Материал: 18

Внимание! Если размещение файла нарушает Ваши авторские права, то обязательно сообщите нам
  1. Межотраслевой баланс. Модель «затраты - выпуск» в. Леонтьева.

Межотраслевой баланс — экономико-математическая балансовая модель, характеризующая межотраслевые производственные взаимосвязи в экономике страны. Характеризует связи между выпуском продукции в одной отрасли и затратами, расходованием продукции всех участвующих отраслей, необходимым для обеспечения этого выпуска. Межотраслевой баланс составляется в денежной и натуральной формах.

Межотраслевой баланс представлен в виде системы линейных уравнений, представляет собой таблицу, в которой отражен процесс формирования и использования совокупного общественного продукта в отраслевом разрезе. Таблица показывает структуру затрат на производство каждого продукта и структуру его распределения в экономике. По столбцам отражается стоимостный состав валового выпуска отраслей экономики по элементам промежуточного потребления и добавленной стоимости. По строкам отражаются направления использования ресурсов каждой отрасли.

В Модели МОБ выделяются три квадранта. В первом отражается промежуточное потребление и система производственных связей, во втором — структура конечного использования ВВП, в третьем — стоимостная структура ВВП.

Теоретические основы межотраслевого баланса были разработаны в СССР в 1923—1924 гг. В 1930-е годы Василий Леонтьев применил метод анализа межотраслевых связей с привлечением аппарата линейной алгебры для исследования экономики США. Метод стал известен под названием «затраты — выпуск». Во время Второй мировой войны, разработанная Леонтьевым матрица «затраты — выпуск» для экономики Германии служила для выбора целей ВВС США[1] . Аналогичный баланс для СССР, разработаный Леонтьевым, использовался властями США для принятия решения об объемах и структуре Ленд-лиза.

За 1959 год ЦСУ СССР разработало отчетный межотраслевой баланс в стоимостном выражении (по 83 отраслям) и первый в мире межотраслевой баланс в натуральном выражении (по 257 позициям). Одновременно развернулись прикладные работы в центральных плановых органах (Госплане и Госэкономсовете) и их научных организациях. Первые плановые межотраслевые балансы в стоимостном и натуральном выражении были построены в 1962 г. Далее работы были распространены на республики и регионы. По данным за 1966 г. межотраслевые балансы были построены по всем союзным республикам и экономическим районам РСФСР. Советскими учеными были созданы заделы для более широкого применения межотраслевых моделей (в том числе динамических, оптимизационных, натурально-стоимостных, межрегиональных и др.)

В 70-х и 80-х годах в СССР на основе данных межотраслевых балансов разрабатывались более сложные межотраслевые модели и модельные комплексы, которые использовались в прогнозных расчетах и частично входили в технологию народнохозяйственного планирования. По ряду направлений советские межотраслевые исследования занимали достойное место в мировой науке[2].

В то же время, Леонтьев отчетливо понимал, что теоретические разработки советских ученых не находят практического применения в реальной экономике, где все решения принимались исходя из политической конъюнктуры:

Западные экономисты часто пытались раскрыть "принцип" советского метода планирования. Они так и не добились успеха, так как до сих пор такого метода вообще не существует[3].

Пример расчета межотраслевого баланса

Рассмотрим 2 отрасли промышленности: производство угля и стали. Уголь требуется для производства стали и некоторое количество стали в виде инструментов требуется для добычи угля. Предположим, что условия таковы: для производства 1 т. стали нужно 3 т. угля, а для 1 т. угля — 0,1 т. стали.

Отрасль

Уголь

Сталь

Уголь

0

3

Сталь

0.1

0

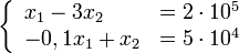
Мы хотим, чтобы чистый выпуск угольной промышленности был тонн угля, а стальной промышленность — тонн стали. Если каждая из них будет производить лишь и тонн, то часть продукции будет использоваться в другой отрасли. Для производства тонн стали требуется тонн угля, а для производства тонн угля нужно тонн стали. Чистый выход будет равен: тонн угля и тонн стали. Нам нужно дополнительно производить уголь и сталь, чтобы использовать их в другой отрасли. Обозначим x1 — количество угля, x2 — количество стали. Валовый выпуск каждой продукции найдем из системы уравнений:

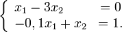
Решение: (285,714; 28,571). Для систематического решения задач расчета межотраслевого баланса находят, сколько угля и стали требуется для выпуска 1 т. каждого продукта.

x1 = 1,42857 и x2 = 0,14286. Чтобы найти, сколько угля и стали нужно для чистого выпуска т. угля, нужно умножить эти цифры на . Получим: (285714; 28571). Аналогично составляем уравнения для получения количества угля и стали для выпуска 1 т. стали:

x1 = 4.28571 и x2 = 1.42857. Для чистого выпуска т. стали нужно: (214286; 71429). Валовый выпуск для производства тонн угля и тонн стали: (285714 + 214286; 28571 + 71429) = (500000; 100000).

1

Курс лекций по макроэкономике

Демидовой Е.С.