Реферат
Розглянути питання змінення навантаження на суднову енергетичну установку на газовозі дедвейтом 25000 регістрових тон.
Надані загальні характеристики суднового пропульсивного комплексу, комплектації суднової енергетичної установки.
Виконано розрахунок робочого процесу головного двигуна «Бурмейстер і Вайн» типу Mitsui Engineering & Shipbuilding Co.Ltd - MAN B&W, 6S60MC-C.
Розглянуто питання вимоги до енергоефективності транспортних суден.Розрахована паспортна діаграма данного концепту газовоза, та розрахован коефіцієнт корисної енергоефективності при перевезенні грузу та у баласті.
Розроблені питання що до безпеки життєдіяльності при
експлуатації суднових енергетичних установок і захисту навколишнього середовища
при експлуатації суднових енергетичних установок, охоронних заходів та
цивільної оборони на судні. Виконано техніко-економічне обґрунтування проекту.
Зміст
Перелік прийнятих скорочень
Вступ
1. Короткий технічний опис судна
1.1 Вимоги до судна по перевезенню зрідженних газів
1.2 Технічний опис судна і головні розміри
.3 обґрунтування потужності головного двигуна
2. Енергетична установка
.1 Основні характеристики головного двигуна
. Вибір типу та розрахунок енергетичної установки
.1 Обґрунтування вибору типу головного двигуна
3.2 Розрахунок суднового дизеля MAN B&W 6S60MC-C
3.3 Розрахунок параметрів індикаторної діаграми
. Повірочний розрахунок допоміжних механізмів
4.3 Система охолодження
.4 Система пускового повітря
. Паспортна діаграма судна
.1 Розрахунок і побудова діаграми судна
.2 Побудова характеристики на паспортній діаграмі судна
. Вимоги до енергоефективності транспортних суден
.1 Розрахунок коефіцієнта енергоефективності для газовоза при різній осадці
.2 Оцінка коефіцієнта енергоефективності судна з ГД «Бурмейстер і Вайн» 6S60MC-C
.3 Удосконалення енергетичної ефективності СЄУ
. Безпека життєдіяльності
.1 Аналіз функції « Управління операціями судна, піклування о людя на судні на рівні експлуатації» (Конвенція ПДНВ/78 з Манільським доповненням від 2010р.)
.2 Вентиляція і кондиціювання повітря на судні
. Охоронні заходи і цивільна оборона на судні
.1 Огляд і сертифікація суден згідно з кодексом ОСПЗ
8.2 Основні документи і записи по охороні
.3 Основні положення по виживанню у піратському полоні для моряків
9. Техніко-економічне обгрунтування удосконалення експлуатації за рахунок удосконалення системи
Висновки
Перелік літератури
Додатки
Перелік прийнятих скороченнь
ВМТ - верхня мертва точка
ГД - головний двигун
ГРЩ - головний розподільний щит
ДВЗ - двигун внутрішнього згорання
ККД - коефіцієнт корисної дії
МОД - малообертовий дизель
НМТ - нижня мертва точка
ПНВТ- паливний насос високого тиску
СДУ - суднова дизельна установка
СЕУ - суднова енергетична установка
СМП - суднове мало в’язке паливо
СОД - середньообертовий дизель
ЦПГ - циліндропоршнева група
ЦПУ - центральний пост управління
ККЕ - коефіцієнт енергоефективності
Вступ
Морскі суда є одним з найбільш экономічно вигідних засобів для транспортування газа до потрібника. Основний вплив на умови эксплуатації танкеров - газовозів мають їх эксплуатаційна
эффективність, а також якості грузу і той вплив, котрий вони можуть
причинити навколишньому середовищу і людині, при аварії.
1. Короткий технічний опис судна
1.1 Вимоги до суден для перевезення зріджених газів
Основний вплив на умови експлуатації танкерів - газовозів мають властивості вантажу і той збиток, який вони можуть заподіяти при аварії навколишньому середовищу і людині.
В даний час конструктивні характеристики танкерів - газовозів мають спільну особливість - "екологічний" тип суднового корпусу і внутрішнього обладнання, що запобігає забруднення моря, що відповідає європейському стандарту "ЕЕЕ" (екологічний, економічний, європейський) танкер.
Для аналізу прийнято концептуальний проект однопалубного судна, призначеного для транспортування зрідженого газу (LNG).
Тип судна - одногвинтових, з транцевой кормою, бульбообразним носом,
чотирьох трюмних з машинним відділенням і рульової рубкою в кормі.
.2 Технічний опис судна і головні розміри
Головні розміри:
Довжина найбільша..............................................................174 м.
Довжина між перпендикулярами........................................164 м.
Ширина найбільша.............................................................. 28 м.
Висота борту на міделі..........................................................26.0 м.
Осадка специфікаційна.........................................................14.5 м.
Обсяг вантажних танків:......................................................33000 м3
Розрахункова швидкість:......................................................20.0 вузлів
Специфікаційна дальність плавання при швидкості судна 20 вузлів, дорівнює 20000 миль. Ємність паливних цистерн забезпечує можливість збільшення дальності плавання до 25000 миль за рахунок відповідного зниження вантажопідйомності.
Автономність плавання по запасах прісної води складе 40 діб, за запасами провізії - 60 діб.
Місткість вантажних танків
танк № 1 8760 м3
танк № 2 8760 м3
танк № 3 8140 м3
танк № 4 8140 м3
Всього: 33800 м3
Швидкість судна, зі свіжопофарбованих корпусом, в баласті морською водою
до осадки 14,5 м з посадкою на рівний кіль при хвилюванні не більше 2 балів і
швидкості вітру не більше 3 балів за шкалою Бофорта судно повинно мати швидкість не менш ніж 20 вузл.
.3 Обґрунтування потужності головного двигуна
У загальному випадку ефективна потужність пропульсивної
установки залежить від опору середовища рухові судна R (кН) і швидкості ходу ns (м/с):
Ne = (R ns)/ (h hвл
hпер )
де з = 0,65ч0,70 - пропульсивний коефіцієнт,
з вл = 0,96ч0,98 - ККД валопроводу;
з пер= 0,97ч0,99 - ККД передачі.
На практиці звичайно потужність пропульсивної установки
визначають по емпіричним формулам, з яких найбільш зручна формула
адміралтейських коефіцієнтів (кВт)
Ne =(DW2/3 · n3 )/ ( Ca · h DW ) ;
де DW - дедвейт судна-газовоза, т;a - адміралтейський коефіцієнт, визначений по відповідних таблицях;
n - швидкість ходу судна, вуз.
Відповідно до концептуального проекту дедвейт судна складає DW = 25000 тон.
Адміралтейський коефіцієнт Сa для такого типу суден лежить у межах Сa = 390ч625.
Для заданого типу танкеру Сa = 550; з DW = 0,7; зпер = 1,0 отримаємоe = (250002/3 *183)/(550 *0,7) = 12951 кВт.
Отримане значення ефективної потужності можливо забезпечити,
установивши на судні головний двигун судновий дизель 6S60MC-С фірми “МАН -
Бурмейстер і Вайн”, що має ефективну потужність Ne= 13560 кВт.
2. Енергетична установка
2.1 Основні характристики головного двигуна MAN B&W 6S60МС-С
Тип двигуна - двотактний, крейцкопфний, реверсивний, з
газотурбінним наддуванням, з прямоточно-клапанною системою газообміну,
розташування циліндрів рядне, вертикальне. Двигун призначений для роботи в
якості головного з прямою передачею на гребний гвинт. Завдяки перевагам
прямоточно-клапанної системи газообміну в організації робочого процесу двигун
зарекомендував себе досить економічним, з високою мірою використання об'єму
циліндрів в робочому процесі. Газотурбінний надув з імпульсним підведенням
газів до газової турбіни, з вбудованим упорним підшипником.
Таблиця 2.1 Основні характеристики головного двигуна:
Найменування параметра
Позначення
Розмірність
Величина
Діаметр циліндра
D
м
0,6
Хід поршня
S
м
2,292
Кількість циліндрів
i
6
Частота обертання колінчатого вала
n
об/хв
105
Тиск повітря після газотурбокомпрессора
pк
МПа
0,31
Тиск наприкінці стиску
pс
МПа
12,5
Максимальний тиск згоряння
pz
МПа
14,2
Середній ефективний тиск
pе
МПа
1,82
Ефективна циліндрова потужність
Nе
кВт
2040
Питома ефективна витрата палива
bе
кг/(кВт/год)
0,171
Ефективний ККД
hе
-
0,5
Для провертання головного двигуна передбачено валоповоротний
пристрій, що має дистанційний привід.
Головний двигун забезпечений двома газотурбонагнітачами.
Система змащення підшипників газотурбонагнітачів самостійна
від напірної масляної цистерни.
Дизель має один розподільний вал для приводу випускних
клапанів і паливних насосів.
Дизель має автономну систему змащення приводів паливних
насосів і випускних клапанів, а також подачі масла до гідравлічних демпфера
штовхачів випускних клапанів.
Охолодження кришок і блоку циліндрів дизеля - прісною водою,
охолодження повітря наддуву в холодильниках - забортної водою, поршні двигуна -
маслом від циркуляційної системи змащення двигуна. Передбачена можливість
охолодження кришок і блоку циліндрів забортної водою на випадок аварії
холодильника прісної води.
Дизель може працювати на цій потужності протягом однієї години з перервою
не менше 12 годин.
Розріз двигуна по робочому циліндру
надано на рисунку 2.1.
Фундаментна рама коробчастої форми
складається з високих подовжніх балок, зварених із зварно-литими поперечними
балками, в яких розміщені постели рамових підшипників із сталевого литва.
Станина зварна і має високу жорсткість; блок циліндра чавунний. Фундаментна
рама, станина і циліндровий блок стягнуті між собою довгими анкерними
зв'язками.
