ФЕДЕРАЛЬНОЕ АГЕНТСТВО ЖЕЛЕЗНОДОРОЖНОГО
ТРАНСПОРТА
Федеральное государственное бюджетное образовательное учреждение
высшего образования
«Петербургский государственный университет путей сообщения
Императора Александра I»
(ФГБОУ ВО ПГУПС)
Факультет «Транспортное строительство»
Кафедра «Изыскания и проектирование железных дорог»
Специальность - 23.05.06 «Строительство железных дорог, мостов и транспортных тоннелей»
Специализация – «Строительство магистральных железных дорог»
Форма обучения – очная
Дисциплина – «Проектирование высокоскоростных магистралей»
ТИПОВАЯ ЗАДАЧА № 1 (ПЗ №3)
тема: «Расчёт радиуса круговой кривой»
Выполнил обучающийся
Курс 5
Группа СЖД-504 _______________________ Руденко Р. В.
подпись, дата
Руководитель _______________________ Бушуев Н.С.
подпись, дата
Санкт-Петербург
2019
Исходные данные
Vmax(в/с) = 400 км/ч an(в/с) = 0,4 м/с2
Vmax(ск) = 220 км/ч an(ск) = 0,7 м/с2
Vmax(гр) = 160 км/ч an(гр) = -0,3 м/с2 (-0,6 м/с2)
n(в/с) = 24 п.п./с Q(в/с) = 600 т
n(ск) = 6 п.п./с Q(ск)= 1200 т
n(гр) = 14 п.п./с Q(гр) = 800 т
Нормы проектирования круговых кривых приведены в СТУ.
Расчет параметров при an(гр) = -0,3 м/с2
2.1 Расчет потребного радиуса R, м
В соответствии с п. 1 Методики [1] (формула 1):

где Vmax(в/с),Vmax(гр) – максимальные скорости движения соответственно высокоскоростных пассажирских и грузовых контейнерных поездов, км/ч;
анп(в/с) – норма непогашенного горизонтального ускорения для высокоскоростного пассажирского поезда, м/с2;
агр–норма отрицательного горизонтального ускорения для грузовых контейнерных поездов, м/с2.
2.2 Определение возвышения наружного рельса h, мм при Rпотр = 14800 м.
По формулам (3) и (4) [1]:


где аннп(в/с) – норма непогашенного горизонтального ускорения для высокоскоростного поезда, м/с2, принимаемая по СТУ;
ангр - норма отрицательного горизонтального ускорения для грузового контейнерного поезда, м/с2, принимаемая по СТУ.
Vmax – максимальная скорость движения поезда в пределах рассматриваемой кривой, км/ч;
h – возвышение наружного рельса, мм;
g- ускорение свободного падения, м/с2;
S - расстояние между осями рельсов, мм, равное 1600 мм.
К дальнейшему расчету принимаем h = 71 мм.
Проверка величины фактических непогашенных ускорений при Rпотр = 14800 м.
По формулам (5) и (6) [1] проверяем соответствие фактических ускорений допускаемым нормам СТУ:


Величина непогашенных ускорений удовлетворяет требованиям.
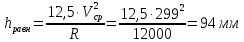
Определение возвышения наружного рельса из условия обеспечения равномерного износа обеих рельсовых нитей
В соответствии с формулой (8) Методики [1], расчёт Vср, ведём для размеров движения и норм массы поездов, принятых в исходных данных.

где Vср – средняя с учетом пропускаемого тоннажа скорость поездопотока, км/ч, намечаемая на расчетный год эксплуатации линии в месте расположения кривой
Vi, ni и Qi– соответственно скорость, км/ч, количество и масса поездов, т, определенной категории, следующих по рассматриваемой кривой в сутки.

Тогда

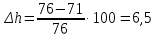
Определим величину отклонения принятого h от hравн:

Расхождение 6,5%, что в пределах нормы.
Расчет параметров при an(гр) = -0,6 м/с2
3.1 Расчет потребного радиуса R, м

3.2 Определение возвышения наружного рельса h, мм при Rпотр = 10400 м.


Проверка величины фактических непогашенных ускорений при Rпотр = 10400 м.


Величина непогашенных ускорений удовлетворяет требованиям.
Определение возвышения наружного рельса из условия обеспечения равномерного износа обеих рельсовых нитей


Расхождение 19,4% недопустимо, необходимо увеличить R таким образом, чтобы Δh составило не более 10%.
Примем R = 12000 м, тогда:


Примем h=103 мм для дальнейших расчетов.


Величина непогашенных ускорений удовлетворяет требованиям.


при an(гр) = -0,6 м/с2 рекомендуется принять R = 12000 м и h = 103 мм.
Вывод
В ходе решения задачи были определены параметры круговой кривой для трассы ВСМ при двух значениях непогашенного ускорения для грузовых поездов. При an(гр) = -0,3 м/с2 рекомендуется принять R = 14800 м и h = 71 мм. При an(гр) = -0,6 м/с2 рекомендуется принять R = 12000 м и h = 103 мм (при условии обеспечения равномерного износа обеих рельсовых плетей); R= 10400 м и h=129 мм без учета обеспечения равномерного износа обеих рельсовых плетей.
Список литературы
Высокоскоростное пассажирское движение (на железных дорогах). Под ред. Н.В. Колодяжного. – М.: «Транспорт», 1976, 416 с.
Кантор И.И. Изыскания и проектирование железных дорог. – М.: ИКЦ «Академкнига», 2003. – 288 с.
ЦРБ-393. Инструкция по техническому обслуживанию и эксплуатации сооружений, устройств, подвижного состава и организации движения на участках обращения скоростных пассажирских поездов (с учетом изменений и дополнений в соответствии с распоряжением №426Р от 30.04.2003 г.).
Обоснование инвестиций на сооружение высокоскоростной железнодорожной магистрали «Москва – Казань – Екатеринбург» (ВСМ -2). Участок «Москва – Казань». Этап строительства. Раздел 4 «Организация движения поездов», подраздел 2 «График овладения перевозками» (том 4.2). ОАО «Ленгипротранс», 2014.