Российский государственный университет нефти и газа им. И.М. Губкина
Кафедра разработки и эксплуатации газовых и газоконденсатных месторождений
Курсовая работа
на тему: "Влияние изменения
толщины газоносного пласта в процессе разработки газового месторождения"
Москва 2013 г.
Содержание
Введение
1. Закономерности изменения предельного безводного дебита
. Выбор технологического режима
. Методика расчета
. Определение безводной эксплуатации скважин Среднеботуобинского месторождения на текущий период
. Расчет безводного режима с учетом изменения контакта газ-вода
. Расчет безводного режима с учетом изменения контакта газ-вода на примере Среднеботуобинского месторождения
Заключение
Список использованной литературы
Введение
При проектировании разработки газовых и газоконденсатных скважин надо исходить из того, что как для скважин залежей массивного типа, так и при контурных частях залежей пластового типа существует возможность обводнения подошвенной водой. На поздней стадии разработки в продукции скважин возрастает вероятность появления подошвенных и краевых вод залежи в результате подъема уровня ГВК.
Часто по разным причинам приходится осуществлять разработку месторождения при дебитах, значительно превышающих их предельные значения, что приводит к интенсивному обводнению скважины. В связи с этим возникают серьезные проблемы: увеличение безводного периода и текущей газоотдачи; разработка методов расчета безводного периода работы скважин с учетом реальных свойств газа и неоднородности пласта; разработка методов прогнозирования газоконденсатоотдачи залежей с подошвенной водой. Решение данных проблем весьма актуально, поскольку для большинства газоконденсатных месторождений прорыв подошвенной воды является одним из основных факторов, осложняющих работу скважин и занижающих конечный коэффициент газоконденсатоотдачи.
Целью данного исследования является на основании текущих параметров эксплуатируемых скважин, оценить влияние изменения толщины газоносного пласта на безводный дебит скважин Среднеботубинского месторождения и спрогнозировать изменение безводных дебитов в процессе разработки.
В соответствии с основной целью, в работе решаются следующие задачи:
. оценить дебиты скважин с учетом наличия подошвенных и краевой воды;
2. рассмотреть влияние анизотропии пласта.
1. Закономерности изменения предельного безводного дебита
Установление технологического режима эксплуатации газовых скважин, вскрывших пласты с подошвенной водой, относится к задачам высшей сложности. Точное решение этой задачи с учетом нестационарности процесса конусообразования, неоднородности пористой среды в вертикальном и горизонтальном направлениях, различия законов фильтрации газа и воды, изменения их физических свойств в процессе разработки, формы и границ разделов газ-вода, фазовых проницаемостей и капиллярных сил практически невозможно. Как правило, безводные дебиты, определяемые расчетным путем, оказываются значительно больше фактических, и конус подошвенной воды прорывается в скважину при дебитах сравнительно меньших, чем расчетные. Тем не менее, в виду важности данной задачи при проектировании и эксплуатации газовых месторождений рассмотрим основные закономерности изменения предельного безводного дебита в зависимости от величины вскрытия и анизотропии пласта.
Предельным безводным дебитом будем считать производительность скважины, получаемую при достижении вершины конуса воды забоя скважины. Отсюда следует, что для получения безводного дебита необходимо, чтобы уровень контакта газ-вода под скважиной был ниже нижних перфорационных отверстий. Это означает, в скважине необходимо создать такую депрессию, при которой уровень конусообразования воды будет меньше высоты [2].
В большинстве газоносных пластов вертикальные и горизонтальные проницаемости различаются, причем вертикальная проницаемость kв значительно меньше горизонтальной. Низкая вертикальная проницаемость снижает опасность обводнения газовых скважин в процессе эксплуатации. Однако при низкой вертикальной проницаемости затрудняется и подток газа снизу в область влияния несовершенства скважины по степени вскрытия. В связи с этим необходимо учитывать влияние анизотропии, так как использование методов определения Qпр, разработанных для изотропных пластов, приводит к существенным погрешностям..
Чем больше подъём ГВК, тем выше погрешность в величинах дебитов, определённых без учета подъёма ГВК. Величина подъёма контакта зависит от запасов и отбора газа, активности водонапорной системы, коллекторских свойств водо-газоносного пласта и др. Внедрение в процессе разработки подошвенной воды приводит к изменению пластового давления и уменьшению газонасыщенной толщины пласта. При больших упругих запасах воды необходимо учитывать упругоёмкость воды и водоносного пласта.