Втулка циліндра спирається на блок
циліндрів, причому верхня її частина виведена з блоку і охоплюється тонкою
сорочкою, що створює порожнину охолодження водою, що підводиться по свердленим
тангенціальних каналах, завдяки чому температура дзеркала циліндра на верхньому
рівні кільця при положенні поршня у верхній мертвий точці (ВМТ) не перевищує
160-180°C, що забезпечує надійність
роботи і збільшує термін служби поршневих кілець. Втулка має просту симетричну
конструкцію, в нижній частині якої розташовані продувальні вікна, рівномірно
розподілені по усьому колу. Осі каналів, що утворює продувальні вікна,
спрямовані по дотичній до кола циліндра, що створює закручування потоку повітря
при його вступі в циліндр.
Штуцера для підведення циліндрового
масла розташовані у верхній частині втулки (дещо вищий за верхню полицю блоку
циліндрів) втулки циліндра. Кришка відрізняється легкістю демонтажу.
Рисунок 2.1 Розріз двигуна Man B&W 6S60MC-C
У кришці розташовано корпус
випускного клапана з клапаном, три форсунки, а також пусковий і запобіжні
клапани. Випускний клапан має гідропневматичний привод. Гідропривід передає
зусилля поршневого штовхальника, що приводиться ось кулачкової шайби
розподільного валу, через гідросистему на поршень серводвигуна, діючого на
шпиндель випускного клапана. Для провертання клапана застосована крилатка, що
підвищує надійність їх сполучення з охолоджуваними сідлами. Клапанне гніздо
охолоджується водою. Форсунки не охолоджуваного типу, їх температура
регулюється циркулюючим паливом. Сопла виконані стелітовими і мають досить
великий термін служби.
Суцільний відлитий з чавуну ресивер
продувального повітря разом з діафрагмою охолоджується водою.
Поршень розрахований на підвищення
тиску згорання, виконаний з хромомолибденової сталі, і охолоджується маслом,
яке підводиться по телескопічному пристрою до штока поршня в районі з'єднання
крейцкопфа. У зв'язку з периферійним розташуванням форсунок днище поршня має
півсферичну форму.
Шатун має порівняно короткий
стержень, що сприяє зниженню загальної висоти двигуна.
Колінчатий вал зварного типу, складає
одне ціле з колінчатим валом, що зменшує загальну довжину двигуна з
підшипником.
Розподільний вал приводиться в
обертання від колінчатого валу ланцюговою передачею, яка добре себе
зарекомендувала в експлуатації.
Розподільний вал приводить в рух
паливні насоси високого тиску і гідравлічні приводи випускних клапанів. Паливні
насоси золотникового типу із змішаним регулюванням подачі забезпечують низькі
витрати палива.
Наддув здійснюється турбокомпресорами
з не охолоджуваними корпусами. Реверсування двигуна здійснюється без
реверсування розподільного валу.
Економічність двигуна підвищується за
рахунок утилізації тепла випускних газів в стандартизованій турбо компаундної
системі, яка пропонується в двох варіантах: газотурбонагнітач (ГТН), або
утилізаційний турбогенератор. При цьому додаткова енергія може віддаватися
гвинту або в суднову електромережу.
Остов підтримує і направляє деталі,
що рухаються, сприймає усі зусилля при роботі двигуна; є сукупністю нерухомих
деталей - фундаментної рами, картера, циліндрів зі встановленими в них
циліндровими втулками і кришок циліндрів, а також анкерних зв'язків, шпильок і
болтів, що стягують ці деталі. Для зручності монтажу остов виконують з трьома
горизонтальними роз'ємами і з колінчастим валом, укладеним в підшипники
фундаментної рами. Жорсткість його забезпечується за рахунок збільшення
перерізу подовжніх і поперечних зв'язків рами, застосування картера коробчастої
конструкції, з'єднання деталей довгими анкерними зв'язками.
Кривошипно-шатуновий механізм (КШМ)
сприймає зусилля від тиску газів і перетворить зворотно-поступальний рух поршня
у обертальний рух колінчастого валу. Основними деталями КШМ є: поршень, шток
поршня, крейцкопф, шатун, колінчастий вал. Поршень сприймає силу від тиску
газів і передає її через шатун на колінчастий вал. Днище поршня сприймає тиск і
теплоту гарячих газів, обмежує і формує камеру згорання. Поршневий шток, що
виконується з вуглецевої сталі, служить для сполучення поршня з крейцкопфом,
передачі КШМ зусилля від тиску газів на поршень.
Шатун перетворить
зворотно-поступальний рух поршня з штоком в обертальне колінчастого валу,
передає зусилля від поршня колінчастому валу; сполучається мотилевою шийкою
колінчастого валу за допомогою мотилевого підшипника і з поперечиною
крейцкопфа. Шатун піддається дії сили від тиску газів, сил інерції поступально
мас, що рухаються, і сил інерції, що виникають при гойданні шатуна. Колінчастий
вал - одна з найбільш відповідальних, дорогих і важких у виготовленні деталей.
Ефективна потужність, що розвивається дизелем, знімається з фланця колінчастого
валу. Момент, що крутить, через лінію валопроводу передається гребному гвинту.
Крутень на вихідному кормовому кінці колінчастого валу, що має велику
розрахункову масу для підтримки заданої міри нерівномірності обертання
колінчастого валу і лінії валопроводу, акумулює надлишню енергію під час
робочого ходу поршнів і віддає її в систему при інших допоміжних ходах поршня.
Механізм газорозподілу призначений
для управління процесами впускання і випуску відповідно до прийнятих фаз
газообміну; складається з робочих клапанів і деталей, передавальних рух від
колінчастого валу до клапанів, розподільного валу, роликових штовхальників,
гідроприводів випускних клапанів. Випуск газів здійснюється через клапани,
керовані механізмом газорозподіли, відкриття і закриття продувальних вікон -
верхньою кромкою днища поршня. Моменти відкриття і закриття клапанів і
продувальних вікон, що виражені в градусах кута повороту колінчастого валу
(ПКВ), називають фазами газорозподілу. Процеси газообміну здійснюються на
частини ходів розширення і стискування до і після нижньої мертвої точки (НМТ).
Діаграма має відносно симетричний вигляд по відношенню до НМТ за рахунок
наддування при постійному тиску і тривалого продування.
Паливна система забезпечує подачу
палива в робочі циліндри, вона складається з систем високого і низького тиску.
Система низького тиску призначена для
підготовки і подачі палива до системи високого тиску і включає цистерни,
фільтри, насоси, сепаратори, підігрівачі і паливо проводи. Паралельно з
витратною цистерною важкого палива система низького тиску включає, також
здвоєну цистерну дизельного палива, на якому двигун працює в період пусків,
маневрів, перед зупинкою і нерідко на малих навантаженнях.
Система високого тиску здійснює
уприскування палива в камері згорання двигуна і включає паливний насос високого
тиску і форсунку, сполучені паливо дротом високого тиску. Форсунки призначені
для вприску палива в циліндр і розпилювання його на найдрібніші краплі. Система
високого тиску забезпечує: уприскування точно дозованій циклової подачі палива;
задані фази подачі палива (початок і кінець) і характеристику уприскування, що
сприяють робочому процесу дизеля на будь-якому його експлуатаційному режимі;
якісне розпилювання палива, тобто високий його тиск перед отворами на усіх
експлуатаційних режимах дизеля, включаючи малі навантаження і холостий хід.
Система високого тиску виконана розділено розгалуженого типу. Регулювання
системи високого тиску полягає в зміні її циклової подачі, а також почала і
закінчення процесу уприскування.
Система змащення забезпечує подачу
масла до поверхонь для зменшення їх тертя, відведення теплоти, яка виділяється
при терті, а також для очищення поверхонь тертя від продуктів зносу, нагару і
інших сторонніх часток. Масло подається по втулці циліндрів, підшипників
колінчастого валу, і розподільних валів, турбокомпресорів, насосів, що направляють
клапанів, штовхальники паливних насосів і механізму газорозподілу, приводів
клапанів. Система змазщення включає масляні насоси, фільтри, кожухотрубні
водо-масляні охолоджувачі, напірні, циркуляційні, запасні масляні цистерни),
маслопроводи. Масляні насоси служать для безперервної подачі заданої кількості
масла в нагнітальний трубопровід; масляні фільтри - для очищення масла від
сторонніх включень (нагару, відкладень металевих часток). У охолоджувачах масло
віддає теплоту, відведену їм від гарячих поверхонь деталей двигуна.
Система охолодження служить для
охолодження двигунів, що нагріваються від згорання палива і від тертя, для
відведення теплоти від робочих рідин і наддувочного повітря. Вона складається з
водяних насосів, охолоджувачів, розширювальної цистерни, терморегуляторів,
трубопроводів. Водяні насоси забезпечують безперервний рух (циркуляцію) води в
системі. Охолоджувачі призначені для відведення у воду надмірної теплоти від
охолоджуваних рідин і наддувочного повітря. Розширювальна цистерна (бачок)
служить для компенсації змін об'єму води в системі внаслідок зміни її
температури, для заповнення втрат води в системі із-за витоків і випарювання, а
також видалення з системи повітря і водяної пари. Одноступінчата, багато
компресорна, ізобарна, з охолоджувачами повітря, регульована система
забезпечення повітрям призначена для подачі повітря, необхідного для згорання
палива і продування циліндра.
Система забезпечення повітрям
складається з газотурбокомпресорів, теплообмінників, сепараторів вологи, ресиверів,
повітроводів, глушників. Компресори призначені для збільшення маси заряду
повітря.
У теплообмінниках щільність повітря
міняється зміною його температури. Зниження температури продувального повітря в
рекуперативному охолоджувачі повітря сприяє зниженню витрати палива. Сепаратори
вологи призначені для відведення з охолодженого повітря конденсату водяної
пари. Однотрубний колектор служить для розподілу повітря по циліндрах двигуна.
