МИНИСТЕРСТВО ОБРАЗОВАНИЯ И НАУКИ РОССИЙСКОЙ ФЕДЕРАЦИИ ФЕДЕРАЛЬНОЕ ГОСУДАРСТВЕННОЕ БЮДЖЕТНОЕ ОБРАЗОВАТЕЛЬНОЕ УЧРЕЖДЕНИЕ
ВЫСШЕГО ОБРАЗОВАНИЯ «ВОРОНЕЖСКИЙ ГОСУДАРСТВЕННЫЙ ЛЕСОТЕХНИЧЕСКИЙ УНИВЕРСИТЕТ
ИМЕНИ Г.Ф. МОРОЗОВА»
ЛИНЕЙНАЯ АЛГЕБРА
Методические указания к практическим занятиям для студентов по направлению подготовки
38.03.01 – Экономика
Воронеж 2016
3
УДК 512.8
Раецкая, Е. В. Линейная алгебра [Текст] : методические указания к практическим занятиям для студентов по направлению подготовки 38.03.01 – Экономика / Е. В. Раецкая, И.В. Сапронов, Н.М. Спирина; М-во образования и науки РФ, ФГБОУ ВО «ВГЛТУ». – Воронеж, 2016. – 32 с.
Печатается по решению учебно-методического совета
ФГБОУ ВО «ВГЛТУ» |
(протокол № 5 от 22 апреля 2016 г.) |
Рецензент д-р физ.-мат. наук, доцента кафедры математического анализа ВГУ Зубова С.П.
4
Содержание Введение……………………………………………………………………………..4
1.Матрицы и определители……………………………………………………….5
1.1Практическая часть……………………………………………………………5
1.2Индивидуальные задания……………………………………………………..7
2.Системы линейных уравнений……………………………………………...….9
2.1Практическая часть……………………………………………………………9
2.2Индивидуальные задания……………………………………………………15
3.Векторная алгебра……………………………………………………………..16 3.1 Практическая часть………………………………………………….……….16
3.2 Индивидуальные задания…………………………………………………. ..19
4.Аналитическая геометрия…………………………………………………….20
4.1 Практическая часть…………………………………………………………..20
4.2 Индивидуальные задания…………………………………………………. ..25
5.Кривые второго порядка……………………………………………………..26 5.1 Практическая часть…………………………………………………………..26 5.2 Индивидуальные задания…………………………………………………. ..29
Вопросы для контроля. ………………………………………………………….31
Библиографический список…………………………………………………...32
5
ВВЕДЕНИЕ
Целью изучения дисциплины «Линейная алгебра» является воспитание достаточно высокой математической культуры, привитие навыков современных видов математического мышления, обучение основным математическим понятиям и методам линейной алгебры, необходимым для анализа и моделирования устройств, процессов и явлений при поиске оптимальных решений практических задач, методам обработки и анализа результатов численных экспериментов для экономических задач.
Основной задачей является выработка умения решать примеры и задачи для последующего применения математических методов в различных приложениях.
Студент по результатам освоения дисциплины «Линейная алгебра» должен обладать способностью выбрать инструментальные средства для обработки экономических данных в соответствии с поставленной задачей, проанализировать результаты расчетов и обосновать полученные выводы.
Врезультате освоения дисциплины студент должен:
-знать основные понятия, определения и методы исследования объектов с помощью теорем и формул различных разделов курса математики;
-уметь: решать задачи и примеры по различным разделам высшей математики
сдоведением решения до практического приемлемого результата (формулы, числа, графика, качественного вывода и т.п.),
- уметь при решении задач выбирать необходимые вычислительные методы и средства (ПЭВМ, таблицы и справочники);
-самостоятельно изучать научную литературу по математике;
- иметь представление о численных алгоритмах решения математических и прикладных задач его профессиональной области.
6
|
1. |
МАТРИЦЫ И ОПРЕДЕЛИТЕЛИ |
|
|
|
1.1 ПРАКТИЧЕСКАЯ ЧАСТЬ |
|
Матрицей А размера m n называется таблица из |
m n чисел |
||
a |
a ... |
a |
|
11 |
12 |
1n |
|
a21 |
a22 ... |
a2n |
|
A |
|
... |
|
... ... ... |
|
||
|
|
|
|
|
am2 ... |
|
|
am1 |
amn |
|
|
Часто для краткости пишу A 
aij 
. Числа, из которых состоит
матрица, называются элементами матрицы. Индексы у элементов матрицы указывают расположение этого элемента в таблице: первый индекс – номер строки, в которой находится элемент, а второй – номер столбца. Например, элемент a21 находится на пересечении второй строки и первого столбца:
|
a |
a |
... |
a |
|
|
|
|
11 |
12 |
|
1n |
|
|
|
|
|
|
||
|
a21 |
a22 |
... |
a2n |
||
A |
|
|
|
|
|
|
|
|
|
|
|
||
|
|
|
|
|
||
... |
... |
... |
... |
|
||
|
|
am2 |
... |
|
|
|
am1 |
amn |
|||||
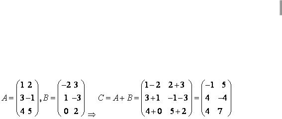
Суммой двух матриц одинакового размера m n |
A |
|
aij |
|
и B |
|
bij |
||||
называют матрицу C |
|
|
размера m n такую, что |
|
|
|
|
|
|
|
|
|
cij |
|
|
|
|
|
|
|
|
||
cij aij bij , |
i 1,..., m ; j 1,...n . |
|
|
|
|
|
|
|
|||
.
Произведением матриц АВ называется матрица
7