Материал: Контрольный тест за 6 семестр

Внимание! Если размещение файла нарушает Ваши авторские права, то обязательно сообщите нам

Бизнес-функции – 4.

Технологические операции – 5.

Миниспецификации – 6.

Укажите в порядке возрастания степени детализации уровни модели Захмана:

Контекст – 1.

Модель бизнеса – 2.

Системная модель – 3.

Технологическая модель – 4.

Детальное представление – 5.

Укажите особенности, характеризующие технологию канонического проектирования:

a) Применение типовых проектных решений.

  • b) Отсутствие автоматизации проектных работ.

  • c) Разработка программного кода на алгоритмических языках «вручную».

d) Быстрое итеративное макетирование.

e) Разработка ИС ведется в соответствии со спиральной моделью жизненного цикла.

Укажите основные блоки в составе типового проектного решения, используемого в технологии типового параметрически-ориентированного проектирования:

a) Блок оценки результатов функционирования.

  • b) Блок функционирования.

  • c) Блок адаптации.

d) Блок обработки типовых моделей.

  • e) Блок обработки параметров.

Укажите основные принципы создания ИС:

a) Принцип первого руководителя.

b) Принцип однократного ввода данных.

  • c) Принцип экономической эффективности.

  • d) Принцип стандартизации.

  • e) Принцип развития.

Укажите основных участников этапа сбора данных:

  • a) Ключевые пользователи.

  • b) Руководитель предприятия-заказчика.

  • c) Бизнес-аналитики.

d) Программисты.

e) Служба эксплуатации.

Укажите преимущества внедрения типового проектного решения перед разработкой ИС собственными силами предприятия:

  • a) Обеспечение целостности системы.

b) Обеспечение независимости от внешних факторов.

c) Максимальная ориентация на реализацию бизнес-процессов предприятия.

  • d) Модульный принцип внедрения.

Укажите принципы реинжиниринга:

  • a) Уменьшение количества проверок и управляющих воздействий.

b) Высокие затраты на согласование и контроль.

  • c) Параллельность выполнения работ.

d) Отсутствие ориентации на клиента.

Укажите состав проектной документации стадии предпроектного обследования.

  • a) Технико-экономическое обоснование необходимости разработки ИС.

  • b) Техническое задание.

  • c) Комплекс требований к системе.

d) Постановка задачи.

e) Эскизный проект.

f) Технический проект.

Укажите тип структуры ИС по её элементам и связям между ними:

Элементы: Формы представления информации. Связи: Операции преобразования информации – Информационная.

Элементы: Функции, задачи, процедуры. Связи: Информационные – Функциональная.

Элементы: Коллективы людей и отдельные исполнители. Связи: Соподчинения и взаимодействия – Организационная.

Укажите характеристики объектно-ориентированной методологии:

a) Реализация подхода к проектированию ИС по принципу «сверху-вниз».

  • b) Высокая степень унификации разработки и пригодность для повторного использования.

c) Независимость процессов и данных друг от друга.

  • d) Высокие начальные затраты.

Укажите элементы ИС:

- аппарат управления.

- комплекс функциональных подсистем.

- комплекс обеспечивающих подсистем.

- автоматизированная информационная технология.

Ф

Функциями системы управления являются:

  • a) Планирование.

b) Выдача рекомендаций.

c) Руководство.

  • d) Анализ.

  • e) Контроль.

Функциональными подсистемами являются:

  • a) Подсистема бухгалтерского учета.

b) Подсистема информационного обеспечения.

  • c) Система планирования закупок.

d) Система управления базами данных.

  • e) Система электронного документооборота.

Функциональность проектируемой системы определяется на этапе:

Анализа требований к системе.

Ч

Что является предметом деятельности на каждой стадии ЖЦ в соответствии со стандартом ISO 15288:2002?

Формирование концепции – Анализ потребностей, выбор основных проектных решений.

Разработка – Проектирование системы.

Реализация – Изготовление системы (в том числе программирование).

Эксплуатация – Ввод в действие и использование системы.

Поддержка – Обеспечение функционирования системы.

Снятие с эксплуатации – Прекращение использования, демонтаж, архивирование системы.

Что из перечисленного является следствием применения технологии автоматизированного проектирования (использования CASE-средств)?

  • a) Ускорение и повышение согласованности разработки приложений.

  • b) Повторное использование разработок.

  • c) Снижение доли ручного труда в процессе разработки и эксплуатации.

d) Немедленное снижение затрат в процессе разработки и эксплуатации.

e) Сокращение персонала, связанного с ИТ.