Газовипускна система з утилізацією
теплоти забезпечує раціональне відведення газів, що відпрацювали в циліндрі.
Система газовідводу складається з випускних колекторів, газових турбін,
газоходів (трубопроводів). Випускний колектор призначений для відведення з
циліндрів газів, що відпрацювали, з максимально можливим збереженням їх
енергії, сприяє відчистці циліндрів від залишкових газів. Газові турбіни
перетворюють механічну енергію газів для приводу повітряного компресору.
Система управління з керованими пусковими клапанами, заміною кулачкових шайб
переднього ходу шайбами заднього ходу, командним зв'язком і змішаного типу
призначена для пуску і зупинки двигуна, зміни напряму і частоти обертання
колінчастого валу. Пристрій запуску призначений для приведення двигуна в дію.
Механізм реверсування забезпечує чергування і зміни фаз розподілу органів
пуску, газорозподіли, подачі палива.
3. вибір типу та розрахунок енергетичної
установки
.1 Обґрунтування вибору типу головного
двигуна
Робочий цикл ГД внутрішнього згорання характеризується
послідовністю процесів, що протікають у циліндрі, якими є: наповнення,
стиснення, згорання, розширення, випуск, продування.
Процес наповнення забезпечує надходження в циліндр свіжого
повітря. В результаті процесу газообміну (що складається з випуску, продування
і наповнення) циліндр очищається від продуктів згорання і наповнюється
повітрям, яке використовується як окислювач при згоранні палива в черговому
циклі. Основним кількісним критерієм для оцінки ефективності наповнення
циліндра повітрям є коефіцієнт наповнення н - відношення
маси повітря, що залишилося в циліндрі на початок стиснення, до такої його
теоретичній масі, яка могла б поміститься в робочому об'ємі циліндра при
параметрах, що характеризують стан повітря перед циліндром. Для сучасних
суднових МОД ця величина лежить в межах н=0,850,91. Кінець процесу наповнення
характеризується крапкою а на індикаторній діаграмі.
Завданням процесу стиснення в циклі є підвищення температури
заряду до значення, достатнього для забезпечення надійного самозапалювання
палива, що упоркснутє в циліндр. Параметрами процесу стиснення є ступінь
стиснення , а також показники робочого тіла в кінці стиснення -
температура Tc і тиск pc. Ступенем стиснення є відношення
об'ємів на початку і в кінці процесу стиснення. Її величина для довгоходових
дизелів досягає величина =1717,5. Кінець процесу стиснення оцінюється крапкою с на
індикаторній діаграмі.
В процесі згорання палива в циліндрі різко підвищуються тиск
і температура, досягаючи своїх максимальних величин - pz і Тz.
Ці величини є основними для визначення теплової і механічної напруженості
роботи дизеля. Кінець процесу згорання характеризується точкою z на
індикаторній діаграмі.
Продукти згорання в циліндрі розширюється при русі поршня від
верхньої мертвої точки (ВМТ) до ніжній (НМТ) в перебігу такту, званого робочим
ходом (розширенням). Основними параметрами процесу розширення є тиск рв і
температура Tв в кінці розширення, що характеризуються точкою b на
індикаторній діаграмі.
Процес випуску продуктів згорання з циліндра і продування
циліндра для двотактного дизеля відбувається за невеликий часовий інтервал, що
характеризується відкриттям випускного клапана і продувальних вікон. Основним
параметром процесу випуску є кут передування газовипуску в-
положення радіусу кривошипа відносно НМТ, коли відкривається випускний клапан.
За допомогою кута передування газовипуску в можливо
регулювати параметри відходящих газів (температуру і тиск) для їх ефективнішого
використання як в циліндрі дизеля, так і в газотурбокомпресорі.
У цілому робочий процес у циліндрі дизеля оцінюється
енергетичними та економічними показниками роботи двигуна. До першої групи
відносяться ефективний тиск у циліндрі ре і ефективна потужність
циліндра Nец (чи дизеля взагалі Nе). До другої - питома
витрати палива bе і ефективний коефіцієнт корисної дії е.
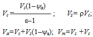
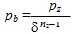
Послідовність розрахунку робочого процесу дизеля 6S60МС-С8 і параметрів розрахункової
індикаторної діаграми приведені в таблиці 3.2, вихідні дані для розрахунку
беруться по технічним характеристикам дизеля.
.2 Розрахунок суднового дизеля MAN B&W 6S60MC-C
Таблиця 3.1- Розрахунок робочого процесу суднового дизеля
Найменування параметра, розрахункова формула
Позначення
Розмірність
Вихідна величина або результат розрахунку
Примі.
1.
Початкові параметри Вихідні дані: ефективна
потужність частота обертання діаметр циліндра хід поршня робочий обсяг
циліндра Vs=
(pD2 / 4) S коефіцієнт тактності
кількість циліндрів
Neн n D S Vs z i
кВт об/хв м м м3
12240 105 0,6 2,292 0,648 1 6
2.
Середній ефективний тиск, який необхідно забезпечити
в результаті розрахунку peн = Neн (60 * 10 -3 ) Vs z i n
peн
МПа
1,816
3.
Тиск і температура навколишнього середовища
pо То
МПа К
0,101 303
4.
Тиск стиску повітря в компресорі (абсолютне)
рk
МПа
0,31
5.
Показник політропи стиску повітря в компресорі
nв
1,85
6.
Коефіцієнт надлишку повітря
a
2,55
7.
Загублена частка ходу поршня
ya
0,04
8.
Ефективний ступінь стиску
ec
15,2
9.
Максимальний тиск згоряння
pz
МПа
14,2
10.
Коефіцієнт залишкових газів
gr
0,03
11.
Температура залишкових газів
Тr
К
720
12.
Механічний ККД
hm
0,92
13.
Коефіцієнт використання теплоти в точці z
індикаторної діаграми
xz
0,94
14.
Нижча теплота згоряння масло
Qн
кДж/кг
42100
15.
Процес наповнення тиск повітря в ресивері ps=xs s pk
ps
МПа
0,306
xs = 0,98
16.
Тиск у циліндрі на початку процесу стиску pa=xa a ps
pa
МПа
0,302
xа = 0,97
17.
Температура повітря на виході з компресора Тk =То
(pk (nв-1)/ nв ) / рo
Тk
K
507
18.
Температура повітря в ресивері Тs =Тk
- DТx
Тs
K
315
Тx= 192 K
19.
Температура заряду в циліндрі наприкінці процесу
наповнення Тa=
Тs + DТs + gr Тr) / 1+ gr
Тa
K
334
DТs=7 K
20.
Коефіцієнт наповнення, віднесений до корисного
робочому обсягу ec pa Тs 1-ya hн= ---- ----- ----- ec -1 ps Тa
1+ gr
hн
0,93
21.
Процес стиску показник політропи стиску 1 n1=1+----------
2,339+3,078×10-4Тa(ec n1-1+1)
n1
1,367
22.
Тиск у циліндрі наприкінці процесу стиску pc = paecn1
pc
МПа
12,47
23.
Температура наприкінці стиску Tc = Taec n1-1
Tc
K
907
24.
Процес згоряння Теоретично необхідна кількість
повітря для згоряння 1 кг масло
Go
кг/кг
14,28
25.
Дійсна кількість повітря для згоряння 1 кг масло G =
aGo
G
кг/кг
36,42
26.
Коефіцієнт збільшення маси заряду m = 1+ 1/ (1+ gr )aGo
m
1,026
27.
Середня питома ізобарна теплоємність суміші повітря
й залишкових газів Cрс = 0,9582 + 0,8834*10-4 Тс
Cрс
кДж кг К
1,038
28.
Ступінь підвищення тиску при згорянні l = рz / рс
l
1,14
29.
Температура робочого тіла наприкінці процесу
згоряння Тz
= (1/
т Cрz)((m -1) xz Qн + + (Cрс + Rс
(l - 1) Тс))
Тz
K
1682
30.
Середня питома ізобарна теплоємність продуктів
згоряння Cрz=(0,9727 + 0,1274*-1) + + (0,97 - 0,1298*-1)* 10-4 Тz
Cрz
кДж кг К
1,106
31.
Процес розширення ступінь попереднього розширення r = m Тz/ l Тс
r
1,67
32.
Ступінь наступного розширення d
9,09 Показник політропи розширення газів у циліндрі
n2=0,487xz +0,852
n2
1,31
34.
Тиск у циліндрі наприкінці розширення рb
MПа
0,789
35.
Температура газів наприкінці розширення Tb
K
849
36.
Індикаторні показники Середній індикаторний тиск,
віднесений до корисного ходу поршня pi
MПа
1,974
i=1,06
37.
Індикаторний ККД дизеля i
0,542
38.
Індикаторна потужність дизеля Ni
кВт
13303
39.
Питома індикаторна витрата масло bi
кг кВт×год
0,158
40.
Годинна витрата масло Вч= Ni bi
Вч
кг/год
2096
41.
Ефективні показники середній ефективний тиск pе = pi
hm
pе
MПа
1,816
42.
Розбіжність заданого по прототипі (необхідного за
умовами завдання) і отриманого в результаті розрахунку значень середнього
ефективного тиску dp
%
0,01
43.
Питома ефективна витрата палива bе= bi /зm
bе
кг кВт*год
0,171
44.
Ефективний ККД зе
0,499
45.
Ефективна потужність двигуна Ne= Ni зm
Ne
кВт
12238
46.
Розбіжність розрахункової й заданої (номінальної)
ефективної потужності N
%
0,01
47.
Розрахунок індикаторної діаграми Обсяги циліндра в
характерних точках індикаторної діаграми (у точках с, z, а), також у нижній
мертвій точці (точці m) Vc Vz Va Vm
м3 м3 м3 м3
0,0438 0,073 0,666 0,692
48.
