Материал: Проект оценки альтернативных стратегий развития железнодорожной сети России восточнее Урала

Внимание! Если размещение файла нарушает Ваши авторские права, то обязательно сообщите нам

Проект оценки альтернативных стратегий развития железнодорожной сети России восточнее Урала

КУРСОВАЯ РАБОТА

Проект оценки альтернативных стратегий развития железнодорожной сети России восточнее Урала


Задание


В данной работе изначально строим дерево целей, в котором определяем три уровня. В «корне» дерева определяется генеральная цель: «Создать к 2030 г. в Сибири и на Дальнем Востоке эффективную опорную железнодорожную сеть». На следующем уровне обозначаем четыре критерия (подцели):

политическая;

экономическая;

социальная;

военно-стратегическая.

Ранжирование критериев производится каждым из экспертов. Проставляется степень значимости каждого из представленных критериев для обозначений степени взаимосвязи. Наиболее важный критерий получает значение 1, менее предпочтительный - 2 и так далее в зависимости от их количества. Полученные данные вносятся в программу «ORDEX».

На следующем уровне определяем следующие подцели, приведенные на рисунке 1. Производим их ранжирование и заносим оценки каждого эксперта в программу ORDEX. В результате получаем весовые коэффициенты.

Используя полученные показатели, рассчитываем коэффициенты относительной важности по каждому сценарию:

·        Китай;

·        Япония;

·        Америка.

1.      Формирование дерева целей (W) и определение коэффициентов относительной важности (КОВ)


- Значение, которое получает самый важный критерий, 2 - менее важный и так далее в зависимости от их количества.

Сопоставительная таблица результатов личной и коллективной экспертиз дерева целей

Выбор 1 - Л.Э

0,03

0,06

0,02

0,07

0,24

0,13

0,09

0,03

0,05

0,15

0,04

0,08

Выбор 2 - К.Л.

0,055

0,021

0,004

0,129

0,182

0,448

0,068

0,016

0,016

0,027

0,015

0,018


Сравнение результатов индивидуальной и коллективной экспертиз

2.      Расчетные таблицы и формирование оценочной матрицы


Таблица 2.1. - Индивидуальная оценка (сценарий Китай)

Код подцели критериального среза

Коэффициент относительной важности

Оценки стратегий по их целевой эффективности



Стратегия 1

Стратегия 2

Стратегия 3



ранг

ordex

Метод Саати

Метод

ранг

ordex

Метод Саати

Метод

ранг

ordex

Метод Саати

Метод






Хуторецкого




Хуторецкого




Хуторецкого

0.1.1. Обеспечить целостность России

0,03

2

0,30

0,018

0,54

3

0,16

0,009

0,29

1

0,54

0,03

1,00

0.1.2. Обеспечить независимость внешней политик России

0,06

1

0,54

0,01

1,00

2

0,30

0,01

0,54

3

0,16

0,00

0,29

0.1.3. Обеспечить вхождение России в число стран-лидеров АТР

0,02

1

0,54

0,016

1,00

2

0,30

0,01

0,54

3

0,16

0,01

0,29

0.2.1. Изменить конфигурацию мировых рынков транспортных услуг

0,07

1

0,54

0,04

1,00

2

0,30

0,02

0,54

3

0,16

0,01

0,29

0.2.2. Обеспечить доступность природных ресурсов Сибири и ДВ

0,24

2

0,30

0,07

0,54

1

0,54

0,13

1,00

3

0,16

0,04

0,29

0.2.3. Обеспечить рентабельный международный транзит через Сибирь и ДВ

0,13

2

0,30

0,04

0,54

1

0,54

0,07

1,00

3

0,16

0,02

0,29

0.3.1. Ликвидировать оторванность жителей Сибири и ДВ от культурных центров страны

0,09

2

0,30

0,03

0,54

3

0,16

0,01

0,29

1

0,54

0,05

1,00

0.3.2. Создать условия для реализации конституционных прав граждан на свободу перемещения

0,03

2

0,30

0,01

0,54

3

0,16

0,00

0,29

1

0,54

0,02

1,00

0.3.3. Обеспечить социально приемлемлемый для большинства уровень железнодорожных тарифов

0,05

2

0,30

0,01

0,54

3

0,16

0,01

0,29

1

0,54

0,03

1,00

0.4.1. Обеспечить развертывания сил и средств в случае глобального вооруженного конфликта

0,15

1

0,54

0,08

1,00

3

0,16

0,02

0,29

2

0,30

0,04

0,54

0.4.2. Обеспечить передислокацию сил и средств в случае локального конфликта

0,04

1

0,54

0,02

1,00

3

0,16

0,01

0,29

2

0,30

0,01

0,54

0.4.3. Обеспечить рассредоточение населения и промышленных объектов в случае конфликта

