Материал: Финансовая отчетность предприятия

Внимание! Если размещение файла нарушает Ваши авторские права, то обязательно сообщите нам

В 2014 году в бухгалтерской отчетности произошли некоторые изменения. Самое главное изменение касается периодичности предоставления отчетов и сроков подачи годовой отчетности. Отныне предприятия (кроме тех, деятельность которых оговаривается специальными Федеральными законами) не подают в налоговую службу промежуточные бухгалтерские отчеты, а только годовые. Сроки подачи отчетности за 2012 год были установлены до первого апреля 2014 года (официально - до тридцать первого марта, но этот день приходился на воскресение, поэтому срок перенесли).

Кроме этого произошли следующие изменения: с 2014 года бухгалтерский учет должен вестись всеми предприятиями вне зависимости от их формы собственности и системы налогообложения. Исключение составляют лишь индивидуальные предприниматели. Поскольку они по-прежнему не ведут бухгалтерский учет, то и бухгалтерская отчетность в 2014 году для ИП не нужна; используемые первичные бухгалтерские документы должны быть утверждены руководителем предприятия; введено понятие регистры бухгалтерского учета, которые должны использоваться вместе с приходно-расходными ордерами и ведомостями. Регистры должны содержать все реквизиты предприятия; как уже было сказано выше, аудиторское заключение и пояснительная записка не входят в состав бухгалтерской годовой отчетности, хотя все так же получаются и составляются; отчет о прибыли и убытках предприятия с 2014 года переименован в отчет о финансовых результатах; отчет о целевом использовании полученных средств переименован в отчет о целевом использовании средств; один экземпляр бухгалтерской финансовой отчетности 2014 в течение трех месяцев с окончания отчетного периода должен быть предоставлен в Государственный комитет статистики; учетные, финансовые и бухгалтерские сведения должны храниться в течение пяти лет.

Изменения в отношении бухгалтерской отчетности малых предприятий.

Стоит отметить, что в 2012 году субъектам малого предпринимательства уже были сделаны некоторые послабления по показателям, учитываемым в отчетности. В 2014 году бухгалтерская отчетность малых предприятий может содержать сведения без дополнительной детализации - это что касается бухгалтерского баланса. Отчет о финансовых результатах в 2014 году также содержит укрупненные показатели, то есть существенно упростился.

.3 Изменения в отношении форм бухгалтерской отчетности

В новом отчетном году изменения претерпел не только состав годовой бухгалтерской отчетности 2014 года. С 2014 года для составления бухгалтерского баланса и отчета о финансовых результатах (бывшего отчета о прибылях и убытках) должны использоваться новые бланки. Их форма должна быть законодательно установлена. Старые бланки в новом отчетном году использовать запрещено.

Также установлены новые формы бухгалтерской отчетности в 2014 году для подачи отчетов в электронном виде. Согласно новым требованиям, первичные учетные формы имеет право предоставлять лишь тот работник предприятия, который ведет бухгалтерский учет. Сами формы этих документов могут быть разработаны на предприятии и утверждены его руководителем - понятие унифицированной формы отныне упраздняется. Первичные учетные документы также могут быть оформлены в электронном виде (и заверены электронной цифровой подписью уполномоченного лица).

Формы учетных документов должны содержать все обязательные по закону реквизиты и быть зафиксированы в учетной политике предприятия.

3.4 Порядок составления и заполнения бухгалтерской отчетности в 2014 году

Несмотря на некоторые изменения в названиях, бланках и требованиях к ведению бухгалтерского учета отдельных предприятий (особенно это касается предприятий малого бизнеса), порядок заполнения и составления бухгалтерской отчетности в 2014 году остался практически прежним.

Отчетность должна:

отражать все хозяйственные операции, полученные доходы и обязательства предприятия в полной мере;

быть в полном соответствии с данными аналитического и синтетического учетов;

содержать достоверные, точные, существенные, целостные, последовательные данные.