Розрахунок точок зміни тиску по політропі стиску рст
МПа
Розрахунок виконаємо у вигляді таблиці 3.2
49.
Розрахунок точок зміни тиску по політропі розширення
рроз
МПа
50.
Кут попередження газовипуску
jв
град
55
51.
Хід поршня від ВМТ до початку газовипуску Sв
м
1,899
lш= 0,345
52.
Дійсні значення параметрів робочого тіла в точці b: обсяг Vbи рbи Тbи
м3 МПа К
0,580 0,944 886
3.3 Розрахунок
параметрів індикаторної діаграми
Таблиця 3.2 -
Розрахунок параметрів індикаторної діаграми
Відношення обсязів Vа /Vх
Поточні значення обсягу Vх, м3
Поточні значення тиску
на лінії стиску, МПа на лінії розширення, Мпа 1
0,666
0,302
0,789
1,5
0,461
0,526
1,342
2
0,333
0,779
1,956
3
0,222
1,356
3,326
4
0,166
2,01
4,849
5
0,133
2,728
6,495
6
0,111
3,5
8,246
7
0,095
4,322
10,09
8
0,083
5,188
11,86
9,09
0,073
6,174
14,2
10
0,067
7,039
12
0,055
9,032
15,2
0,044
12,48
Значення середнього індикаторного тиску, певного по
індикаторній діаграмі:iд = 1,975 МПа.
Розбіжність значень середнього індикаторного тиску,
розрахованого аналітично й певного по індикаторній діаграмі:
Згідно з Правилами на суднах передбачається не менше двох витратних
цистерн важкого палива. Кожна з цих цистерн повинна забезпечити роботу
обслуговуючих механізмів або споживачів на максимальному режимі не менше 20
годин. Обсяг систем розраховуємо за формулою:
де ge = 0,17
кг/кВт×г - питома ефективна витрата палива;
Ne = 14280 кВт - номінальна потужність ГД;
gr = 1010 кг/м3 - щільність палива;
t годин - час роботи двигуна від однієї цистерни.
На
судні встановлено дві витратні цистерни важкого палива. Об’єм кожної цистерни 51.1 м3.
Передбачена робота будь-якого головного двигуна від будь-якої цистерни.
Продуктивність паливних сепараторів визначається з умови сепарації добової
витрати палива за 8 -12 годин.
c
- обороти ГД, об / хв.
На судні встановлено два сепаратора важкого палива продуктивністю 3,9
м3/г.
4.2 Масляна система
Об’єм цистерн масла вибрано з розрахунку витрати 0.136 м3 на 1000 кВт
потужності СЕУ.
Продуктивність кожного масляного насоса ГД:
где Qт - тепло, що відводиться від поверхонь змащення маслом;
gм = 920 кг/м3 - питома вага
масла;
Gм = 1,88 кДж/кг×град - питома теплоємність масла;
Dt = 5°С - перепад температури масла.
где
Звідси
На судні встановлено два масляних насоси продуктивністю по 285 м3/г на
ГД. Кількість масла в даній циркуляційної системи:
где k = 1,3 - коефіцієнт спінювання;
m = 20 - кратність
циркуляції
Продуктивність масляного сепаратора вибираємо з розрахунку пропускання
через нього за 1-3 години всього масла циркуляційної системи.
На судні встановлено два сепаратора масла продуктивністю 5 м3/г.
Продуктивність насоса прісної води охолодження ГД визначається за
формулою:
где k = 1,2 - коефіцієнт запасу подачі;
Продуктивність насосів встановлених на судні 680 м3/г. Продуктивність
насоса забортної води розраховуємо за формулою:
где aзв = 0,2 - частка тепла відведеного
забортної водою від усієї кількості теплоти, що виділяється при згорянні
палива;
.4 Система пускового повітря
Для пуску головних і допоміжних двигунів транспортних суден
до складу системи включаються балони стиснутого повітря, тиск яких становить
2,5-5 МПа.
Згідно Правил Регістра, повітря повинно зберігатися у двох
балонах, кожний з яких містить не менш половини необхідного запасу повітря.
Запас повітря повинен бути достатнім для шести послідовних
пусків ГД.
Сумарна місткість балонів пускового повітря:
де де n - число циліндрів ГД;
D - діаметр циліндра, м;
S - хід поршня, м.
На судні встановлено два балони пускового повітря по 13,5 м3
кожний.
судно енергетичний двигун груз
5. Паспортна діаграма судна
.1 Розрахунок і побудова паспортної діаграми судна
Розрахунок і побудова паспортної діаграми зв'язано з
використанням значної кількості показників і залежностей, які можуть бути
отримані за результатами натурних іспитів судна і його енергетичної установки
або за допомогою розрахунків на підставі величин, що характеризують елементи
гребного гвинта, корпуса судна і ГД. Побудова паспортної діаграми за
результатами натурних іспитів являється практично не здійсненною, тому що
вимагає значної кількості іспитів для різних умов плавання судна (при різних
посадках, швидкостях, частотах обертання гребного гвинта і т.п.). Ця задача
надзвичайно трудомістка. З іншого боку, побудова паспортної діаграми,
ґрунтуючись тільки на результатах розрахунків, може привести до істотних
неточностей, тому найбільше доцільно будувати паспортну діаграму за даними
розрахунку, у якому використовуються наявні матеріали іспитів судна.
Основні дані судна і гідродинамічні характеристики гребного
гвинта для розрахунку візьмемо з другого розділу даного проекту.
Гідродинамічні характеристики гребного гвинта:
Діаметр гребного гвинта Дв 6,3 м
Крок гвинта Н 5,2м
Число лопастей Z 4
Крокове відношення Н/Дв 0,72
ККД лінії валопроводу зв 0,98
Коефіцієнт повноти корпуса судна визначається по формулі:
де V = ∆/с = 12000 / 1,025 = 11707 м3 - об'ємна
водотоннажність судна у вантажу; =165 м - довжина судна між перпендикулярами;=
28 м - ширина судна по міделю;
ТГ = 10 м - осадка судна по вантажну марку;
с = 1,025 т/м3 - густота морської води.
Приймаємо за базовий - номінальний режим роботи пропульсивного
комплексу по вихідним паспортним даним. Визначаємо коефіцієнт побіжного потоку
щ і засмоктування t по формулах:
Обчислюємо величину відносного ходу гребного гвинта на прийнятому
номінальному режимі:
Вибираємо кілька значень лр, при цьому одне
значення лр беремо більше визначеного, а два значення лр
менше його, з обліком того, щоб охопити весь можливий діапазон режимів роботи
пропульсивного комплексу:
По кривих дії гребного гвинта визначаємо безрозмірні коефіцієнти упора
К1 і моменту К2 для кожної обраної величини лр.
Задаємося поруч значень частоти обертання гребного гвинта nc,
починаючи з величини nс = 0,7...0,8 ncн до повного ходу ncп.х=
nсн, з охопленням усього поля можливих навантажених режимів роботи
ГД, nсн - частота обертання гребного гвинта на номінальному режимі
ГД.
Для всіх обраних значень відносної ходи й частоти обертання
гребного гвинта (головного двигуна) розраховуємо швидкість судна н в вузлах по
формулі:
А також величину корисної тяги гвинта, використовуючись рівнянням
теорії руху:
І ефективну потужність головного двигуна, з огляду на втрати потужності
у валопроводу через звл:
Усі обчислення зводимо в таблицю 5.1.
Таблиця 5.1 - Розрахунок для побудови паспортної діаграми
Позначення
Спосіб визначення
Розмірність
Задається не менш 4-ох значень
nc об/с
Відносна хода лр
0,42
0,52
0,55
0,65
К1=f(лр)
По кривих дії гребного гвинта
-
-
0,17
0,13
0,12
0,09
К2=f(лр)
По кривих дії гребного гвинта
-
-
0,023
0,019
0,018
0,015
н
1,4
10,64
13,18
13,9
16,47
1,575
11,98
14,83
15,68
18,53
1,75
13,3
16,47
17,42
20,59
Ре
1,4
442,8
338,86
312,6
234,4
1,575
560,5
428,6
395,6
296,7
1,75
692
529,1
488,4
366,3
Ne
1,4
8213
7015
6163
5973
1,575
8621
7613
7215
6429
1,75
9343
9031
8101
7758
Таблиця 5.2 Залежність швидкості і ефективної потужності ГД
згідно с паспортної діаграми
Тяжелый винт/груз
N1=1.225
N2=1.4
N3=1.575
N4=1.75
V,узл
16,51
17,42
19.2
19.3
Ne
9718
10643
11981
12031
Легкий винт/Балласт
N1=1.225
N2=1.4
N3=1.575
N4=1.75 16.51
17.42
19,2
19,3
Ne
5687
6854
7251
7468
За результатами розрахунку будуємо графіки зміни ефективної
потужності ГД Ne=ѓ3(х, nc) і корисної тяги
гребного гвинта Ре =ѓ2(х, nc) у залежності від швидкості
судна при обраних постійних частотах обертання гребного гвинта (рис 7.1, рис
7.2).
Вибираємо осі координат. На осі абсцис відкладаємо швидкість
судна у вузлах, починаючи з першого меншого значення визначеної розрахунком
швидкості, до швидкості повного ходу у вантажу.
На осі ординат вище осі абсцис відкладаємо величину
ефективної потужності, починаючи з меншого розрахункового значення, до Ne =
1.1Neн.
Нижче осі абсцис відкладаємо на осі ординат величину корисної
тяги від мінімального до максимального розрахункових значень.
Графіки зміни Ne=ѓ3(х, nc) і
Ре=ѓ2(х, nc) строїмо для прийнятих постійних значень nc=const
і для постійних значень лр=const. Для чого по прийнятих постійних
значеннях nc=const на осі абсцис відкладаємо величину швидкості х
для кожної заданої лр, а на осі ординат відповідну величину
потужності. По точках перетинання ординат Ne і абсцис х будуємо
криві зміни потужності, при nc=const для різних прийнятих значень лр.
