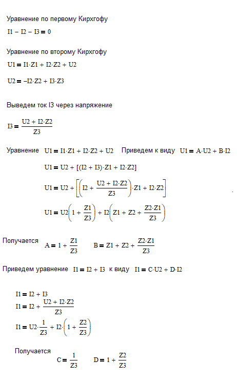
Для любого пассивного четырёхполюсника уравнения связи входных и выходных напряжений и токов могут быть записаны в различных формах.

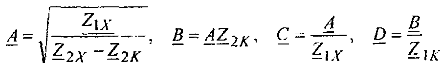
Здесь А, В, С, D – комплексные коэффициенты (постоянные) четырёхполюсника, удовлетворяющие равенству АВ – ВС = 1

Их можно определить из опытов холостого хода и короткого замыкания при прямом и обратном включении по формулам:

Здесь Z1K и Z1X – сопротивления в режимах прямого короткого замыкания и холостого хода относительно входных зажимов, Z2K и Z2X – аналогичные величины при обратном включении.

Исходные данные:

Режим

I, мА

φ, град

Примечания

Холостой ход

31

8

прямое вкл.

Короткое замыкание

48

-20

Холостой ход

37

-8

обратное вкл.

Короткое замыкание

57

-37

U1 = 5.1 B

U2 = 1.9 B

RH = 100 Oм

f = 200 Гц

R1 = 68 Ом R2 = 100 Ом L = 40 мГн C = 6.8 мкФ

Рассчитаем параметры «Т» образной схемы четырехполюсника

Вывод: В результате проделанной лабораторной работы был исследован пассивный четырёхполюсник, научились определять коэффициенты «А» формы четырёхполюсника по результатам эксперимента, рассчитали параметры «T» образной схемы четырехполюсника.

Осциллограммы режимов работы четырехполюсника: 1. Холостой ход (прямое включение)

2. Короткое замыкание (прямое включение)

3. Холостой ход (обратное включение)

4. Короткое замыкание (обратное включение)