0,08

2

0,30

0,02

0,54

3

0,16

0,01

0,29

1

0,54

0,04

1,00





0,37

0,694



0,32

0,59



0,30

0,536
















Таблица 2.2. - Коллективная оценка (сценарий Китай)

Код подцели критериального среза

Коэффициенты относительной важности

Оценки стратегий по их целевой эффективности



Стратегия 1

Стратегия 2

Стратегия 3



ранг

ordex

Метод Саати

Метод

ранг

ordex

Метод Саати

Метод

ранг

ordex

Метод Саати

Метод






Хуторецкого




Хуторецкого




Хуторецкого

0.1.1. Обеспечить целостность России

0,055

1

0,699

0,038

1,000

2

0,169

0,009

0,242

3

0,132

0,007

0,189

0.1.2. Обеспечить независимость внешней политик России

0,021

2

0,378

0,008

0,792

1

0,477

0,010

1,000

3

0,145

0,003

0,304

0.1.3. Обеспечить вхождение России в число стран-лидеров АТР

0,004

2

0,340

0,001

0,596

1

0,570

0,002

1,000

3

0,090

0,000

0,158

0.2.1. Изменить конфигурацию мировых рынков транспортных услуг

0,129

1

0,881

0,114

1,000

2

0,093

0,012

0,106

3

0,026

0,003

0,030

0.2.2. Обеспечить доступность природных ресурсов Сибири и ДВ

0,182

2

0,146

0,027

0,176

1

0,828

0,151

1,000

3

0,026

0,005

0,031

0.2.3. Обеспечить рентабельный международный транзит через Сибирь и ДВ

0,448

1

0,683

0,306

1,000

2

0,236

0,106

0,346

3

0,081

0,036

0,119

0.3.1. Ликвидировать оторванность жителей Сибири и ДВ от культурных центров страны

0,068

3

0,405

0,028

3

0,077

0,005

0,149

1

0,518

0,035

1,000

0.3.2. Создать условия для реализации конституционных прав граждан на свободу перемещения

0,016

2

0,077

0,001

0,086

3

0,032

0,001

0,036

1

0,891

0,014

1,000

0.3.3. Обеспечить социально приемлемлемый для большинства уровень железнодорожных тарифов

0,016

1

0,487

0,008

1,000

3

0,063

0,001

0,129

2

0,450

0,007

0,924

0.4.1. Обеспечить развертывания сил и средств в случае глобального вооруженного конфликта

0,027

1

0,696

0,019

1,000

2

0,183

0,005

0,263

3

0,121

0,003

0,174

0.4.2. Обеспечить передислокацию сил и средств в случае локального конфликта

0,015

1

0,888

0,013

1,000

2

0,063

0,001

0,071

3

0,049

0,001

0,055

0.4.3. Обеспечить рассредоточение населения и промышленных объектов в случае конфликта

0,018

1

0,448

0,008

1,000

3

0,231

0,004

0,516

2

0,321

0,006

0,717





0,571

0,809



0,307

0,418



0,121

0,196


Табл.2.3. - Индивидуальная оценка (сценарий Япония)

Код подцели критериального среза

Коэффициенты относительной важности

Оценки стратегий по их целевой эффективности



Стратегия 1

Стратегия 2

Стратегия 3



ранг

ordex

Метод Саати

Метод

ранг

ordex

Метод Саати

Метод

ранг

ordex

Метод Саати

Метод






Хуторецкого




Хуторецкого




Хуторецкого

0.1.1. Обеспечить целостность России

0,03

1

0,54

0,016

1,00

3

0,160

0,005

0,30

2

0,296

0,009

0,55

0.1.2. Обеспечить независимость внешней политик России

0,06

1

0,54

0,032

1,00

2

0,296

0,018

0,55

3

0,160

0,010

0,30

0.1.3. Обеспечить вхождение России в число стран-лидеров АТР

0,02

2

0,29

0,006

0,53

1

0,544

0,011

1,00

3

0,160

0,003

0,29

0.2.1. Изменить конфигурацию мировых рынков транспортных услуг

0,07

1

0,54

0,038

1,00

2

0,296

0,021

0,55

3

0,160

0,011

0,30

0.2.2. Обеспечить доступность природных ресурсов Сибири и ДВ

0,24

2

0,296

0,071

0,54

1

0,544

0,131

1,00

3

0,160

0,038

0,29

0.2.3. Обеспечить рентабельный международный транзит через Сибирь и ДВ

0,13

1

0,544

0,071

1,00

3

0,160

0,021

0,29

2

0,296

0,038

0,54

0.3.1. Ликвидировать оторванность жителей Сибири и ДВ от культурных центров страны

0,09

2

0,296

0,027

0,54

3

0,160

0,014

0,29

1

0,544

0,049

1,00

0.3.2. Создать условия для реализации конституционных прав граждан на свободу перемещения

0,03

1

0,544

0,016

1,00

3

0,160

0,005

0,29

2

0,296

0,009

0,54

0.3.3. Обеспечить социально приемлемлемый для большинства уровень железнодорожных тарифов