З'єднуючи точки, що відповідають значенням потужності для постійних величин
відносного ходу лр=const, одержуємо залежності зміни потужності по
гвинтових характеристиках.
Методика для побудови кривих Ре=ѓ2(х, nc)
при nc=const і лр=const аналогічна вище приведеної. У
результаті виходить сітка кривих, що охоплює основний діапазон навантажених
режимів роботи ГД.
5.2 Побудова характеристики на паспортній діаграмі судна
Для визначення області припустимих режимів роботи ГД і
пропульсивного комплексу в цілому на паспортну діаграму наносяться обмежувальні
характеристики по моменту, що крутить, Ме і частоті обертання
гребного валу nc.
Двигун вважається перевантаженим, якщо він працює в режимі,
що перевищує номінальну ефективну потужність Nен коли момент, який
крутить Ме або частота обертання вала nс виходить за межі
номінальних значень.
Визначимо припустимий номінальний момент, що крутить:
Для нанесення на паспортну діаграму обмежувальної
характеристики для Ne при Mен=const, виходячи з лінійної
залежності зміни потужності, потрібно визначити дві точки на діаграмі. Одна
точка відповідає номінальному режимові, а друга точка може бути визначена для
будь-якої частоти обертання по формулі:
Для побудови обмежувальної характеристики на діаграмі Ne =
f(н;nc) потрібно визначити два значення Ne при Meн
= const пряма лінія АВ.
Першу точку А беремо для номінального режиму Neн = 6550 кВт
і nсн= 2,47 об/с.
Знаходимо наступну точку В при nc = 2,22 об/с, для чого
обчислюємо Neв при Meн = const: При роботі двигуна в режимі так званого "легкого" гвинта
(наприклад, при менших осадках судна), коли лр > лрн =
0,42, обмежувальною характеристикою служить залежність
зміни Nе при постійній номінальній частоті обертання nсн =
const (на діаграмі лінія nсн = 2,47 об/с правіше точки А).
З графіка Ne = f(н;nc) положення обмежувальних
характеристик (точки А і В) переносимо на діаграму зміни Рe = f(н;nc),
одержуємо точки Аґ і Вґ відповідно, через які проходить межа досяжної корисної
тяги, а також межею служить лінія зміни Рe при досягненні ncн.
6. Вимоги до енергоефективності транспортних суден
.1 Додаток до Конвенції МАРПОЛ. Розрахунок коефіцієнта
енергоефективності для газовоза при різній осадці
У 2000 р. в міжнародну конвенцію МАРПОЛ додано Додаток VI
"Правила запобігання забруднення атмосфери з суден", у якому
містяться вимоги, що обмежують викиди NOx, SOx, летких органічних сполук та ін.
При цьому залишався відкритим питання, як обмежити викиди вуглекислого газу,
який є одним з парникових газів (у 2007 р. частка викидів СО2 від світового
судноплавства становила 3,3 % від усіх світових викідів [1]).
Рис.6.1 Прогноз збільшення рівня викидів СО2
За прогнозами до 2050 року викиди СО2 можуть збільшиться в 3 - 5 разів. Викиди СО2 не вдається регулювати шляхом зміни
умов згоряння палива в циліндрах дизеля, як це робиться для зменшення викидів NOх, і попередньої очистки палива, як це
робиться для зменшення викидів SOx. При спалюванні палива викидається певна
кількість СО2, що постійно для кожного типу
палива. При спалюванні палива менше забруднювати атмосферу буде те судно, яке
для виконання тієї ж транспортної роботи спалює менше палива, так як має пряму
більшою енергетичною ефективністю. Енергетична ефективність оцінюється за допомогою спеціально
введеного конструктивного коефіцієнта енергоефективності (ККЭЭ) - Energy Efficiency DesignIndex (EEDI).
1 липня 2012 р. були прийняті поправки до Додатка VI до МАРПОЛ щодо правил запобігання
забрудненню повітряного середовища з суден (MEPC.203(62)): додано нову главу 4 "Правила
енергоефективності для суднів".
Згідно з цими правилами для кожного нового судна обчислюється досяжний ККЕЕ ("Attained EEDI"). Він повинен бути менше або
дорівнює необхідному ККЕЕ ("Required EEDI"). Необхідний ККЕЕ
обчислюється в залежності від типу судна идедвейта з урахуванням редукційного
коефіцієнта, який поступово посилюється аж до 2025 р. [2].
Досяжний ККЭЭ необхідно обчислювати для судна, контракт на будування якого заключено 1 січня 2013 р., або кіль якого закладений 1 липня 2013 р.,
або поставка якого здійснюється 1 июля2015 р. або після цих дат відповідно. Для
суден середніх розмірів ККЕЕ, до
яких відносяться і судна змішаного плавання (СЗП),наприклад, для танкерів
дедвейтом від 4000 до 20000 т і для судів дляперевозки генеральних вантажів
дедвейтом від 3000 до 15000 т будетприменяться з 1 січня 2015 р. Досяжний ККЕЕ обчислюється згідно методики, наведеної в резолюції MEPC.212(63) [3]. Аналіз ККЕЕ
виконується для навалочних суден,
танкерів, газовозів, контейнеровозів, буксирів c 2005р. Класифікаційні суспільства впроваджують вимоги по енергоэффективності у свої правила, у вітчизняному
суднобудуванні увагу цьому питанню уділяється явно недостатньо. Важливим для
судновласників є аналіз ККЕЕ для
вантажних суден, щоб відповісти на питання, наскільки ці судна
соответствуютвводимым вимогам МАРПОЛ з енергоефективності.
Для аналізу енергоэффективності суден нового
покоління застосовується формула для ККЕЕ згідно [4], г/(т•миля)
Таблиця 6.1 Розрахунок ЕЕDІ для судна у баласті і з максимально
заповненими трюмами
Capacity
V,узл
Ne
EEDI
32000
16,51
9718
9,79
32000
17,42
10643
10,16
32000
19,2
11981
10,38
32000
19,3
12031
10,37
5000
16,51
5687
36,68
5000
17,42
6854
41,9
5000
19,2
7251
40,22
5000
19,3
7468
41,21
де
P - потужність головного двигуна (ГД), кВт; - питома витрата палива, г/(кВт·ч);
F- коефіцієнт викідів СО2 (див. табл. 1
[4]);- дедвейт для грузових суден, валова місткість для пасажирских суден), т; - швидкість судна, вузли.
Чисельник в
цій формулі представляє собою викиди СО2, г, а знаменник -
транспортну роботу, т·миля.
Розрахунок досяжного ККЕЕ
суворо регламентовано. Основний вплив на результат надають наступні
вихідні дані: швидкість судна, дедвейт, потужність ГД і питома витрата палива
ГД.
Також враховується витрата палива на дизель-генератори
(потужність яких приймається в розмірі 5 % потужності ГД), наявність
валогенератора і льодових посилень, застосування інноваційних технологій
підвищення енергетичної ефективності, кубічна місткість для хімовозів і
газовозів і т.п. Швидкість і питома витрата палива для ГД повинні визначатися
при 75 % максимальної тривалої потужності (МТП), а дедвейт і швидкість при
осадкі в воді щільністю 1025 кг/м3 по літню вантажну ватерлінію
(ЛГВЛ). Згідно резолюції MEPC.214(63), огляд і
сертифікація ККЕЕ повинна здійснюватися у два етапи.
Рисунок 6.2 Стратегія зменшення викидів ККЕЕ
1. Попередня перевірка - розрахунок технічної документації досяжного
значення ККЕЕ. В документації повинна бути
діаграма залежності швидкості судна від потужності ГД при осіданні по ЛГВЛ. При
цьому для суднів, до яких застосовується правило 21
Додатка VI до МАРПОЛ (тобто необхідно обчислювати ККЕЕ), діаграма швидкості судна ґрунтується на результатах
модельних випробувань - буксирувальних, самохідних і випробуваннях гребного
гвинта у вільній воді, проводяться в присутності представника Адміністрації. Числові розрахунки
застосовуються замість випробувань гребного
гвинта у вільній воді.
2. Перевірка на ходових випробуваннях. Потужність ГД визначатися на валу
за методом, рекомендованим виробником ГД і схваленим Адміністрацією. Інші
методи можуть бути застосовані за умови згоди судновласника, суднобудівника і Адміністрації. За результатами вимірювання
швидкості і потужності будується діаграма залежності швидкості від потужності
ГД. Якщо вона
відрізняється від діаграми швидкості судна, отриманої при проектування судна,
то досяжний ККЕЕ повинен бути перерахований. Також
при перерахунку повинен бути врахований реальний дедвейт.
Рисунок
6.3 Залежнысть EEDI(V) у
баласті
Рисунок 6.4 Залежність EEDI(V), при заповнених трюмах
6.2 Оцінка коефіцієнта енергоефективності судна з ГД
«Бурмейстер і Вайн» 6S60MC-C
Оцінка проектного коефіцієнта енергоэфективності судна
Відповідно до
вимог правила 21 Доповнення VI МАРПОЛ повинна виконуватись умова. По данним регістру:
досяжний ККЕЕ ≤ необхідний
ККЕЕ = (1- X/100) ·a·b-c,
где X - редукційний коэффицієнт для періоду експлуатації 2013-2014 відповідає значенню X=0, а параметри a=174, b=12 240, с =0,201, що дозволяє визначити значенння необхідного ККЕЕ =(1- X/100) ·a·b-c= 26.
Значення досяжного ККЕЕ розрахуємо по формулам:
где CF - коэффіцієнт перетворення між витратою палива
двигуна, г, і викидами СО2,
г, приймаємий по табл. 3.1, індекси ME і AE віносяться до головних і допоміжних двигунів відповідно.