При составлении бухгалтерской отчетности необходимо: Провести бухгалтерский аудит (для тех предприятий, которым это требование законодательно установлено). Утвердить и подписать состав отчета у руководства предприятия. Подать в установленные сроки отчетность в налоговую службу и Государственный комитет статистики. В случае если предприятие подпадает под требование о публичности бухгалтерской отчетности, опубликовать отчетность в открытом доступе.

4. Практическая часть

финансовый отчетность бухгалтерский инвестирование

Задание № 1

Оборудование нужно заменять через 5,5 лет после установки, стоимость замены 18,5 млн. руб. Какую сумму нужно инвестировать компании в конце каждого года для того, чтобы заменить оборудование, если инвестиции приносят 20,1 процентов годовых?

Дано:

S= 18,5млн.руб.

n= 5,5 лет

i = 20,1 %

Найти:Q= ?

Решение:

, где

S- наращенная сумма,

Q- сумма ежегодных инвестиций,

i - процентная ставка.


Q = 2,14млн.руб.

Ответ: 2,14 млн. руб. необходимо инвестировать компании в конце каждого года.

Задание № 2

Ссуда, выданная на год под ставку i= 10,8% сложных процентов, погашается тремя платежами Q1 = 50 тыс. руб., Q2 = 60 тыс. руб., Q3 = 140 тыс. руб. через каждые четыре месяца. Определить размер ссуды. Каким разовым платежом может быть погашена ссуда в конце срока? Какими равными ежеквартальными платежами может быть погашена ссуда?

Дано:

Q1 = 50 тыс. руб.

Q2= 60 тыс. руб.

Q3= 140 тыс. руб.

i = 10,8%

Найти: P, Q0, Q

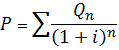
Решение:


P - размер ссуды,

Qn - размер платежей,

i - процентная ставка,

n- срок платежа.

P = 230,7тыс.руб.


Q0 - разовый платеж в конце срока,

Qn - размер объединяемых платежей,

i - процентная ставка,

tn - изменение срока платежа.

Q0= 255,3тыс.руб.


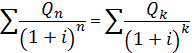
Qn - размер заменяемых платежей,

Qk - размер заменяющих платежей,

n- срок заменяемых платежей

i - процентная ставка.

Q= 55,65тыс.руб.

Ответ: размер ссуды 230,7 тыс. руб.; разовый платеж, которым может быть погашена ссуда в конце срока 255,3 тыс.руб.; размер ежеквартального платежа55,65 тыс.руб.

Задание 3

Определить, какой реальной убыточностью обладает финансовая операция, если при уровне инфляции 14% в год капитал вкладывается на два года под номинальную ставку 8% при ежеквартальном начислении.

Дано:

m = 4= 2

Найти:f- ?

Решение:

, где

S - общая величина долга;

P - сумма, которую получает заемщик;

n - длительность финансовой операции в годах;

m - количество интервалов в течении 1 года, по окончании которых происходит начисление процентов;

f- номинальная учетная ставка.

) 2) , где

 - номинальная учетная ставка, компенсирующая инфляционные потери

Iu - индекс инфляции.

Ответ: реальная убыточность финансовой операции 5 %.

Задание 4

Величина потребительского кредита Р = 148 тыс. руб., со сроком погашения кредита n = 8 мес. под процентную ставку i = 20,1% годовых.

При погашении кредита равными частями и начислении простых процентов на сумму оставшегося долга составить план погашения процентов I и платежей по кредиту Q в конце каждого месяца.

Дано:

Р = 148 тыс. руб.

n= 8 мес.

i= 20,1%

Найти: I, Q

Решение:


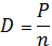
D - сумма, ежемесячно идущая на погашение основного долга,

P - величина кредита,

n - срок кредита.

D = 18,5тыс.руб.


In - ежемесячная сумма процентов по кредиту,

in - ежемесячная ставка по кредиту,

 тыс. руб.

 тыс. руб.

 тыс. руб.

 тыс. руб.

 тыс. руб.

 тыс. руб.

 тыс. руб.

 тыс. руб.

Составим план погашения кредита в форме таблицы:

Месяц

Остаток основного долга на начало месяца, руб.

Платежи по кредиту Q, руб.