0,05

2

0,296

0,015

0,54

3

0,160

0,008

0,29

1

0,544

0,027

1,00

0.4.1. Обеспечить развертывания сил и средств в случае глобального вооруженного конфликта

0,15

1

0,544

0,082

1,00

2

0,296

0,044

0,54

3

0,160

0,024

0,29

0.4.2. Обеспечить передислокацию сил и средств в случае локального конфликта

0,04

1

0,544

0,022

1,00

3

0,160

0,006

0,29

2

0,296

0,012

0,54

0.4.3. Обеспечить рассредоточение населения и промышленных объектов в случае конфликта

0,08

2

0,296

0,024

0,54

3

0,160

0,013

0,29

1

0,544

0,044

1,00





0,419

0,771



0,296

0,545



0,274

0,504















Табл.2.4. - Коллективная оценка (сценарий Япония)

Код подцели критериального среза

Коэффициенты относительной важности

Оценки стратегий по их целевой эффективности



Стратегия 1

Стратегия 2

Стратегия 3



ранг

ordex

Метод Саати

Метод

ранг

ordex

Метод Саати

Метод

ранг

ordex

Метод Саати

Метод






Хуторецкого




Хуторецкого




Хуторецкого

0.1.1. Обеспечить целостность России

0,050

1

0,575

0,029

1,000

2

0,265

0,013

0,461

3

0,16

0,008

0,278

0.1.2. Обеспечить независимость внешней политик России

0,021

1

0,504

0,011

1,000

2

0,308

0,006

0,611

3

0,188

0,004

0,373

0.1.3. Обеспечить вхождение России в число стран-лидеров АТР

0,004

2

0,275

0,001

0,419

1

0,656

0,003

1,000

3

0,069

0,000

0,105

0.2.1. Изменить конфигурацию мировых рынков транспортных услуг

0,129

1

0,584

0,075

1,000

0,399

0,051

0,683

3

0,017

0,002

0,029

0.2.2. Обеспечить доступность природных ресурсов Сибири и ДВ

0,182

3

0,218

0,040

0,422

1

0,517

0,094

1,000

2

0,265

0,048

0,513

0.2.3. Обеспечить рентабельный международный транзит через Сибирь и ДВ

0,448

1

0,694

0,311

1,000

2

0,217

0,097

0,313

3

0,089

0,040

0,128

0.3.1. Ликвидировать оторванность жителей Сибири и ДВ от культурных центров страны

0,068

1

0,444

0,030

1,000

3

0,211

0,014

0,475

2

0,345

0,023

0,777

0.3.2. Создать условия для реализации конституционных прав граждан на свободу перемещения

0,016

2

0,291

0,005

0,608

3

0,23

0,004

0,480

1

0,479

0,008

1,000

0.3.3. Обеспечить социально приемлемлемый для большинства уровень железнодорожных тарифов

0,016

2

0,356

0,006

0,925

3

0,259

0,004

0,673

1

0,385

0,006

1,000

0.4.1. Обеспечить развертывания сил и средств в случае глобального вооруженного конфликта

0,027

1

0,578

0,016

1,000

2

0,242

0,007

0,419

3

0,18

0,005

0,311

0.4.2. Обеспечить передислокацию сил и средств в случае локального конфликта

0,015

1

0,66

0,010

1,000

3

0,153

0,002

0,232

2

0,187

0,003

0,283

0.4.3. Обеспечить рассредоточение населения и промышленных объектов в случае конфликта

0,018

2

0,306

0,006

0,789

2

0,306

0,006

0,789

1

0,388

0,007

1,000





0,538

0,875



0,302

0,530



0,154

0,292



Табл.2.5. - Индивидуальная оценка (сценарий Америка)

Код подцели критериального среза

Коэффициенты относительной важности

Оценки стратегий по их целевой эффективности



Стратегия 1

Стратегия 2

Стратегия 3



ранг

ordex

Метод Саати

Метод

ранг

ordex

Метод Саати

Метод

ранг

ordex

Метод Саати

Метод






Хуторецкого




Хуторецкого




Хуторецкого

0.1.1. Обеспечить целостность России

0,03

3

0,16

0,005

0,29

1

0,544

0,016

1,00

2

0,296

0,009

0,54

0.1.2. Обеспечить независимость внешней политик России

0,06

2

0,296

0,018

0,54

3

0,16

0,010

0,29

1

0,544

0,033

1,00

0.1.3. Обеспечить вхождение России в число стран-лидеров АТР

0,02

1

0,544

0,011

1,00

2

0,296

0,006

0,54

3

0,16

0,003

0,29

0.2.1. Изменить конфигурацию мировых рынков транспортных услуг

0,07

1

0,544

0,038

1,00

2

0,269

0,019

0,49

3

0,16

0,011

0,29

0.2.2. Обеспечить доступность природных ресурсов Сибири и ДВ

0,24

3

0,16

0,038

0,29

1

0,544

0,131

1,00

2

0,296

0,071

0,54

0.2.3. Обеспечить рентабельный международный транзит через Сибирь и ДВ

0,13

1

0,544

0,071

1,00

3

0,16

0,021

0,29

2

0,296

0,038

0,54

0.3.1. Ликвидировать оторванность жителей Сибири и ДВ от культурных центров страны