Что из перечисленного является ошибками моделирования?

  • a) Моделирование бизнес-процессов только с использованием регламентной документации на процесс (СТП, ГОСТ, правила и т.д.).

b) Использование различных нотаций моделирования при описании одного и того же бизнес-процесса.

c) Работа над моделью в тесном контакте с владельцем бизнес-процесса.

  • d) Игнорирование стоимостных характеристик бизнес-процесса.

Что понимается под стоимостью бизнес-процесса?

Совокупность всех затрат в денежном исчислении, которые необходимо произвести для однократного выполнения процесса.

Моделирование.

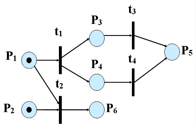
1. Как изменится разметка позиций сети Петри, представленной на рисунке, после однократного срабатывания разрешенных переходов?

Ответ: 10020.

2. Для представленной на рисунке структуры сети Петри укажите НОМЕРА разрешенных переходов.

Ответ: 34.

3. Для представленной на рисунке структуры сети Петри указать текущую разметку:

Ответ: 011100.

4. Для представленной на рисунке структуры сети Петри укажите множество входных позиций для перехода t2.

Ответ: P1, P2.

5. Найдите ошибки в информационной модели, разработанной в нотации IDEF1X, представленной на рисунке:

  • a) Неключевые атрибуты сущности Сотрудник не должны наследоваться в неключевые атрибуты сущностей Директор и Главбух.

b) Ошибок нет.

  • c) Сущности-категории должны отличаться набором неключевых атрибутов.

d) Отсутствуют собственные первичные ключи в сущностях Директор и Главбух.

6. Для фрагмента функциональной модели, представленной на рисунке, укажите, в использовании каких интерфейсных дуг допущены ошибки.

Интерфейсная дуга «Директор».

7. Какие информационные модели, разработанные в нотации IDEF1X, представленные на рисунках 1 и 2, содержат ошибки?

В обеих моделях есть ошибки.

8. Найдите ошибки в информационной модели, разработанной в нотации IDEF1X, представленной на рисунке:

Название сущности Клиенты содержит ошибку.

Сущности Физическое лицо и Юридическое лицо не должны иметь собственных первичных ключей, кроме наследуемых.

Сущности Физическое лицо и Юридическое лицо должны отличаться набором неключевых атрибутов.

Должно быть указано отношение полной категоризации.

9. Найдите ошибки в информационной модели, разработанной в нотации IDEF1X, представленной на рисунке:

Сущности Накладная и Счет не могут являться категориями сущности Товар.

Сущности Накладная и Счет не могут иметь собственных ключевых атрибутов.

Отсутствует указание на атрибут, по которому осуществляется деление сущности Товар на категории.

10. В функциональной модели, представленной на рисунке, отсутствуют названия интерфейсных дуг между блоками A1 и A2, A2 и A3. В этой ситуации выберите правильный ответ:

Интерфейсные дуги должны быть названы: Заключенный договор; Выбранное оборудование.

11. Найдите ошибки в информационной модели, разработанной в нотации IDEF1X, представленной на рисунке:

Сущность 2 является зависимой от Сущности 1 и должна изображаться в виде прямоугольника со скругленными углами.

Атрибут 1 является ключевым атрибутом Сущности 2.

Отсутствует название отношения между сущностями.

Такой набор атрибутов сущностей указывает на отношение «многое-ко-многому», при котором обе сущности являются независимыми.

12. Найдите ошибки в информационной модели, разработанной в нотации IDEF1X, представленной на рисунке:

Атрибут 1 становится неключевым атрибутом Сущности 2.

13. Для фрагмента функциональной модели, представленной на рисунке, укажите, в использовании каких интерфейсных дуг допущены ошибки.

Интерфейсная дуга «Выбор оборудования».

14. Найдите ошибки в информационной модели, разработанной в нотации IDEF1X, представленной на рисунке:

Атрибуты ФИО и Табельный номер не могут являться первичными ключами сущности Клиент.

Сущность Клиент не должна зависеть от сущности Сотрудник.

  1. Верно ли утверждение: "Технология канонического проектирования не предусматривает использования CASE-средств"?