Зависимость предельного безводного дебита Qпр от относительной толщины вскрытия
`h= hвс/h
показывает, что существует некоторое вскрытие, при котором предельный, безводный дебит становится максимальным (рис.1 и 2). При этом для получения максимального дебита степень вскрытия пластов с низкой продуктивностью должна быть больше, чем пластов с высокой продуктивностью, так как с уменьшением проницаемости Qпр тоже уменьшается.
Учет влияния анизотропии пласта показывает, с уменьшением вертикальной проницаемости предельный дебит существенно снижается (1). Кроме того, с уменьшением параметра анизотропии пласта
=kв/kг
величина вскрытия пласта hвс при которой Qпр
становится максимальным, увеличивается.
На величину безводного дебита влияют снижение р(t) и h(t). Чем меньше р(t) и h(t), тем ниже безводный дебит скважины, хотя в целом вторжение воды в газовую залежь несколько замедляет темп снижения пластового давления (рис. 2). На данном рисунке кривые 1-3 соответствуют безводным дебитам при рпл(t)= 25,7; 21,9 и 14,4 МПа, получаемым при подвижном контакте газ-вода. Безводные дебиты при этих же пластовых давлениях, но при неподвижном контакте газ-вода показаны пунктирными кривыми 2-5. Из рис. 2 видно, что при подвижном контакте газ-вода Qпр снижается более интенсивно, чем при неподвижном газо-водяном контакте. Сравнение кривых зависимости Qпр от h, построенных при одинаковых рпл(t) для h0 и h(t), позволяет определить характер изменения Qпр при подвижном контакте и прогнозировать безводные дебиты при проектировании разработки газовых месторождений. Для заданной величины вскрытия пласта hвс изменение газонасыщенной толщины в результате подъема ГВК приводит к обводнению газовой скважины.
Характер изменения Qпр, соответствующего максимуму кривых
зависимости Qпр от `h при неподвижном (кривая 1) и подвижном (кривая
2) ГВК, показан на рис. 3. Из кривой 2 видно, что при заданной величине hвс
по мере снижения пластового давления и подъема ГВК Qпр резко
снижается и по достижении h(t) = hвс скважина обводняется. Для
избежания обводнения в процессе разработки необходимо синхронно с изменением
h(t) изменять и вскрытую толщину пласта hвс. Только тогда скважина
будет эксплуатироваться до полного истощения залежи.
Для анизотропного пласта независимо от величины параметра анизотропии n
при снижении Рпл и уменьшении h(t) Qпр снижается. С
уменьшением вертикальной проницаемости kв или параметра анизотропии
n Qпр уменьшается. Это означает, что уменьшение доли дебита за счет
подтока из невскрытой части пласта происходит в результате ухудшения
вертикальной проницаемости пласта. В конечном счете, при существенном снижении
вертикальной проницаемости безводный дебит стремится к дебиту скважины,
вскрывшей пласт толщиной hвс, где имеет место только
плоскорадиальная фильтрация газа к скважине. Следовательно, при снижении
параметра анизотропии n наиболее выгодно полное вскрытие пласта [4].
Важнейшим аспектом разработки является установление и обоснование технологического режима эксплуатации скважин. Недостаточно обоснованные технологические режимы эксплуатации скважин, приводящие к снижению их дебитов по сравнению с проектными значениями, обуславливают завышение капитальных вложений и эксплуатационных расходов в процессе разработки.
В значительной степени правильность технологического режима эксплуатации скважин зависит от качества и количества исходной информации, получаемой газогидродинамическими методами исследования в процессах разведки и опытной эксплуатации газовых и газоконденсатных месторождений [16].
При установлении технологического режима эксплуатации скважин используются данные, накопленные в процессе поиска, разведки и эксплуатации месторождения путем изучения его геологического строения, проведения газодинамических, газоконденсатных, геофизических и лабораторных исследований свойств пористой среды и содержащихся в ней газов, конденсата и воды [3].
При проектировании разработки газовых и газоконденсатных скважин надо исходить из того, что для скважин залежей массивного типа, так и при контурных частях залежей пластового типа существует возможность обводнения подошвенной водой. Причем для залежей пластового типа опасность обводнения скважин, расположенных в приконтурных частях залежи, так как процесс обводнения приконтурных скважин происходит через горизонтальную проницаемость. Точное решение проблемы обводнения скважин подошвенной водой практически невозможно [4].
