Курсовая работа (т): Разработка технологического процесса и схемы комплексной механизации перегрузки груза с одного вида транспорта на другой

Внимание! Если размещение файла нарушает Ваши авторские права, то обязательно сообщите нам

Разработка технологического процесса и схемы комплексной механизации перегрузки груза с одного вида транспорта на другой














Разработка технологического процесса и схемы комплексной механизации перегрузки груза с одного вида транспорта на другой

Введение

груз транспорт механизация

Полное обеспечение потребителей народного хозяйства страны в перевозках с высокой эффективностью и качеством требует широкого внедрения комплексной механизации и автоматизации погрузочно-разгрузочных работ. В этих целях предусмотрено последовательное осуществление перехода от создания и внедрения отдельных машин и технологических процессов к разработке и производству высокоэффективных систем, машин, оборудования, приборов и технологических процессов, обеспечивающих комплексную механизацию и автоматизацию на всем пути перемещения грузов от отгрузки до реализации у потребителя. Значительно увеличивается объем перевозок грузов в контейнерах, прежде всего в крупнотоннажных, а также в пакетированном виде.

Наряду с осуществлением дальнейшей технической реконструкцией грузового хозяйства транспорта значительная часть прироста грузооборота должна осваиваться за счет вскрытия и использования резервов, рациональной организации перевозочного процесса, путем дальнейшего совершенствования комплексной механизации и автоматизации погрузочно-разгрузочных работ и складских операций, широкого внедрения научной организации труда.

Принятые средства комплексной механизации и автоматизации погрузочно-разгрузочных работ, а также мини механизированных цехов или устройств должны, при наименьших капитальных затратах обеспечивать высокую производительность труда, более низкую себестоимость, работ полную сохранность груза и подвижного состава и наименьшие сроки простоя подвижного состава под грузовыми операциями.

Выбор рациональных схем механизации погрузочно-разгрузочных работ и способов транспортирования грузов на том или ином транспортном или промышленном объекте следует производить с учётом интересов как внешнего транспорта, так и транспорта предприятия, складских территорий и помещений.

Рациональная схема механизации должна обеспечить:

·  комплексную механизацию работ на всех этапах переработки груза;

·        снижение себестоимости переработки груза;

·        повышение производительности труда и сокращение количества занятой рабочей силы на основе современной организации труда и использования средств автоматизации;

·        сокращение ручного труда на переработке груза;

·        облегчение условий труда обслуживающего персонала;

·        безопасность при проведении работ.

Выбор оптимального решения может быть сделан в результате всестороннего сравнения различных вариантов по показателям, учитывающим, насколько полно каждый из вариантов решает задачи, поставленные перед разработчиком. При этом главным фактором являются показатели технико-экономической эффективности: себестоимость перегрузки, производительность, рентабельность, сроки окупаемости и другие.

Целью курсового проекта является разработать проект транспортно-грузовой системы с механизацией и автоматизацией погрузочно-разгрузочных работ с морского транспорта на автомобильный для контейнерных грузов. Выполнить технико-экономические расчеты, связанные с обоснованием принимаемых решений и графическую проработку.

1.      Исходные данные

Разработать проект комплексной механизации и автоматизации погрузочно-разгрузочных работ в морском порту при следующих исходных данных:

Данные по поступлению груза:

.Вид транспорта - речное судно;

.Коэффициент суточной неравномерности - 1,7;

.Период приема груза - 262 дня;

.Вид груза - контейнер 20-ти футовый;

.Объём перевозок - 680000 тонн;

.Минимальная грузоподъёмность - 1000 т.

Данные по хранению груза:

.Время хранения - 12 суток;

.Условия хранения груза- открытое.

Данные по отправке груза:

.Вид транспорта - автомобиль самосвал, 5 т.;

.Коэффициент суточной неравномерности - 1,4;

.Период отправки груза - 262 дня;

Перегрузочные работы:

Вариант 1:

.Способ разгрузки: портальный кран;

.Способ погрузки: автопогрузчик с телескопической стрелой.