0,09

2

0,296

0,027

0,54

3

0,16

0,014

0,29

1

0,544

0,049

1,00

0.3.2. Создать условия для реализации конституционных прав граждан на свободу перемещения

0,03

2

0,296

0,009

1,00

3

0,16

0,005

0,54

1

0,296

0,009

1,00

0.3.3. Обеспечить социально приемлемлемый для большинства уровень железнодорожных тарифов

0,05

1

0,544

0,027

1,00

2

0,296

0,015

0,54

3

0,16

0,008

0,29

0.4.1. Обеспечить развертывания сил и средств в случае глобального вооруженного конфликта

0,15

1

0,544

0,082

1,00

2

0,296

0,044

0,54

3

0,16

0,024

0,29

0.4.2. Обеспечить передислокацию сил и средств в случае локального конфликта

0,04

1

0,544

0,022

1,00

3

0,16

0,006

0,29

2

0,296

0,012

0,54

0.4.3. Обеспечить рассредоточение населения и промышленных объектов в случае конфликта

0,08

1

0,544

0,044

1,00

3

0,16

0,013

0,29

2

0,296

0,024

0,54





0,39

0,731



0,300

0,558



0,291

0,548

















Табл.2.6. - Коллективная оценка (сценарий Америка)

Код подцели критериального среза

Коэффициенты относительной важности

Оценки стратегий по их целевой эффективности



Стратегия 1

Стратегия 2

Стратегия 3



ранг

ordex

Метод Саати

Метод

ранг

ordex

Метод Саати

Метод

ранг

ordex

Метод Саати

Метод






Хуторецкого




Хуторецкого




Хуторецкого

0.1.1. Обеспечить целостность России

0,055

1

0,505

0,028

1,000

2

0,022

0,788

3

0,097

0,005

0,192

0.1.2. Обеспечить независимость внешней политик России

0,021

1

0,444

0,009

1,000

2

0,345

0,007

0,777

3

0,211

0,004

0,475

0.1.3. Обеспечить вхождение России в число стран-лидеров АТР

0,004

3

0,243

0,001

0,475

1

0,512

0,002

1,000

2

0,245

0,001

0,479

0.2.1. Изменить конфигурацию мировых рынков транспортных услуг

0,129

1

0,754

0,097

1,000

2

0,21

0,027

0,279

3

0,036

0,005

0,048

0.2.2. Обеспечить доступность природных ресурсов Сибири и ДВ

0,182

3

0,091

0,017

0,121

1

0,75

0,137

1,000

2

0,159

0,029

0,212

0.2.3. Обеспечить рентабельный международный транзит через Сибирь и ДВ

0,448

1

0,747

0,335

1,000

3

0,121

0,054

0,162

2

0,132

0,059

0,177

0.3.1. Ликвидировать оторванность жителей Сибири и ДВ от культурных центров страны

0,068

2

0,306

0,021

0,504

3

0,087

0,006

0,143

1

0,607

0,041

1,000

0.3.2. Создать условия для реализации конституционных прав граждан на свободу перемещения

0,016

3

0,129

0,002

0,198

2

0,218

0,003

0,334

1

0,653

0,010

1,000

0.3.3. Обеспечить социально приемлемлемый для большинства уровень железнодорожных тарифов

0,016

1

0,412

0,007

1,000

3

0,235

0,004

0,570

2

0,353

0,006

0,857

0.4.1. Обеспечить развертывания сил и средств в случае глобального вооруженного конфликта

0,027

1

0,779

0,021

1,000

3

0,086

0,002

0,110

2

0,135

0,004

0,173

0.4.2. Обеспечить передислокацию сил и средств в случае локального конфликта

0,015

1

0,57

0,009

1,000

3

0,125

0,002

0,219

2

0,305

0,005

0,535

0.4.3. Обеспечить рассредоточение населения и промышленных объектов в случае конфликта

0,018

1

0,575

0,010

1,000

3

0,16

0,003

0,278

2

0,265

0,005

0,461





0,556

0,790



0,269

0,389



0,174

0,265



Табл. 2.7. Оценочная матрица альтернативных вариантов Саати (индивидуальная)

Сценарии xj» X» Альтернативы xi’ X’

x1» x2» x3»


К(Китай)

Я(Япония)

А(Америка)

x1’ - Транспортно-ориентированная

0,379

0,419

0,403

x2’ - Ресурсо-ориентированная

0,320

0,30

0,284

x3’ - Социально-ориентированная

0,291

0,275

0,303

Табл. 2.8. Оценочная матрица альтернативных вариантов Хуторецкого (индивидуальная)

Сценарии xj»Î X» Альтернативы xi’X’

x1» x2» x3»


К(Китай)

Я(Япония)

А(Америка)

x1’ - Транспортно-ориентированная

0,694

0,771

0,731

x2’ - Ресурсо-ориентированная

0,59

0,545

0,558

x3’ - Социально-ориентированная

0,536

0,504

0,548

Таблица 2.9 - Оценочная матрица альтернативных вариантов (Коллективная, Саати)

Сценарии xj» X» Альтернативы xi’ X’

x1» x2» x3»


К(Китай)

Я(Япония)

А(Америка)

x1’ - Транспортно-ориентированная

0,571

0,541

0,556

x2’ - Ресурсо-ориентированная

0,307

0,303

0,269

x3’ - Социально-ориентированная

0,121

0,155

0,174


Таблица 2.10 - Оценочная матрица альтернативных вариантов (Коллективная, Хуторецкий)

Сценарии xj» X» Альтернативы xi’ X’

x1» x2» x3»


К(Китай)

Я(Япония)

А(Америка)

x1’ - Транспортно-ориентированная

0,809

0,875

0,790

x2’ - Ресурсо-ориентированная

0,418

0,530

0,389

x3’ - Социально-ориентированная

0,196

0,292

0,265



3.      Экономико-математическая модель выбора стратегий

.1 Оценочная матрица альтернативных вариантов Саати (индивидуальная)

Сценарии xj» X» Альтернативы xi’ X’

x1» x2» x3»


К(Китай)

Я(Япония)

А(Америка)

x1’ - Транспортно-ориентированная

0,379

0,419

0,403

x2’ - Ресурсо-ориентированная

0,320

0,30

0,284

x3’ - Социально-ориентированная

0,291

0,275

0,303


Максимальное правило Вальда (индивидуальная)

Сценарии xj» X» Альтернативы xi’ X’

x1» x2» x3»


К(Китай)

Я(Япония)

А(Америка)

x1’ - Транспортно-ориентированная

0,379

0,419

0,403

x2’ - Ресурсо-ориентированная

0,320

0,30

0,284

x3’ - Социально-ориентированная

0,291

0,275

0,303



U*=0,379;

Лучшей является стратегия 1

Максимальное правило Вальда (коллективная)

Сценарии xj» X» Альтернативы xi’ X’

x1» x2» x3»


К(Китай)

Я(Япония)

А(Америка)

x1’ - Транспортно-ориентированная

0,571

0,541

0,556

x2’ - Ресурсо-ориентированная

0,307

0,303

0,269

x3’ - Социально-ориентированная

0,121

0,155

0,174




U*=0,541;

Лучшая стратегия - 1

Правило Сэвиджа (индивидуальная оценка)

Сценарии xj» X» Альтернативы xi’ X’

x1» x2» x3»


К(Китай)

Я(Япония)

А(Америка)

x1’ - Транспортно-ориентированная

0

0

0

x2’ - Ресурсо-ориентированная

0,059

0,119

0,119

x3’ - Социально-ориентированная

0,088

0,144

0,1



U*=0,144, следовательно 3 стратегия самая предпочтительная.

Правило Сэвиджа (коллективная оценка)

Сценарии xj» X» Альтернативы xi’ X’

x1» x2» x3»


К(Китай)

Я(Япония)

А(Америка)

x1’ - Транспортно-ориентированная

0

0

0

x2’ - Ресурсо-ориентированная

0.264

0.238

0.287

x3’ - Социально-ориентированная

0.45

0.386

0.382


U*=0.287

Лучшая стратегия - 2

Правило максимакса

Индивидуальная оценка:

U*=0,419; лучшей является стратегия 1 - пассивная.

Коллективная оценка:

U*=0.571

Лучшая стратегия - 1

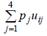
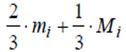
Правило Гурвица (индивидуальная оценка)

Сценарии xj» X» Альтернативы xi’ X’

x1» x2» x3»

 mi

 Mi


К(Китай)

Я(Япония)

А(Америка)

 

 

 

x1’ - Транспортно-ориентированная

0,379

0,419

0,403

0,379

0,419

0,392

x2’ - Ресурсо-ориентированная

0,320

0,30

0,284

0,284

0,320

0,296

x3’ - Социально-ориентированная

0,291

0,275

0,303

0,275

0,303

0,284

U*=0,392

Наиболее предпочтительной является стратегия 1 - агрессивная

Правило Гурвица (коллективная оценка)

Сценарии xj» X» Альтернативы xi’ X’

x1» x2» x3»

 mi

 Mi


К(Китай)

Я(Япония)

А(Америка)

 

 

 

x1’ - Транспортно-ориентированная

0,571

0,541

0,556

0,541

0,571

0,551

x2’ - Ресурсо-ориентированная

0,307

0,303

0,269

0,269

0,307

0,281667

x3’ - Социально-ориентированная

0,121

0,155

0,174

0,121

0,174

0,138667


U*=0,551

Лучшая стратегия - 1

Правило Лапласа (индивидуальная оценка)

Сценарии xj» X» Альтернативы xi’ X’

x1» x2» x3»



К(Китай)

Я(Япония)

А(Америка)

x1’ - Транспортно-ориентированная

0,379

0,419

0,403

0,400

x2’ - Ресурсо-ориентированная

0,320

0,30

0,284

0,301

x3’ - Социально-ориентированная

0,291

0,275

0,303

0,290



U*=0,400; Наиболее предпочтительной является стратегия 1 - пассивная.

Правило Лапласа (коллективная оценка)

Сценарии xj» X» Альтернативы xi’ X’

x1» x2» x3»



К(Китай)

Я(Япония)

А(Америка)

x1’ - Транспортно-ориентированная

0,571

0,541

0,556

0,556

x2’ - Ресурсо-ориентированная

0,307

0,303

0,269

0,293

x3’ - Социально-ориентированная

0,121

0,155

0,174

0,15


U*=0,556

Лучшая стратегия - 1

Правило Байеса (индивидуальная оценка)

Сценарии xj» X» Альтернативы xi’ X’

x1» x2» x3»



К(Китай)

Я(Япония)

А(Америка)

x1’ - Транспортно-ориентированная

0,379

0,419

0,403

0,404

x2’ - Ресурсо-ориентированная

0,320

0,30

0,284

0,303

x3’ - Социально-ориентированная

0,291

0,275

0,303

0,284

Вероятность pi

0,3

0,54

0,16




U*=0,404; Лучшей является стратегия 1 - пассивная

Правило Байеса (коллективная оценка)

Сценарии xj» X» Альтернативы xi’ X’

x1» x2» x3»



К(Китай)

Я(Япония)

А(Америка)

x1’ - Транспортно-ориентированная

0,571

0,541

0,556

0,566

x2’ - Ресурсо-ориентированная

0,307

0,303

0,269

0,302

x3’ - Социально-ориентированная

0,121

0,155

0,174

0,130

Вероятность pi

0,789

0,101

0,109



U*=0,566

Лучшая стратегия - 1

3.2 Оценочная матрица альтернативных вариантов Хуторецкого

Сценарии xj» X» Альтернативы xi’ X’

x1» x2» x3»


К(Китай)

Я(Япония)

А(Америка)

x1’ - Транспортно-ориентированная

0,694

0,771

0,731

x2’ - Ресурсо-ориентированная

0,59

0,545

0,558

x3’ - Социально-ориентированная

0,536

0,504

0,548

Максимальное правило Вальда (индивидуальная)

Сценарии xj» X» Альтернативы xi’ X’

x1» x2» x3»


К(Китай)

Я(Япония)

А(Америка)

x1’ - Транспортно-ориентированная

0,694

0,771

0,731

x2’ - Ресурсо-ориентированная

0,59

0,545

0,558

x3’ - Социально-ориентированная

0,536

0,504

0,548



U*=0,694;

Лучшей является стратегия 1

Максимальное правило Вальда (коллективная)

Сценарии xj» X» Альтернативы xi’ X’

x1» x2» x3»


К(Китай)

Я(Япония)

А(Америка)

x1’ - Транспортно-ориентированная

0,781

0,622

0,637

x2’ - Ресурсо-ориентированная

0,426

0,784

0,766

x3’ - Социально-ориентированная

0,627

0,446

0,499



U*=0,622; Лучшая стратегия - 1

Правило Сэвиджа (индивидуальная оценка)

Сценарии xj» X» Альтернативы xi’ X’

x1» x2» x3»


К(Китай)

Я(Япония)

А(Америка)

x1’ - Транспортно-ориентированная

0

0

0

x2’ - Ресурсо-ориентированная

0,104

0,226

0,173

x3’ - Социально-ориентированная

0,158

0,267

0,183




U*=0,226, следовательно 2 стратегия самая предпочтительная.

Правило Сэвиджа (коллективная оценка)

Сценарии xj» X» Альтернативы xi’ X’

x1» x2» x3»


К(Китай)

Я(Япония)

А(Америка)

x1’ - Транспортно-ориентированная

0

0

0

x2’ - Ресурсо-ориентированная

0,391

0,345

0,401

x3’ - Социально-ориентированная

0,613

0,583

0,525


U*=0,401

Лучшая стратегия - 2

Правило максимакса

Индивидуальная оценка:

U*=0,771; лучшей является стратегия 1 - пассивная.

Коллективная оценка:

U*=0,875;

Лучшая стратегия - 1

Правило Гурвица (индивидуальная оценка)

Сценарии xj» X» Альтернативы xi’ X’

x1» x2» x3»

mi

Mi


К(Китай)

Я(Япония)

А(Америка)

 

 

 

x1’ - Транспортно-ориентированная

0,694

0,771

0,731

0,694

0,771

0,720

x2’ - Ресурсо-ориентированная

0,59

0,545

0,558

0,545

0,59

0,560

x3’ - Социально-ориентированная

0,536

0,504

0,548

0,504

0,548

0,519





U*=0,720

Наиболее предпочтительной является стратегия 1 - агрессивная

Правило Гурвица (коллективная оценка)

Сценарии xj» X» Альтернативы xi’ X’

x1» x2» x3»

 mi

 Mi


К(Китай)

Я(Япония)

А(Америка)

 

 

 

x1’ - Транспортно-ориентированная

0,809

0,875

0,79

0,79

0,875

0,818333

x2’ - Ресурсо-ориентированная

0,418

0,53

0,389

0,389

0,53

0,436

x3’ - Социально-ориентированная

0,196

0,292

0,265

0,196

0,292

0,228


U*=0,818

Лучшая стратегия - 1

Правило Лапласа (индивидуальная оценка)

Сценарии xj» X» Альтернативы xi’ X’

x1» x2» x3»



К(Китай)

А(Америка)

x1’ - Транспортно-ориентированная

0,694

0,771

0,731

0,732

x2’ - Ресурсо-ориентированная

0,59

0,545

0,558

0,564

x3’ - Социально-ориентированная

0,536

0,504

0,548

0,529



U*=0,732; Наиболее предпочтительной является стратегия 1 - пассивная.

Правило Лапласа (коллективная оценка)

Сценарии xj» X» Альтернативы xi’ X’

x1» x2» x3»



К(Китай)

Я(Япония)

А(Америка)

x1’ - Транспортно-ориентированная

0,809

0,875

0,79

0,825

x2’ - Ресурсо-ориентированная

0,418

0,53

0,389

0,446

x3’ - Социально-ориентированная

0,196

0,292

0,265

0,251


U*=0,825

Лучшая стратегия - 1

Правило Байеса (индивидуальная оценка)

Сценарии xj» X» Альтернативы xi’ X’

x1» x2» x3»



К(Китай)

Я(Япония)

А(Америка)

x1’ - Транспортно-ориентированная

0,694

0,771

0,731

0,742

x2’ - Ресурсо-ориентированная

0,59

0,545

0,558

0,561

x3’ - Социально-ориентированная

0,536

0,504

0,548

0,521

Вероятность pi

0,3

0,54

0,16




U*=0,742; Лучшей является стратегия 1 - пассивная

Правило Байеса (коллективная оценка)

Сценарии xj» X» Альтернативы xi’ X’

x1» x2» x3»



К(Китай)

Я(Япония)

А(Америка)

x1’ - Транспортно-ориентированная

0,809

0,875

0,79

0,813

x2’ - Ресурсо-ориентированная

0,418

0,53

0,389

0,426

x3’ - Социально-ориентированная

0,196

0,292

0,265

0,213

Вероятность pi

0,789

0,101

0,109



U*=0,813

Лучшая стратегия - 1

Индивидуальная оценка

Адаптивные критерии

Альтернативы


I

II

III

Вальда

*



Максимакса

*



Сэвиджа


*


Гурвица (а=0,66)

*



Лапласа

*



Байеса

*




Коллективная оценка

Адаптивные критерии

Альтернативы


I

II

III

Вальда

*



Максимакса

*



Сэвиджа


*


Гурвица (а=0,66)

*



Лапласа

*



Байеса

*






4. Оценка согласованности мнений экспертов


Согласованность мнений экспертов оценивается с помощью коэффициента конкордации W, т.е. коэффициента множественной корреляции рангов для группы, состоящей из n экспертов.

Таблица 4.1 - Согласованность экспертных оценок для подцелей

Эксперты

Подцели

Расчет


1

2

3

4


1

2

3

1

4


2

2

4

3

1


3

2

3

4

1


4

2

1

3

4


5

2

1

3

4


6

2

3

4

1


7

3

1

4

2


8

2

1

4

3


9

2

1

3

4


10

4

3

2

1


11

2

3

1

4


12

2

3

4

1


13

2

3

1

4


14

2

1

3

4


15

2

1

4

3


16

2

1

4

3


17

2

1

3

4


сумма рангов

38

36

54

52

45

отклонение суммы рангов от средней

-7

-9

9

7

0

квадраты отклонений

49

81

81

49

260


W= 0,179931;

Χ2факт= 9,176471

Χ2табл= 7,81

Так как наблюдаемое (расчетное) значение критерия c2оказалось выше табличного (критического) - c2факт = 9,176471> c2таб = 7,81, то гипотеза об отсутствии значимой связи между переменными (экспертными оценками) должна быть отвергнута, и делается вывод о том, что существует неслучайная согласованность мнений экспертов.

