Контрольная работа: Элементы таврового профиля

Внимание! Если размещение файла нарушает Ваши авторские права, то обязательно сообщите нам


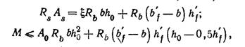
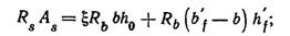
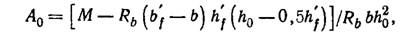
Эти формулы можно использовать для подбора сечения. Если требуется определить , то из  вычисляют


затем находят соответствующее вычисленному, и, согласно формуле



Список используемой литературы

1.      Байков В.Н., Сигалов Э.С. «Железобетонные конструкции»

2.      Бондаренко В.М, Суворкин Д.Г. «Железобетонные и каменные конструкции» 1987г.

.        Т.М. Пецольд, В.В.Тур. «Ж/б конструкции.Основы теории, расчета и конструирования.» 2003