К настоящему времени предложено несколько методов определения, так называемого предельного безводного дебита, обеспечиваемого при поддержании в скважине допустимой депрессии на пласт. Однако постановочно такой подход к вопросу эксплуатации скважин без обводнения допускает очень большую неточность[11]. Безводные дебиты текущие будут изменяться в процессе разработки в зависимости от подъема ГВК, изменения свойства газа, воды и пористой среды, изменения газонасыщенной толщины пласта, относительного вскрытия, пластового давления и т.д. [3]
Для исследования данной темы было рассмотрено Среднеботуобинское
месторождение. Исходя из технологических данных для оценки безводных дебитов,
были выбраны эксплуатирующие скважины СБт-156, СБт-163 и обводненная скважина
СБт - 74 на улаханском горизонте. Основным критерием для выбора скважин,
обоснован близостью подошвенных вод, что увеличивает возможность обводнения скважин.
На рисунке 4 представлен геологический разрез продуктивных пластов, в котором
видна близость вод.
Рис.4. Геологический разрез продуктивных пластов
скважина пласт месторождение залежь
1. Наиболее точный метод определения безводного дебита скважины предложено З.С. Алиевым [3], где были усовершенствованы и учтены некоторые недостатки методов Б.Б. Лапука и И.А. Чарнова [3].
Согласно с этой методикой, при заданном в призабойной зоне гиперболическом
характере изменения толщины газоносного пласта предельный безводный дебит
газовый скважины определяется по формуле:

(1)
где
![]()
-
относительный радиус контура питания, определяется
![]()
;
µ - вязкость газа, мПас; Z - коэффициент сверхсжимаемости газа; Тпл - пластовая температура, К; Qпр - предельный безводный дебит скважины, тыс. м³/сут; k - коэффициент проницаемости пласта, мкм²; h - толщина пласта, м; Тст - стандартная температура, К; ρат - плотность газа при атмосферных условиях, кг/м³; Рат - атмосферное давление, МПа; l - макрошереховатость фонтанных труб, м;
С
достаточной для практики точность величину ![]()
можно
определить:

(2)
где

(3)
ρг, ρв - соответственно плотности газа и воды в пластовых условиях, кг/м³; g - ускорение свободного падения, м/с².
k0 -
коэффициент проницаемости, определяемый по формуле
(4)
где
(5)
А и В - коэффициенты фильтрационного сопротивления, учитывающие степень вскрытия пласта скважиной, МПа 2сут/тыс м³; Rскв - радиус скважины, мм.
Согласно этой методике предельный дебит определяется по формуле:
(6)
где Qпр - это предельный безводный дебит, м³/сут; Q* - безразмерный безводный дебит скважины, определяемый по
формуле:
(7)
По этому методу можно оценить только текущий безводный дебит скважины.
По формуле (6) рассчитывались предельно безводные дебиты скважин с
исходными данными, представленными в таблице 1 для различных относительных вскрытий.
Таблица 1. Исходные данные для расчета
|
Показатели |
Скважины |
||
|
|
СБт-156 |
СБт-163 |
СБт-74 |
|
Рпл, МПа |
12,42 |
11,48 |
12,29 |
|
Тпл, К |
284 |
284 |
284 |
|
А |
0,04629 |
0,01257 |
0,057074 |
|
В |
4,2*10-8 |
3,3*10-7 |
1,6*10-7 |
|
ρотн |
0,65 |
0,65 |
0,65 |
|
Rc |
0,1 |
0,1 |
0,1 |
|
Rk |
300 |
350 |
250 |
|
h |
37,2 |
12 |
13 |
При использовании формулы (1) необходимо рассчитать относительные параметры:
. Относительное вскрытие пласта на текущий момент разработки
месторождения, определяется по формуле:
. Относительный радиус контура питания скважины
3. По формуле (11) рассчитываем коэффициенты фильтрационного сопротивления:
. Плотность газа определяется по выражению:
. Используя формулу (9) находим коэффициент Джоуля - Томсона:
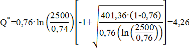
. Полученные значения, подставив в формулу (4) получаем коэффициент проницаемости:
. Для определения безразмерного дебита используем формулу (7), подставив значения в выражение, получаем: