Материал: 1167

Внимание! Если размещение файла нарушает Ваши авторские права, то обязательно сообщите нам

Рис. 2.4. Влияние содержания резиновой крошки (X2) на условную вязкость (А), температуру размягчения (B) и растяжимость (С) нефтяного гудрона.

41

Рис. 2.5. Влияние содержания добавки ПГ (X3) на условную вязкость(А), температуру размягчения (В) и растяжимость (С) нефтяного гудрона

42

Это объясняется следующим. Как отмечалось ранее, в добавке ПГ присутствуют глицерины и полиглицерины, которые хорошо растворимы как в воде, так и в маслах. Кроме того, и органически активные вещества с сильно выраженными эмульгирующими свойствами являются поверхностно-активными веществами. При этом глицерины склонны к активному самоокислению. В результате протекания процессов самоокисления происходит сшивка основных компонентов нефтяного гудрона с глицеринами, что и повышает вязкость вяжущего.

Как видно из рис. 2.5 B и аппроксимирующего уравнения (2.17), температура размягчения также возрастает с ростом содержания в гудроне добавки ПГ.

Влияние концентрации глицеринового раствора (Х4) и длительности выдерживания в нем резиновой крошки (Х5) на свойства вяжущего

Известно, что вулканизированная резина без размягчителей практически не растворяется в битуме, даже при длительном высокотемпературном прогреве.

В связи с этим было принято решение — исследовать возможность ис-

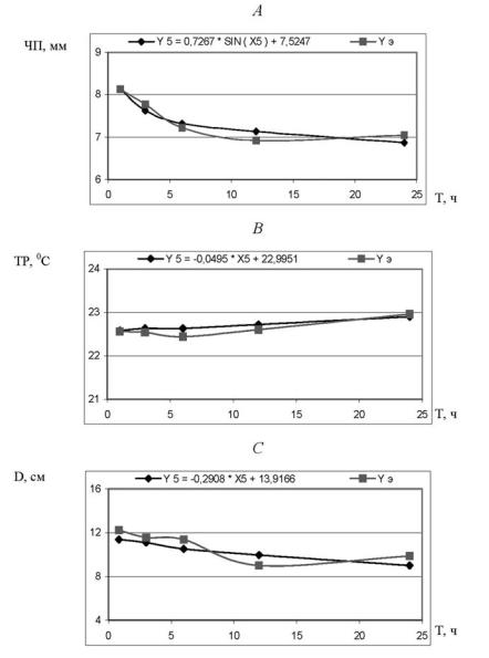
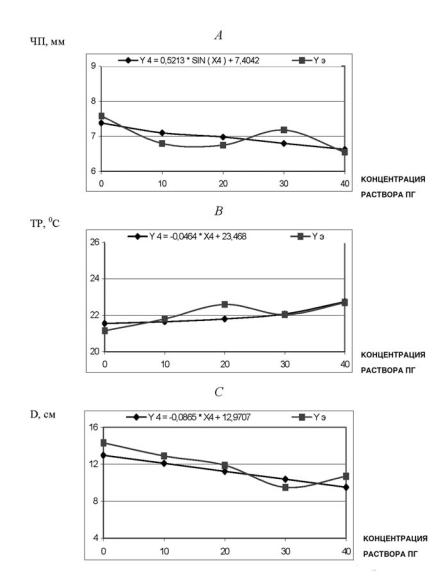
пользования в качестве размягчителя раствор глицеринового гудрона различной концентрации. Однако, как видно из рис. 2.6 и 2.7, даже наиболее концентрированный раствор глицеринового гудрона и при длительном выдерживании резиновой крошки мало эффективен в качестве размягчителя резины. Этим и объясняется незначительные изменения физико-механических свойств вяжущего.

Влияние температуры термостатирования (Х6) на свойства нефтяного гудрона

В процессе технологической переработки и при эксплуатации покрытия битум (гудрон), находясь в тонких пленках, подвергается воздействию повышенных температур и кислорода воздуха. Это приводит к необратимому изменению свойств битума, которое принято называть старением.

43

Рис. 2.6. Влияние концентрации раствора ПГ (X4) на условную вязкость (А), температуру размягчения (В) и растяжимость (С) органического вяжущего.

44

Рис. 2.7. Влияние длительности выдерживания (X5) резиновой крошки

врастворе ПГ на условную вязкость (А), температуру размягчения (В)

ирастяжимость (С) нефтяного гудрона.

45