Таблица 4.2. Расширенная матрица для расчета коэффициента конкордации для первой подцели

Эксперты

Подцели

Расчет


1

2

3


1

1

2

3


2

2

1

3


3

1

3

2


4

2

1

3


5

2

1

3


6

1

3

2


7

1

2

3


8

2

1

3


9

1

3

2


10

1

2

3


11

1

2

3


12

1

3

2


13

1

2

3


14

1

2

3


15

2

1

3


16

2

1

3


17

2

1

3


сумма рангов

25

33

50

36

отклонение суммы рангов от средней

-11

-3

14

0

квадраты отклонений

121

9

196

326

W=0,564014;

Χ2факт=19,17647

Χ2табл= 5,99

Так как χ2факт=19,17647> χ2табл= 5,99 отвергаем гипотезу об отсутствии связи между экспертными оценками, существует неслучайная согласованность.

Таблица 4.3. Расширенная матрица для расчета коэффициента конкордации для второй подцели

Эксперты

Подцели

Расчет


1

3


1

2

3

1


2

2

3

1


3

1

3

2


4

3

1

2


5

3

1

2


6

3

2

1


7

1

3

2


8

3

1

2


9

3

1

2


10

3

2

1


11

3

2

1


12

3

2

1


13

2

3

1


14

3

1

2


15

1

2

3


16

2

3

1


17

3

1

2


сумма рангов

42

36

30

36

отклонение суммы рангов от средней

6

0

-6

0

квадраты отклонений

36

0

36

72

W= 0,124567;

Χ2факт= 4,235294

Χ2табл= 5,99

Так как χ2факт= 4,235294< χ2табл= 5,99, то нет основания, отвергнуть гипотезу об отсутствии связи между экспертными оценками, мнение не согласованно.


Таблица 4.4. Расширенная матрица для расчета коэффициента конкордации для третьей подцели

Эксперты

Подцели

Расчет


1

2

3


1

2

1

3


2

1

3

2


3

1

2

3


4

1

3

2


5

1

3

2


6

1

3

2


7

3

2

1


8

2

1

3


9

1

3

2


10

1

3

2


11

1

2

3


12

1

3

2


13

1

3

2


14

1

3

2


15

2

1

3


16

2

3

1


17

1

3

2


сумма рангов

24

44

40

36

отклонение суммы рангов от средней

-12

8

4

0

квадраты отклонений

144

64

16

224

W= 0,387543;

Χ2факт= 13,17647

Χ2табл= 5,99

Так как χ2факт= 13,17647> χ2табл= 5,99 отвергаем гипотезу об отсутствии связи между экспертными оценками, существует неслучайная согласованность.


Таблица 4.5. Расширенная матрица для расчета коэффициента конкордации для четвертой подцели

Эксперты

Подцели

Расчет


1

2

3


1

2

1

3


2

1

3

2


3

2

1

3


4

3

1

2


5

3

1

2


6

1

3

2


7

3

1

2


8

3

1

2


9

1

3

2


10

1

2

3


11

1

2

3


12

2

1

3


13

2

3

1


14

3

1

2


15

2

1

3


16

1

3

2


17

2

3

1


сумма рангов

34

33

41

36

отклонение суммы рангов от средней

-2

-3

5

0

квадраты отклонений

4

9

25

38

матрица саати конкордация

W= 0,065744;

Χ2факт= 2,235294

Χ2табл= 5,99

Так как χ2факт= 2,235294< χ2табл= 5,99, то нет основания, отвергнуть гипотезу об отсутствии связи между экспертными оценками, мнение не согласованно.


Вывод

По результатам оценки конкурирующих стратегий развития железнодорожной сети России (восточнее Урала), полученных в данной работе, можно сделать вывод, что предпочтительной стратегией развития железнодорожной сети России (восточнее Урала) является стратегия I - Транспортно-ориентированная.

Данный вывод является инструментальным и основывается на проведенном в данной работе сравнении методом Хуторецкого (при трансформации порядковых оценок в количественные) с методом Саати. Смысл полученного результата состоит в том, что оба метода дают одинаковые результаты, следовательно, выбор наиболее предпочтительной стратегии, выполненный в процессе работы, является устойчивым.


Список литературы

1. Кибалов Е.Б., Пахомова Г.Ф. Стратегический менеджмент; Учеб.пособие. - Новосибирск: Изд-во СГУПСа, 2004. - 160 с.;

. Системный анализ ожидаемой эффективности крупномасштабных инвестиционных проектов на железнодорожном транспорте: Учебное пособие / Е.Б. Кибалов, С.В. Минин, В.П. Нехорошков, Е.В. Нехоршков, Г.Ф. Пахомова, К.А. Пахомов, М.В. Пятаев, С.В. Романкевич, А.Б. Хуторецкий. - Новосибирск: Изд-во СГУПСа. 2007. - 156 с.