Ответ:

Верно

  1. Каково предназначение репозитория?

a. хранение версий проекта и его отдельных компонентов, включая все виды моделей

d. синхронизация поступления информации от различных пользователей

  1. Выберите верные утверждения:

b. При использовании технологии автоматизированного проектирования жизненный цикл ИС поддерживается интегрированным пакетом CASE-средств

e. При использовании технологии автоматизированного проектирования возможен реинжиниринг системы путем параметризации и реструктуризации моделей

  1. Что из перечисленного является следствием применения технологии автоматизированного проектирования (использования CASE-средств)?

b. повторное использование разработок

d. снижение доли ручного труда в процессе разработки и эксплуатации

e. ускорение и повышение согласованности разработки приложений

  1. Какой модели жизненного цикла соответствует технология канонического проектирования ИС?

b. каскадная

  1. Верно ли утверждение: "Технология типового параметрически-ориентированного проектирования не предусматривает проведения предпроектного обследования"?

Неверно

  1. Верно ли утверждение: "Технология типового модельно-ориентированного проектирования не предусматривает проведения предпроектного обследования"?

Неверно

  1. Верно ли утверждение: "Технология типового параметрически-ориентированного проектирования не предусматривает использования CASE-средств"?

Неверно

  1. Укажите в правильном порядке стадии жизненного цикла системы в соответствии с технологией CDM

1стратегия

2анализ

3 проектирование

4 реализация

6 эксплуатация

5 внедрение

  1. Укажите основные блоки в составе типового проектного решения, используемого в технологии типового параметрически-ориентированного проектирования.

b. блок функционирования

c. блок обработки параметров

d. блок адаптации

  1. (...) - это совокупность методов анализа, проектирования, разработки и сопровождения ИС, поддержанных комплексом взаимосвязанных средств автоматизации.

c. CASE-технология

  1. Укажите особенности, характеризующие технологию канонического проектирования:

быстрое итеративное макетирование

c. отсутствие автоматизации проектных работ

d. разработка программного кода на алгоритмических языках "вручную"

  1. Выберите верное утверждение

b. Модельно-ориентированное проектирование заключается в адаптации состава и характеристик типовой ИС в соответствии с моделью объекта автоматизации.

  1. Перечислите в правильном порядке этапы технологии параметрически-ориентированного проектирования

Анализ и оценка доступных ТПР по сформулированным критериям Интеграция ТПР

Выбор и закупка оптимального ТПР в соответствии с критериями Настройка параметров ТПР

Определение критериев оценки пригодности ТПР для решения поставленных задач

  1. Перечислите в правильном порядке этапы внедрения CASE-средств в организации.

1 определение потребности в CASE-средствах

2 оценка и выбор CASE-средств

3 выполнение пилотного проекта

4 принятие решения о полномасштабном внедрении CASE-средств

  1. Какая технология проектирования содержит следующие стадии жизненного цикла:

начальная стадия

разработка

конструирование

ввод в действие

a. Rational Unified Process

  1. Верно ли утверждение: "При разработке систем жизнеобеспечения можно применять технологию быстрой разработки приложений (RAD-технологию)"?

Неверно

  1. Верно ли утверждение: "Технология типового модельно-ориентированного проектирования не предусматривает проведения предпроектного обследования"?

Неверно

  1. Какие ролевые кластеры в технологии MSF являются совместимыми?

b. менеджер продукта и тестировщик

c. менеджер по выпуску и тестировщик

  1. Какой технологии проектирования соответствуют приведенные ниже стадии жизненного цикла ИС:

создание общей картины;

планирование;

разработка;

стабилизация;

развертывание?

a. MSF

  1. Как графически отображаются процессы канонического проектирования?

a. в виде технологических сетей проектирования

  1. Расположите классы типовых проектных решений в порядке возрастания уровня декомпозиции:

1 элементные ТПР;

2 подсистемные ТПР.

3 объектные (модельные) ТПР;

  1. Поставьте в соответствие роли и описание деятельности ролей в технологии MSF менеджер программы

  1. Управление продуктом (product manager) — бизнес-приоритеты, маркетинг, представительство интересов заказчика.

  2. Управление программой (program manager) — разработка архитектуры решения, административные службы

  3. Разработка (developer) — разработка приложений и инфраструктуры, технологические консультации

  4. Тестирование — планирование, разработка тестов и отчетности по тестам

  5. Управление выпуском (release manager) — инфраструктура, сопровождение, бизнес-процессы, выпуск готового продукта

  6. Удовлетворение заказчика (user experіence) — обучение, эргономика, графический дизайн, техническая поддержка

  1. Верно ли утверждение: "Технология типового параметрически-ориентированного проектирования применяется для разработки корпоративных ИС"?

Верно

  1. Какой модели жизненного цикла соответствует технология канонического проектирования ИС?

c. каскадная