Вариант 2:

.Способ разгрузки: мостовой перегружатель (речной) ;

.Способ погрузки: козловой кран.

2.      Технология переработки грузов и анализ грузопотоков

 

2.1    Технологическая схема переработки грузов

На основании полученных исходных данных и анализа технологии работ перегрузочного пункта или предприятия необходимо составить принципиальную схему переработки груза с указанием возможных направлений грузопотоков. Начало и конец грузопотока должны соответствовать зонам склада и работе перегрузочного устройства, где перемещаемый груз может находиться некоторое время без движения.

Технологическая схема переработки грузов с одного вида транспорта на другой через склад представленная на рис.1.

 

2.2Технические и экономические характеристики перегрузочных машин

Характеристики

Обозначение

Мостовой Кран КОНЕ

Козловой кран КК-20

Портальный кран «Сокол»

Автопогрузчик с телескопической стрелой

1.Грузоподъёмность,т

G

30,5

20

32

27

2.Высота подъёма крюка, м

Hn


-

25

8.5

3.Вылет - максимум - минимум

 Rmax Rmin

 34,3 6,0

 - -

 32 8

 8.35 3.6

4.Скорость, м/с - подъёма(опускание) - передвижение тележки - передвижение перегрузочной машины - изменение вылета - поворота крана

 40 120 45

 0,16 0,66  - - -

 63 м/мин 32 м/мин  0.75 63 м/мин 1.6 об/мин

 0.2 -  6 0.5 -

8.Амортизационные отчисления - ежегодные отчисления, % - отчисления на текущий ремонт, %

  Ао  Во


  8.4  2

  11.4  1.0

  2  2


.3 Анализ технологической схемы переработки груза

 

Анализ первого и второго варианта переработки груза

На первом этапе необходимо определить интенсивность грузопотоков. За величину интенсивности входящего грузопотока Qвх принимается расчётный суточный Qрассут, т.е. количество груза, поступавшего и отправляемого в пункта приёмки за сутки. При этом учитывается неравномерность подхода или ухода транспортных средств, т/сут:


где  - заданный годовой грузооборот, т;

 - число рабочих дней в году работы транспортного предприятия;

 - коэффициент суточной неравномерности по прибытию или отправлению транспортных средств и груза.

Грузопоток по прибытию:

Грузопоток по отправлению:

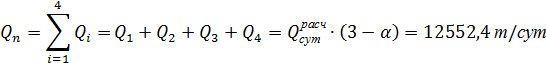
Если количество выгружаемого из судна угля составит 100% от входящего грузопотока,


Общее количество груза, перерабатываемое при данном перегрузочном процессе, составит:


Коэффициент переработки груза учитывает дополнительные перевалки груза на складе и при подаче его на транспортные средства. Необходимо стремиться к Kпер - min.Чем меньше величина Kпер, тем рациональнее организована технология переработки груза на складе.

Расчётный суточный грузооборот:


где: q - средняя масса груза в одном контейнере, т.

Общее количество контейнерных операций, которое на складе потребуется осуществлять в течение суток, контейнерных операций/сут:

где a - коэффициент, учитывающий процент перегрузки контейнера. Принимаем a = 0.1-0.2.

Поскольку на складе осуществляется также и сортировка контейнеров, то


где b- коэффициент, учитывающий процент дополнительных операций по сортировке и перестановке контейнеров.

При выборе в последующем расчёте перегрузочных устройств особенно важным является правильное установление параметров, в частности, потребной часовой производительности.

 

2.4 Определение потребной часовой производительности перегрузочных устройств

Вариант 1

 

где:

nпод - число подач в течение суток;

Тнорм - время на погрузку или разгрузку одной подачи;

t - время на вспомогательные операции.