Таблиця 6.2 - Данні по викидам СО2
Тип палива
Марка палива
Зміст вуглецю
CF
Дизельне/газойль
DMX - DMB по ISO 8217
0,8744
3,206
Легке рідке
паливо (мазут флотский)
RMA - RMD по ISO 8217
0,8594
3,151
Важке рідке паливо
RME - RMK по ISO 8217
0,8493
3,114
Зріджений нафтовий
газ (LPG)
Пропан/бутан
0,8182/0,8264
3,0/3,03
Зріджений природний газ (LNG)
0,75
2,75
Для дизельної
установки CF = 3,114 при роботі ГД на важкому паливі;ref -
швидкість судна на глибокій воді, при максимальній проектній осадці и потужності на
валу, Vref = 20 вузлів; - для суден перевозки генеральных грузов це дедвейт ( dwt), т; PME - максимальна довга потужність ГД;PTOmad - максимально
допустима потужність, меньша з PPTOи PАЕ, кВт;ME - потужність ГД, PME =0,75(MCRME - PPTOmad)=
0,75·12240 = 9180 кВт;ME -
максимально довга потужність ГД 10000 кВт; ME - кількість ГД, один; PTO - потужність
валогенератору, кВт, PPTO= 0,75PPTOnom,
кВт;PTOnom - номінальна потужність
валогенератору, кВт; PTOmad - максимально допустиме віднімання потужності ГД, рівне меньшому из PPTO та PAE,
кВт; PTI
- потужність ГД на валу, кВт; eff - потужність інноваційнної механічної енергоефективної технології для приведення в рух при 75 % потужністі ГД, кВт;AEeff - зменьшення потужності внаслідок інноваційнної електричної енергоефективної технології при
PME, кВт; AE -
потужність допоміжних двигунів в ходовому режимі,
кВт, для суден з підсумковою потужністю ГД меньше 10000 кВт
ME - питома
витрата палива ГД при 75% МДМ (із затвердженого технічного файла по NOх),
3641000/12240·2 = 171 г/(кВт*ч); AE - питома витрата палива ДГ при 50 %
МДМ (із затвердженого файла по NOх),
г/(кВт*ч); j - поправочний коефіциєнт, що враховує конструктивні особливості судна;W - безразмірний коефицієнт, що враховує зменшення швидкості в звичайних погодних умовах (при розрахунку Досяжного ККЕЕ fW =1);
feff - коефіцієнт готовності інноваційної енергоефективної технології (для систем утилізації енергії приймається рівним 1,0);
- коефіцієнт вантажовмісткості, що враховує необходність виконання яких-небуть технічних або нормативних обмежень вантажомісткості судна (приймається рівным 1,0, якщо не доказана необходність введення іншого значения цього коефіцієнта;c -
поправочний коефіциєнт на кубчну місткість, приймаєтся рівным 1,0, якщо не доказана необхідність введення цього коефіцієнту.
Таблиця 6.3 - Поправочні коефіцієнти
Тип судна
k1
k2
Льодовий класс
Arc4
Ice3
Ice2, Ice1
k3
k4
k3
k4
k3
k4
Танкер
0,308
1,920
0,27
0,21
0,45
0,13
0,70
0,06
Судно для перевозки генеральних вантажів
0,0227
2,483
0,43
0,12
0,56
0,09
0,67
0,07
Таблиця 6.4 - Визначення поправочного коефіцієнту
Тип судна
k5
k6
Льодовий клас
Arc4
Ice3
Ice2, Ice1
k7
k8
k7
k8
k7
k8
Танкер
0,00138
3,331
1,71
-0,08
1,74
-0,06
1,27
-0,04
Судно для генеральних вантажів
0,0377
2,625
1,77
-0,08
1,51
-0,06
1,28
-0,04
Контейнеровоз
0,1033
2,329
1,71
-0,08
1,47
-0,06
1,27
-0,04
Газовоз
0,0474
2,590
2,10
-0,12
1,60
-0,08
1,25
-0,04
Значення f j,min и f j0 вычисляются
в соответствии с табл. 1.2 и табл. 1.3 (п.2.5.8
МEPC.212(63)) в залежності від типу
судна и льодового класу, де k1= 0,308,
k2 = 1,92.
При роботі ГД на мазуті значення коефіцієнта
енергоефективності (ККЕЕ) - Energy Efficiency Design
Index складає
Як
видно отримане значення розглянутого в роботі судна задовільняє вимогам по ККЕЕ по проектному значеню цього параметра, що відповіддає вимогам класифікаційних документів по цьому показнику. Все це повино бути враховано при
подальшому серійного будівництва суднів такого типу.
Однак, є
ряд невирішених питань по енергоефективності судна такого типу. Наприклад, можливе підвищення ККЕЕ шляхом зниження потужності ГД при умові збереження безпеки судноплавства, при несприятливих кліматичних умовах. Для цього необхідно забезпечити ефективну потужність відповідно до умов по управлінню судновою енергетичною установкою.
.3 Удосконалення енергетичної
ефективності СЕУ
Основними шляхами підвищення ККЭЭ є наступні:
збільшення дедвейту судна. Хоча збільшення дедвейту вимагає
збільшення потужності ГД, але остання збільшується приблизно пропорційно
дедвейту в ступені 2/3, що призводить до зменшення ККЕЕ. При цьому слід враховувати, що для
суден з більшим дедвейтом застосовуються більш суворі вимоги в відношені ККЕЕ;
- зниження швидкості. Це значно знижує необхідну потужність
ГД, яка знаходиться у кубічної залежності
від швидкості. Для даного типу суден знаходиться в межах 20 - 25
(зазвичай 20 вузлів);
застосування нових технологій для підвищення
енергоефективності силової установки без зміни дедвейту і швидкості судна.
Приклад такого рішення - розробка ситеми управлінням СЕУ судна з гранично
високим значення коефіцієнта. У ході таких досліджень необхідна спеціально розроблена модель СЕУ з
системою контролю потужності ГД на
валу. Для дослідження характеристик СЭУ судна також необхідна модель
корпусу судна з урахуванням характеристик контуру потужності ГД з урахуванням зміни оборотів на валу
двигуна. Це дозволить, крім виконання традиційних
функцій управління - стабілізації, виведення ГД на заданий режим і корекції
параметрів управління під дією вітру і хвилювання, пристосувати системи
управління СЕУ до вирішення наступного завдання:
підтримка постійної швидкості, яка встановлюється в
залежності від навантаження;
установка обертів гвинта з найменшою витратою палива для
заданої швидкості судна;
підтримання постійної витрати палива.
Алгоритм розв'язання завдань з економії палива є
інтелектуальною власністю корпорацій і фірм, які не продаються і не
розголошуються. Залишаються відкритими системні питання зменшення питомої
витрати палива на суднах з енергетическими установками. Аналіз технічних рішень показує, що
зниження витрати палива за спеціально введеного конструктивного коефіцієнту енергоефективності формує два основних напрямки:
- скорочення витрат енергії (отже, витрата палива в цілому по судну);
підвищення економічності енергетичної установки.
Перший напрямок пов'язаний з оптимізацією проектних рішень по
судну в цілому (на проектному рівні - відпрацювання форм обводів корпусу,
раціональний вибір проектної швидкості руху, поліпшення пропульсивного КПД
рушіїв та ін). Другим
напрямом є підвищення ефективності управління ГД. А
як наслідок, як і раніше, актуальним завданням другого напрямку залишається
контроль потужності.
Для досягнення поставленої мети, у роботі вирішується
завдання по управленню потужності на валу двигуна, яка базується на єдності
оцінки економії палива і збереженні необхідної потужності для режимів СЭУ за
критерієм мінімуму коефіцієнта енергоефективності.
Результати дослідження представляються діаграмами, що
відображають основні режими експлуатації СЭУ
7. Охорона праці
.1 Аналіз функції: « Управління операціями судна,піклування о
людях на судні на рівні експлуатації» (Конвенція ПДНВ/78 з Манільським
доповненням від2010р)
Для компетентного виконання механіком функції: «Управління
операціями судна,піклування о людях на судні на рівні експлуатації» з питань:
«Забезпечення виконання вимог по запобіганню забруднення» механік повинен мати
наступні знання: Знання мір запобігання, котрі необхідно приймати для
запобігання забрудненню морського середовища, знати міри по боротьбі с
забрудненням та все обладнання, що зв’язане с цим. Також повинен знати важність
запобігчих заходів по захисту морського середовища.
Для компетентного виконання функції з питань: «Підтримка
судна у морехідному стані» повинен знати: Робоче знання та приймання інформації
об стійкості, посадці і напруженнях, діаграм пристроїв для розрахунку напруг у
корпусі. Розуміти основи водонепроникності. Розуміти основні дії, котрі повинні
прийматись у випадку частинної втрати плавучості у знешкодженому стані.
Розуміти конструкцію судна. Мати загальні знання основних конструкційних
елементів судна та правильних іменувань їх різних розділів. Для компетентного
виконання обов’язків з питань: « Запобіганню пожеж та боротьби с пожежами на
судах» повинен знати наступне: Вміти організувати навчання по боротьбі с
пожежею. Знати види хімічної природи спалаху. Знати системи пожеже гасіння.
Знати дії, котрі повинні прийматись у випадку пожежі включаючи пожежі у
паливних системах.
Для компетентного виконання обов’язків з питань:
«Використання рятувальних пристроїв» повинен знати наступне: Вміти організувати
навчання з покидання судна та вміти звертатися з рятувальними шлюпками і
плотами і черговими шлюпками, їх спусковими приладами й приладами а також їх
обладнанням,включаючи радіообладнання рятувальних засобів, супутникових АРБ,
пошуко-рятувальні транспондери,гідрокостюми й теплозахисні засоби.
