Решение задач векторного анализа
Задача1
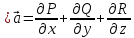
Найти поток
векторного поля
через замкнутую поверхность

9-
двумя способами:
а) непосредственно
б) используя теорему Остроградского-Гаусса
Решение:
а) непосредственно
ищем поток
(П) векторного поля
через замкнутую поверхность
или считаем поверхностный интеграл
второго рода от вектора
по замкнутой поверхности
.

Поверхность
состоит из двух поверхностей
поверхность параболоида (9-
и
плоскости (
)
Следовательно,
наш поток через замкнутую поверхность
будет равен сумме потоков через
поверхности
и

Считаем
поверхностный интеграл второго рода
или поток

: 9-
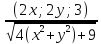
; вектор нормали к поверхности
=
=
=
( Cos
Cos
; Cos
),
где углы
;
;
- углы нормали с осями координат
Поверхность
проецируем на плоскость OXY
d
=
=
dxdy
=
(
2
при z=
получим
=
(
2

=
=
=
Интеграл
удобнее считать в полярных координатах,
учитывая что область
является кругом


=
=
=
=
=
=
=
=
=
=
=
=
=-

:
; вектор нормали к поверхности
=
=
=
( Cos
Cos
; Cos
),
где углы
;
;
- углы нормали с осями координат
=
при z=0 получим

Итак : П=
+
=0+0=0
б) используя теорему Остроградского-Гаусса
Теорема
, где
,
V- область ограниченная
нашей поверхностью

=
y+x-x=y
П=
=
=
перешли к цилиндрическим координатам
параболоид
в цилиндрических координатах: z=
=3

=
=
=
=
=0
Так как
=Cos
=
Cos2
– Cos 0= 1-1=0
Ответы совпали! Ура! Задача решина!
Задача 2.
Найти
циркуляцию векторного поля
по контуру Г

Г:

двумя способами :
а) непосредственно
б) используя теорему Стокса
Решение:
а) непосредственно
Г:

Г- это
сечение цилиндрической поверхности
плоскостью
эллипс на цилиндрической поверхности.
Введем обобщенные полярные координаты
( или параметризирем наш контур Г)


= -
=
+
=
=
Cos
-
+
Sin2
-
=

б) используя теорему Стокса
теорема:

rot
=
– получили вектор
вектор нормали к поверхности
, которую ограничивает контур Г.
Поверхность
ориентированная, положительное
направление нормали выбираем по
следующему правилу:
Из конца
нормали обход по контору Г должен быть
виден против часовой стрелки, а область
должна оставаться слева при обходе
контура Г против часовой стрелки.
u=y-z=0
=
=
=
( Cos
Cos
; Cos
),
где углы
;
;
- углы нормали с осями координат
угол
-
острый угол, который вектор нормали
образует с осью OZ( смотри
рисунок )

=
и Cos
(
0 – (y – z) + 1 – z) =
( 1-y)
и тогда :
=
=
=