1.Мостовой перегружатель:

.Автопогрузчик с телескопической стрелой:

Вариант 2

1.      Портальный кран:

.Козловой кран:


3.      Расчетно-графическая часть

.1 Компоновка складов универсальных контейнеров, определение вместимости склада

Размеры склада открытого хранения груза по поперечному сечению определяются следующим образом.

Ширина склада, м,


где- пролет козлового крана, м

- расстояние от оси опоры до торцевой стенки контейнера, м.

Параметры крупнотоннажного контейнера:

Ширина = 2,5 метра;

Длина = 6 метра;

Высота = 2,5 метра;


 

Вместимость склада:

12 = 2148

где tхр - срок хранения груза на складе, сут;

Qсут.ср- среднесуточный грузооборот, т/сут. На складах, где имеются грузопотоки по прибытию и отправлению, среднесуточный грузооборот представляет собой сумму грузооборотов по прибытию и отправлению грузов.

Для хранения контейнеров в течение 12 суток, понадобиться склад вместимостью на 2148 контейнеров.

Количество контейнеров, размещённых по длине склада:


Длина склада:

Площадь склада:

 

3.2 Расчёт фактической производительности и определение параметров перегрузочного оборудования

Расчёт фактической производительности для машин циклического действия выполняется в зависимости от цикла работ и конкретных условий работы по грузопотокам.

Фактическая часовая производительность перегрузочной машины циклического действия, т/ч, определяется по формуле:


где t - время предусмотренных перерывов в работе в течение часа, с;

m - средняя масса единовременно перемещаемого груза, т;

Тц- продолжительность одного цикла, с.

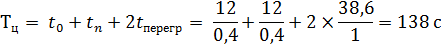
Вариант 1

1.Портальный кран:


2 .Автопогрузчик с телескопической стрелой:

 

,

где  - среднее время выдвижения стрелы;

 - время передвижения.

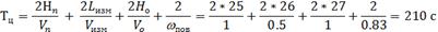
Вариант 2

Мостовой кран

 

Козловой кран

 

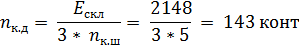
3.3 Расчёт потребного количества перегрузочного оборудования

Расчёт потребного количества перегрузочных машин для различных этапов грузопереработки на пункте взаимодействия производится в зависимости от потребной производительности перегрузочных машин и оборудования:


Вариант 1

1.Портальный кран:

0;

2.Автопогрузчик с телескопической стрелой:

;

Вариант 2

1.Мостовой кран:

21;

2.Козловой кран:

.

4.      Экономическая часть

.1 Определение величины капитальных вложений

Вариант 1

В состав затрат перегрузочного процесса входит размер капиталовложений, необходимых для строительства, машин, установок, или отчислений на их эксплуатацию.

Смета капитальных затрат на строительство или эксплуатацию проектируемой установки

Таблица 5

Наименов оборудов или сооружения

Хаар-ки оборудов или сооруж

Единицы измер

Кол-во единиц

Стоим одной единицы, руб

Сумма, руб

Коэффициент амортиз отчислений, %

Портальный кран

Кондор

шт.

30

67 500 000

11,4

Автопогрузчик

КК-32

шт.

19

3 100 000

58 900 000

25,6

Итого

126400000



Учитывая стоимость перевозки и монтажа оборудования, добавляя к прейскурантной цене 15-20%, сумма капитальных вложений будет равна:

Смета капитальных затрат на строительство или эксплуатацию проектируемой установки при мостового перегружателя и автопогрузчика с телескопической стрелой

Таблица 6

Наименование оборудования или сооружения

Характеристики оборудования или сооружения

Единицы измерения

Количество единиц

Стоимость одной единицы, руб

Сумма, руб

Коэффициент амортизационных отчислений, %

Мостовой перегружатель

Коне

шт.

21

1 300 000

27 300 000

8,4

Козловой кран

Valmet

шт.