Для компетентного виконання обов’язків з питань:
«Застосування засобів першої медичної допомоги на судах» повинен вміти і знати:
Практичне застосування медичних керівництв та медичних консультацій, переданих
по радіо, включаючи вміння приймати на їх основі ефективні міри у випадку
несчастних випадків при захворюваннях,типічних ждля судових умов. Для
компетентного виконання обов’язків з питань: «застосування навиків керівника та
вміння працювати у команді» повинен знати і вміти наступне:
Робоче знання питань управління персоналом на судні та його
підготовки. Знати міжнародні морські конвенції та рекомендації а також
національного законодавства. Вміти застосовувати методи управління задачами і
робочого навантаження включаючи: планування і координацію, назначення
персоналу, недолік часу та ресурсів, встановлення по черговості. Також повинен
знати методи ефективного управління ресурсами та вміння їх застосовувати:
Виділення, розподіл, та встановлення черговості використання ресурсів, ефективний
зв’язок на судні і на берегу, рішення приймаються з рахунком досвіду роботи у
команді. Також повинен мати: Впевненість та керівництво включаючи мотивацію,
досяг та підтримку інформованості про ситуацію, знати методи прийняття рішень
та вміння їх застосовувати: оцінка ситуації та риску, виявлення наявних
варіантів, вибір курсу дій, оцінка ефективності результатів.
Для компетентного виконання обов’язків з питань: «Вклад у
безпечність персоналу і судна» повинен вміти і знати: Знання способів
особистого виживання, знання способів запобігання пожежі та вміння боротися з
вогнем та гасити пожежі, знання приємів елементарної першої допомоги, знання
особистої безпеки та громадських обов’язків.
7.2 Вентиляція і кондиціювання повітря
Для життєдіяльності людини велике значення має якість повітря. Від
нього залежить самопочуття,
працездатність і в кінцевому підсумку здоров'я людини. Якість повітря
визначається його хімічним складом, фізичними властивостями, а так само
наявністю в ньому сторонніх часток. Сучасні умови життя людини
<#"801911.files/image073.gif"> (9.2)
де ДП чп - річний приріст
чистої прибулі підприємства;
Л - ліквідаційна вартість нової
техніки.
Строк окупності додаткових витрат
споживача на нову техніку визначається по формулі:
де ДК - додаткові капітальні
вкладення споживача нової техніки
ДПчп - річний приріст чистого прибутку підприємства.
При виборі найбільш ефективного
варіанта необхідно враховувати не тільки прямі витрати в створенні об'єкта
нової техніки, його виробництво й уведення в експлуатацію, але й можливі
витрати на усунення негативного впливу уведення в експлуатацію об'єкта нової
техніки на екологічне середовище, соціальний стан працівників й ін.
Найбільш ефективним є варіант,
здійснення якого забезпечує найменший строк окупності зроблених на його
здійснення витрат.
У техніко-економічному обґрунтуванні
(ТЕО) обґрунтовується: прогресивність створюваної техніки, визначаються
необхідні додаткові витрати для її виробництва, розраховується оптова ціна
підприємства, на основі якої розраховується економічний ефект (приріст чистого
прибутку), що може бути отриманий за прогнозований строк виробництва нової
техніки, і економічна ефективність, як приріст чистого прибутку на 1 буд. од.
витрат. У ТЕО визначається строк окупності додаткових витрат як виробника нової
техніки, так й її споживача.
Порівняльний економічний ефект у
виробника від заміни техніки, що знімає з виробництва, нової визначається по
формулі:
Пчп = [ (Цн - Сн) - (Цб - Сб) ] Анп - Н,
(9.4)
де Цн і Цб -
ціна нової й базової техніки, буд. од. часу;
Сн і Сб - собівартість
нової й базової техніки.
В умовах ринкових відносин основним
замовником нової техніки стає її споживач. Виробництво нової техніки, як і
будь-якого іншого товару, буде визначатися попитом на нього з боку споживача.
Тому в економічних обґрунтуваннях створення, виробництва й використання нової
техніки головним стає забезпечити її вигідність (ефективність) для споживача,
тобто визначення госпрозрахункового ефекту від використання нової техніки
споживачем.
Економія витрат за рахунок
впровадження заходів нової техніки (НТ), спрямованих на підвищення надійності
(безвідмовності) роботи машин і механізмів, визначається по формулі:
де п1, п2 - кількість випадків
порушень нормальної роботи машин і механізмів протягом року до й після
впровадження заходу;
Слн - середні витрати,
пов'язані з порушенням нормальної експлуатації машин і механізмів і ліквідації
наслідків порушення надійності їхньої роботи гр./1 випадок.
Економія витрат за рахунок
впровадження заходів нової техніки, спрямованих на зниження (ліквідацію) втрат
вантажів у процесі транспортування й підвищення схоронності вантажів у процесі
перевезення флотом і переробки вантажів у портах, визначається по формулі:
де ДПнг - приріст прибили за рахунок зниження (ліквідації) втрат
вантажів у процесі транспортування й підвищення збереження вантажу.
У даній роботі розглядається
впровадження ультразвукового змішувача важкого і дизельного палива у типову
паливну систему CIMAC.
Застосування ультразвукового змішувача палива дає можливість скоротити витрати
на паливо, збільшити експлуатаційний період судна, знизити витрати на ремонт,
зменшити забруднення навколишнього середовища.
Економічний ефект в умовах ринкової
економіки визначається приріст прибутку за рахунок введеня нової техніки та
визначається по формулі:
де ДЧП - приріст чистого прибутку,
Пн - прибуток при
використанні сепаратора з гідроприводом, Пн = Езаг,
Пб - прибуток при
використанні базового сепаратора,
0,25 - налогові відчислення.
№
Найменування показників
Од. вимір.
Позначення
Виконання рейсу
1.
Дедвейт
Тонн
Dw
25000
2.
Запаси на початок рейсу тонн
тонн
Gзап
300
3.
Відстані між портами милі
мили
L, ℓ
2295
6.
Норми навантаження вантажу
од/добу
Мп
20000
7.
Норми вивантаження вантажу
од/добу
Мв
18000
8.
Експлуатаційна швидкість
вузли
Vекс.
18
. Розраховуємо чисту
вантажопідйомність судна:
Планова вантажопідйомність Dч -
найважливіший показник, що характеризує виробничу можливість вантажного судна.
Фактична вантажопідйомність судна - величина змінна. При рейсовому плануванні
вона встановлюється конкретно на кожен рейс і визначає завдання по кількості
вантажу.
Для розрахунків, пов'язаних з плануванням
роботи флоту, цей показник розраховується як різниця між дедвейтом судна при
осіданні його по літню вантажну марку Dw і масою рейсових запасів Gзап.,
Необхідних при роботі судна в звичайному для нього районі плавання:
Dч = Dw - Gзап, (9.8)
ч = 25000 - 300 = 24700 т.
. Розраховуємо експлуатаційний період
роботи судна.
Експлуатаційний період є
експлуатаційне час і для судна визначається:
Те = Тк - Тве, (9.9)
Те - судно - добу в експлуатації -
час судна на транспортній роботі;
Тк - судно - добу календарні - певний
період (місяць, квартал, рік), коли судно перебуває у складі транспортного
флоту пароплавства і проводиться облік його роботи:
Тве = Трем + Ткмч + Тотст, 9.10
Трем - час ремонту, судно - добу;
Ткмч - час котло - мото - чищення,
судно - добу;
Тотст - час міжнавігаційний відстою,
судно - добу.
. Розраховуємо час рейсу.
Вихідним етапом рейсового планування
є встановлення нормативної тривалості рейсу з виділенням технологічних
процесів: час на ходу і на стоянці:
а) ходовий час визначається по
формулі:
x = 2295 / 18 х 24 + 2 / 24 = 5,39 діб
б) час зупинки судна визначається по
формулі:
ст. = 2295 / 20000 + 2295 / 18000 + 2 /
24 = 2,18 діб
в) час рейсу становитиме:
tр = tх + tст., (9.13)
рпл = 5,39+2,18= 7,57 сут
Результати всіх розрахунків по закінченому рейсу зводимо в
таблицю 9.2.
Таблиця 9.2. Кількісних і якісних показників виконаного
№ п/п
Найменування показників
Ум. познач.
Од. вимір.
Значення
1
Транспортна робота судна за рейс
Ql
ед-милі
459* 10^5
2
Експлуатаційний період
Тэ
судо-сутки
345
3
відстані пройдене судном у рейсі
L, l
милі
2295
4
Перевезено вантажів
УQ
од 5
Судно - на добу у рейсі а) на ходу б) на стоянці
tp tx tст
на добу на добу на добу
7,57 5,39 2,18
6
Валовий дохід
Fинв.
$
321820
7
Витрати в інвалюті
Rрейс
$
160910
8
Прибуток за рейс
Пр
$
161090
Таблиця 9.3. Результати всіх розрахунків за експлуатаційний
період, якщо Текс =345 діб:
№ п/п
Найменування показників
Ум. позн.
Од. вимір.
Значення
1
Кількість рейсів за експлуатаційний період
Чр
число
45,57
2
Транспортна робота судна за рейс
УQl
од- милі
20916*10^5
3
Прибуток судна за Тэкс
УП
грн. / рік
7340871,3
Капітальні вкладення визначаються по
формулі:
ДК= Sуст · EH + Rам + Rм + Rекс= 1330 $, (8.14)
Sуст - вартість установки, Sуст = 3500$,
Ен - нормативний
коефіцієнт ефективності капітальних вкладень, Ен = 15%.
Rам - витрати на амортизацію, Rам = 10% ·Sуст,
Rм - витрати на монтаж, Rм = 8 %·Sуст,
Rекс- витрати на експлуатацію
ультразвукової змішувальної установки, Rекс = 5 %·Sуст,
Ток - період окупає мості
УЗУ, Ток = 6,7 років
Розрахунок річного економічного
ефекту виконується за окремими складовими встановленим джерелами утворення
ефекту.