Погашение основного долгаD, руб.

Процентный платеж I, руб.

1

148000

20979

18500

2479

2

129500

20669

18500

2169

111000

20359

18500

1859

4

92500

20049

18500

1549

5

74000

19740

18500

1240

6

55500

19430

18500

930

7

37000

19120

18500

620

8

18500

18810

18500

310


Заключение

На основании проделанной работы можно сделать следующие выводы. Бухгалтерская (финансовая) отчетность - это единая система данных об имущественном и финансовом положении организации и результатах ее хозяйственной деятельности, формируемая на основе данных бухгалтерского (финансового) учета.

В работе рассмотрены следующие вопросы:

Раскрыто экономическое содержание бухгалтерской (финансовой) отчетности.

Бухгалтерская (финансовая) отчетность позволяет оценить общую стоимость имущества, стоимость иммобилизованных и мобильных средств, материальных оборотных средств, величину собственных и заемных источников средств организации.

Рассмотрены актуальные проблемы, отражаемые в экономической литературе по вопросам совершенствования бухгалтерской (финансовой) отчетности:

Одним из обязательных требований к бухгалтерской отчетности является ее открытость для всех заинтересованных лиц. Совершенствование бухгалтерской отчетности международные, финансовые и хозяйственные связи выдвигают в число первых вопросов мирового уровня, стараясь приблизить ее содержание и методы к общепринятым международным нормам.

Ознакомлено с нормативно-правовым регулированием бухгалтерской (финансовой) отчетности в 2014 году. Рассмотрены изменения в годовой бухгалтерской отчетности в 2014 году, порядок составления и заполнения бухгалтерской отчетности, изменения в отношении форм бухгалтерской отчетности.

Список литературы

1.      Абрютина М.С., Грачев А.В. Анализ финансово-экономической деятельности предприятия, М., «Дело и сервис», 2012 г. - 450 с.

.        Артеменко В.Г. Финансовый анализ. - М. ДИС, НГАЭиУ, 2010. - 128 с.

.        Артеменко В.Г., Беллиндир М.В. Финансовый анализ: - М.: ДИС, НГАЭиУ, 2011 г. - 126 с.

.        Бережной В.И. Управление финансовой деятельностью предприятий (организаций). М.: Финансы и статистика, 2010 г. - 336 с.

.        Бороненко С.А. Финансовый анализ предприятий. - Екатеринбург: Изд. Урал. гос. университета, 2010. - 340 с.

.        Владимирова Т.А., Соколов В.Г. Анализ финансовой отчетности предприятия. М: «Дело и сервис», 2010 г. - 150 с.

.        Волчков С.А. Оценка финансового состояния предприятия // Методы менеджмента качества. - 2013. - №3 - С. 22-24.

.        Воронов К.Е., Максимов О.А. Финансовый анализ. Некоторые положения и методики - М: ИКФ «Альф», 2011 г. - 125 с.

.        Гиляровская Л.Т. Экономический анализ. - М.: ЮНИТИ-ДАНА, 2010. - 615 с.

.        Грачев А.В. Анализ и управление финансовой устойчивостью предприятия. - М.: Финпресс, 2012. - 346 с.

.        Грачев А.В. Рост собственного капитала, финансовый рычаг и платежеспособность предприятия // Финансовый менеджмент. - 2013. - №2. - С. 21 - 35.

.        Егорова Е.Б. Оценка деловой активности предприятия // Экономические науки - 2013 - № 11 - С. 31-33.

.        Ефимова О.В. Финансовый анализ. М.: Бух. учет, 2012 г. - 526 с.

.        Когденко В.Г. Экономический анализ. М.: ЮНИТИ-ДАНА, 2010 г. - 390 с.;

.        Крейнина М.Н. Финансовое состояние предприятия: методы оценки. - М.: Дис, 2010 г., 45 с.

.        Кузнецова Е.В. Финансовое управление компанией. - М.: Фонд Правовая культура, 2012. - 247 с.

.        Пястолов С.М. Экономический анализ деятельности предприятий. - М.: Академический проект. - 2011 г. - 156 с.