25

1 828 000

45 700 000

12,4

Итого

73 000 000



Учитывая стоимость перевозки и монтажа оборудования, добавляя к прейскурантной цене 15-20%, сумма капитальных вложений будет равна:

Вследствие физического или морального износа механическое оборудование с течением времени приходит в негодность.

Для капитального ремонта или приобретения нового оборудования производятся ежегодные отчисления, называемые амортизационными.

Подсчет расходов на амортизацию и ремонт оборудования представлены в табл.7,8.

Таблица 7Ведомость подсчёта расходов на амортизацию и текущий ремонт оборудования и сооружений при использовании портального и козлового кранов

Объект

Стоимость объектов, руб

Фактическое число часов работы

Процент отчислений

Суммарный расчет с учетом поправочного коэффициента

Сумма, руб




При Трасч=3000ч






на амортизацию

на текущий ремонт



Портальный кран

27 300 000

5160

11,4

1,0

21,3

5814900

Автопогрузчик

58 900 000

5160

25,6

2,0

27,5

16197500

Итого

22012400


Таблица 8 Ведомость подсчёта расходов на амортизацию и текущий ремонт оборудования и сооружений при использовании мостового перегружателя и автопогрузчика с телескопической стрелой

Стоимость объектов, руб

Фактическое число часов работы

Процент отчислений

Суммарный расчет с учетом поправочного коэффициента

Сумма, руб




При Трасч=3000ч






на амортизацию

на текущий ремонт



Мостовой перегружатель

27 200 000

5160

8,4

2,0

17,9

4 868 800

Козловой кран

45 700 000

5160

25,6

1,0

22,7

10373900

Итого

15242700


4.2    Определение расходов на содержание рабочих

Расходы на содержание рабочей силы складываются из расходов по заработной плате персонала, непосредственно обслуживающего механизма (повременная оплате труда), а также расходов по заработной плате рабочих, находящихся на сдельной оплате труда.

В соответствии с принятым оборудованием определяются расстановка рабочей силы, категории рабочих и число их в 1 смену.

Сводная ведомость составлена с условием категорий, количества и оплаты персонала (табл.9,10).

Таблица 9. Ведомость подсчёта заработной платы персонала, находящегося на повременной оплате труда при использовании портального и козлового кранов

Профессия, должность

Фактический штатный состав,чел.

Расчётный списочный состав, чел.

Зарплата, руб.


По сменам

Всего в сутки

При 2 выходных днях кс = 1

При непрерывной рабочей неделе

На одного рабочего в месяц

На списочный состав в месяц

На списочный состав в год


1

2







Крановщик портального крана

30

30

60


2.84

30 000

1800000

21600000

Оператор автопогрузчика с телескопической стрелой

19

19

48


2.84

30 000

1440000

17280000

Стропальщик

60

60

120


2.84

15 000

1800000

21600000

Итого

60480000


Оператор автопогрузчика с телескопической стрелой Таблица 10

Ведомость подсчёта заработной платы персонала, находящегося на повременной оплате труда при использовании мостового перегружателя и автопогрузчика

Фактический штатный состав,чел.

Расчётный списочный состав,чел.

Зарплата,руб.


По сменам

Всего в сутки

При 2 выходных днях кс = 1

При непрерывной рабочей неделе

На одного рабочего в месяц

На списочный состав в месяц

На списочный состав в год


1

2







Оператор мостового перегружателя

21

21

42


2.84

30 000

1260000

15120000

Крановщик козлового крана

15

15

30


2.84

30 000

900000

10800000

Стропальщик

16

16

32


2.84

15 000

480000

5760000

Итого

31680000


4.3    Определение расходов на электроэнергию, топливо и смазку

Расходы на электроэнергию, топливо и смазку, потребляемые подъемно - транспортным и другим механическим оборудованием установок, подсчитываются в зависимости от числа часов работы данного агрегата, нормы расхода топлива или электроэнергии и стоимости 1т горючего или 1 кВт∙ч электроэнергии.