Загальну економію витрат від
правильної експлуатації ультразвукового реактора від економії палива можна
визначити по наступній залежності:
Е заг = Е екол
+ Е пал + Е ав.+ Еуб + Ерем,
(9.15)
де Е екол - економія від
скорочення збитку забруднення навколишнього середовища;
Е пал. - економія палива;
Е ав. - економія за
рахунок зниження кількості аварійних відмов ;
Е рем - економія на
ремонті;
Е уб - економія, за
рахунок зниження втрат прибутку і тех-втрат.
Далі розглянемо кожну зі складових
окремо.
Облік екологічних факторів здійснюється
при визначенні як суспільної, так і комерційної ефективності інвестиційних
проектів. При розрахунку показників суспільної ефективності на рівні
національної економіки враховується зниження (збільшення) загального збитку від
негативного впливу на навколишнє середовище всієї сукупності результатів цього
впливу. При встановленні комерційної ефективності на рівні судновласника
аналізуються зниження (збільшення) плати й штрафів за користування природними
ресурсами й за забруднення середовища, зменшення податків, обумовлене
проведенням екологічних заходів, одержання вторинної сировини, підвищення
працездатності працівників підприємства й інших факторів.
У загальному виді величина загального
збитку від негативного впливу на навколишнє середовище (В) визначається по
вираженню
В = УА + УВ + УЗ + УОТ + УФ + УФЛ, (9.16)
де УА - збиток від
забруднення атмосфери (повітряного середовища);
УН - збиток від забруднення водних
об'єктів;
УЗ - збиток від забруднення й
деградації землі;
У от - збиток від розміщення шкідливих
речовин на навколишньої території;
Уф - збиток фауні;
Уфл- збиток флорі.
Величина загального збитку
враховується як додаткові витрати в показниках оцінки ефективності проектів
Економія палива визначається за формулою:
Е пал = УRпалБ - УRпалН,
(9.17)
де УRпалБ - сума базових витрат на паливо за рейс;
УRпалН - сума нових витрат на паливо за
рейс.
Економія палива. С початку визначимо
базову витрату палива за рейс. Ходова витрата палива за рейс важко та легкого
судна розраховуємо по формулі:
RTX Б = К · (qтх · Цт + qлх · Цл), (9.18)
RTX Б = 1,1 · (38 · 505 + 3,5 · 745) = 24857,25 $ / рейс,
де qтх, qлх - добова витрата палива важко та
легкого, К = 1,1;
Цт, Цл - ціна
на паливо важке і легке
Витрата палива за весь рейс судна
розраховуємо по формулі:
RтБ = Rтx ·
tx + Rтст · tст, (9.19)
RтБ = 24857,25 · 1,1 + 1,1 · (3,5 · 745) · 0,7 =
29350,75 $ /
рейс
Визначимо нову витрату палива за
рейс, для судна устаткованого ультразвуковою змішувальною установкою за
наступною формулою:
RTX Н = К · (qтх · Цт + qлх · Цл), (9.20)
RтН = Rтx ·
tx + Rтст · tст, (9.21)
RTX Н = 1,1 · (38 · 505 + 3,5 · 745) = 23146,5 $ / рейс,
RтН = 23146,5 · 1,1 + 1,1 · (0,5 · 505 + 3 · 745) · 0,7 =
26531,25 $ /
рейс
Різниця між базовими витратами палива
за рейс і новими витратами палива за рейс розраховуємо за формулою:
ДRтопр = RБ - RН (9.22)
ДRтопр = 29350,5 - 26531,25
= 2819,25 $ /
рейс
Економія палива дорівнює сумі між
різницями базових та нових витрат на паливо судна за рік. Економія палива
визначається за формулою:
Е пал = У ДRтопрік = ДRтопр · Чр, (9.23)
Е пал = У ДRтопрік = 2819,25 · 194 = 546934,5 $ /
рік
Наближена оцінка річної економії
експлуатаційних витрат від підвищення ресурсу і терміну служби ультразвукового
реактора за рахунок зниження числа аварійних відмов і зниження швидкості його
зносу виконується за формулою:
ДЕав = 300000 · 0,01 + 15000 ·1,5
/ 5 = 19500 $
де Кеу - вартість объекта
удосконалення деталей циліндро-поршневої групи, $;
ДТсл., Тслс,
Тслн, Тмп - підвищення терміну служби та
ресурсу, старе і нове значення терміну служби, величина міжремонтного періоду,
діб.
Qр - середньорічні витрати на
капітальний ремонт, $. 10% от Кэу
Річна економія від зменшення витрат
на поточний ремонт при зниженні числа відмов визначається за формулою:
ДЕрем = Д na · QT, (9.25)
ДЕрем = 0,4 · 300000 · 0,1 =12000 $,
де Д na - відносне зниження числа
аварійних відмов;
Qр - середньорічні витрати на тех.
ремонт, $. 5 %
Річне зниження втрат прибутку і
технічних збитків за рахунок впровадження ультразвукової змішувальної
установки:
ДЕу = (7340871,3/ 345) · 1,5 + 2 ·1,24 · 25000 = 93916,8 $,
де П, - Річний прибуток $;
Текс - експлуатаційний
період судна;
Загальну економію витрат від
правильної експлуатації ультразвукового реактора від економії палива можна
визначити по наступній залежності:
Е заг = Е екол
+ Е пал + Е ав.+ Еуб + Ерем -Д К (9.27)
Е заг = 546934,5 +
19500.+ 12000+ 93916,8 - Д К = 672351,3 $.
Отже впровадження ультразвукового
змішувача палива доцільна, бо значно підвищує ефективність роботи та приносить
значну фінансову вигоду судну.
Висновки
У дипломному проекті розглянуто прототип судна газовоза який
задовольняє вимогам по перевезенню зрідженних газів. Підібран ГД Man B&W 6S60MC-C. Приведений розрахунок
головного двигуна. У якості вузлового питання розглянут коефіцієнт
енергоефективності для вибраного газовоза. Наведен також розрахунок паспортної
діаграми данного судна, згідно з яким розраховується ККЕ при легкому та тяжкому
гвинті ( судно у баласті та грузу). Задля наглядності приведені графіки
змінення ККЕ при різних умовах експлуатації ГД. Вибран основний режим
експлуатації,зо задовольняє вимогам МАРПОЛ щодо ККЕ для данного типу судна.
Також розглянуті питання з Охорони праці, Цивільної оборони,
та Економічне обґрунтування дипломного проекту.
Перелік використаної літератури
1. Гришкин В.В. О деятельности в области сокращения выбросов
парниковых газов с судов // Науч.- техн. Сб. Российского морского Регистра
судоходства. -2011. - Вып. 34. - С. 153-166.
2. Резолюция MEPC.203(62). Поправки к приложению к протоколу 1997 года об изменении
международной конвенции по предотвращению загрязнения с судов 1973 года,
измененной протоколом 1978 года к ней (Включение правил энергоэффективности для
судов в Приложении VI к Конвенции МАРПОЛ).
3. Resolution MEPC.212(63). 2012 guidelines on
the method of calculation of the attained energy efficiency design index (EEDI)
for new ships.
. MEPC 60/4/35/. Prevention of Air Pollution
from Ships, Mandatory EEDI requirements. - Draft text for adding a new part to
MARPOL Annex VI for regulation of the energy efficiency of ships.
5. Методичні вказівки по виконанню розділу дипломних
проектів (робіт) «Цивільний захист/оборона» / В.Б. Терновський, С.Н.
Стреминовський - Одеса: ОНМА, 2011.- 49 с.
6. Инструкции по эксплуатации механизмов машинного
отделения.
(British Gas - Machinery Operating Manual - 2005,Exmar
-Machinery Operating Manual - 2002).
7. Международная конвенция по предотвращению загрязнения с
судов 1973 года, изменённая Протоколом 1978 года к ней (МАРПОЛ-73/78). - СПб:
ЗАО ЦНИИМФ, 2000 г.
8. Иванов Б.Н. Охрана труда на морском транспорте. - М.
Траспорт, 1989.
9. Иванов Б.Н., Колегаев М.А., Касилов Ю.И., иванов А.И.
Основи охорони
праці на морському транспорті. изд. «Компас». Одесса 2003г.
10. Колегаев М.А., Иванов Б.Н., Басанец Н.Г. «Безопасность жизнедеятельности и
выживание на море».
Изд. КП ОМД 2007.
4. Повірочний розрахунок допоміжних механізмів
.1 Паливна система
,
м3
м3
- об’єм однієї цистерни.
м3/г
м3
- частка теплоти тертя, сприймається маслом;
-
механічний ККД двигуна.
5
.3 Система охолодження
,
- частка
тепла, що відводиться прісною водою від усієї кількості теплоти, що виділяється
при згорянні палива;
кДж/кг -
нижча теплотворна здатність палива;
-
різниця температур;
кг/м3
- щільність прісної води;
- питома
теплоємність води.
,
- питома
теплоємність забортної води;
кг/м3
- щільність забортної води.
- питома витрата пускового повітря; м = 6 - число необхідних
пусків; Ра = 0,1 МПа - атмосферний тиск; pн = 3,0 МПа - початковий тиск повітря
в балоні; pк = 0,1-1 МПа - кінцевий тиск повітря в балоні, при якому
ще можливий пуск ГД;
- сумарний об’єм циліндрів.
=0,75,
0,325;
0,228.
0,42.
,
вуз.
,
кН.
,
кВт.
вуз1,2259,3111,59,314,41
кН1,225339259,3239,3179,5
кВт1,2257543648958745007
423
кН·м.
,
кВт.
5897 кВт.

,
=9,34
(9.3)
(9.5)
(9.6)
(9.7)
Вихідні дані рейсу газовоза «Nikolas » з порту Сан-Пиер в порт Бальбао
Стонхевен зведені в таблицю 8.1.
Таблиця 9.1. - Рейсове завдання
, (9.11)
(9.12)
(9.24)
, (9.26)