Для машин непрерывного действия с электроприводом расчет ведется по фактическому времени их работы в установленной мощности двигателя:

         (20)

где N - мощность двигателя, кВт;

Тф- фактическое число часов работы механизма в год;

p - стоимость 1 кВт/ч электроэнергии, руб.

Расчет затрат на электроэнергию для одного механического оборудования:

Для машин с двигателями внутреннего сгорания расчет производится в зависимости от удельного расхода топлива 1 л.с.∙ч, руб:

 (21)

где: Тф- фактическое число часов работы механизма в год;

N - мощность двигателя, кВт;

q - удельный расход топлива, кг/л.с.;

p - стоимость 1 кг топлива или 1 кВтЧч электроэнергии, руб.

Расчет затрат для машин с двигателями внутреннего сгорания:

Расход энергии на освещение рабочей площадки:

    (22)

где: F - освещаемая площадь, м2;

B - норма расхода мощности, Вт/м2, зависящая от назначения освещаемой площади и составляющая для складов металлов и штучных грузов = 4 - 10 Вт/м2;

Тосв- число часов освещения в течение года, зависящее от географических

условий и числа смен, двухсменной - 2600 ч;

Росв- стоимость 1 кВт∙ч осветительной энергии, руб.

Расчет расхода энергии на освещение рабочей площадки:

Расход на смазку механического оборудования, установок:


Суммарные годовые расходы на электроэнергию, топливо и смазку составляют:

  (23)

Расчет суммарных годовых расходов на электроэнергию, топливо и смазку при использовании портального и автопогрузчика телескопической стрелой кранов:

Расчет суммарных годовых расходов на электроэнергию, топливо и смазку при использовании мостового перегружателя и козлового крана:


4.4   
Определение себестоимости переработки груза

(24)

где Эгод- суммарные годовые эксплуатационные расходы, руб.;

Qгод- годовой грузооборот.

Расчет себестоимости переработки груза при использовании портального и козлового кранов:

Расчет себестоимости переработки груза при использовании мостового перегружателя и автопогрузчика с телескопической стрелой:

Сравнение двух вариантов механизации перегрузочных работ (табл. 11).

Таблица 11. Сравнение вариантов перегрузочных работ

Наименование

Единицы измерения

Вариант 1

Вариант 2

1

Грузооборот

т/год

680000

680000

2

Единовременный запас, хранения или емкость, склад

шт.

2148

2148

3

Капитальные вложения (затраты)

руб.

151680000

687600000

4

Годовые эксплуатационные расходы,  в том числе - Отчисления на амортизацию и ремонт - Расходы на электроэнергию - Расходы на горюче - смазочные материалы - Расходы по зарплате - Численность рабочего персонала - Себестоимость переработки груза

руб.  руб. руб. руб. руб. чел. руб./т

182868864  22012400 221364 155100 60480000 228 237,3

47639724  15242700 561924 155100 31680000 104 199,2

5

Производительность труда

т/чел.т



Выводы

В данном курсовом проекте была разработана система комплексной механизации и автоматизации погрузочно-разгрузочных работ для перегрузки контейнеров.

При сравнении двух вариантов механизации по годовым эксплуатационным расходам более экономичным оказался вариант № 1 (использование портального крана и автопогрузчика с телескопической стрелой).

Список литературы

1.       Шведов В.Е., Шведов В.В. Механизация и автоматизация погрузочно-разгрузочных и складских работ на транспорте. Методические указания по курсовому и дипломному проектированию. Санкт-Петербург,2006.

2. Шведов В.Е., Шведов В.В. Механизация и автоматизация погрузочно-разгрузочных и складских работ на транспорте: Учебное пособие. Санкт-Петербург, 2006.

. Шведов В.Е., Иванова Н.В. Грузоведение: Учебное пособие/СПб ГУГА. С.-Петербург, 2007.

. Конспект лекций «Механизация и автоматизация погрузочно-разгрузочных работ на транспорте».