Контрольная работа: Элементы таврового профиля

Внимание! Если размещение файла нарушает Ваши авторские права, то обязательно сообщите нам

Элементы таврового профиля














Элементы таврового профиля

Содержание

1.      Элементы таврового профиля

.        Элементы таврового и двутаврового сечений с одиночной арматурой

.        Расчет таврового сечения с одиночной арматурой, находящейся выше ребра

.        Расчет таврового сечения с одиночной арматурой, находящейся ниже ребра

.        Порядок подбора сечений бетона и арматуры

.        Проверка несущей способности тавровых сечений по случаю

.        Элементы таврового и двутаврового сечений с двойной арматурой

.        Расчетный случай таврового сечения

Список используемой литературы

1. Элементы таврового профиля

Тавровые сечения встречаются в практике весьма часто как в отдельных железобетонных элементах - балках так и в составе конструкций - в монолитных ребристых и сборных панельных перекрытиях (рис. 1,в, г,). Тавровое сечение образуется из полки и ребра.

рис.1

В сравнении с прямоугольным (см. пунктир на рис. 1 а) тавровое сечение значительно выгоднее, так как при одной и той же несущей способности (несущая способность железобетонного элемента не зависит от площади сечения бетона растянутой зоны) расходуется бетона меньше вследствие сокращения размеров растянутой зоны. По той же причине более целесообразно тавровое сечение с полкой в сжатой зоне (рис. 1), так как полка в растянутой зоне (рис. 1,6) не повышает несущей способности элемента.

Тавровое сечение, как правило, имеет одиночное армирование.

Сжимающие напряжения в полках тавровых балок уменьшаются от ребра к краям полки, поэтому нормы (СНиП 2 03 01-84) ограничивают ширину свесов (рис 86,6) полки, вводимую в расчет.

При большой ширине полок участки свесов, более удаленные от ребра, напряжены меньше. Поэтому в расчет вводят эквивалентную ширину свесов полки (рис. 1,в, г). Она принимается равной: в каждую сторону от ребра - не более половины расстояния в свету между ребрами с и не более 1/6 пролета рассчитываемого элемента, а в элементах с полкой толщиной<0,1 h без поперечных ребер или с ребрами при расстоянии между ними - более размера между продольными ребрами, вводимая в расчете ширина каждого свеса bf не должна превышать. Для отдельных балок таврового профиля (при консольных свесах полок) вводимая в расчет ширина свеса bf’ (рис. 1а) должна составлять:

при hf >0,1 ….    не более 6 hf

при 0,05< hf < 1 h....    не более 3 hf

При hf <0,05h свесы полки в расчете не учитывают.

При расчете тавровых сечений различают два случая положения нижней границы сжатой зоны: в пределах полки (рис. 2 а) и ниже полки (рис. 2,6).

рис.2

Нижняя граница сжатой зоны располагается в пределах полки, т. е  в сечениях с развитыми свесами. В этом случае тавровое сечение рассчитывают как прямоугольное с размерами  (рис. 2, а), поскольку площадь бетона в растянутой зоне на несущую способность не влияет.

. Элементы таврового и двутаврового сечений с одиночной арматурой

Изгибаемые элементы таврового, двутаврового и других подобных сечений применяют как самостоятельные конструктивные элементы или в составе сборных, монолитных или сборно-монолитных ребристых перекрытий или покрытий (рис.3а Тавровое сечение элемента состоит из полки 5 и ребра 4 *В неразрезных сборных или сборно-монолитных ребристых перекрытиях (покрытиях) на опорах полка 5 таврового сечения попадает в растянутую зону (сечение 2-2) и поэтому в расчете ее не учитывают, в пролете полка 5 находится в сжатой зоне сечения (сечение 1-1), поэтому ее включают в расчет В сравнении с прямоугольным (в сечении 1-1 обозначено пунктиром) тавровое сечение значительно экономичнее, так как в нем уменьшены размеры растянутой зоны, бетон которой в работе элемента не участвует из-за появления в нем трещин.

Рис 3

Тавровое сечение (1-й случай) а - план перекрытия, б - нормальное сечение балки, 7 - главные балки, 2 - второстепенные балки, 3 - плита; 4, 5 - соответственно ребро и полка балки

При расчете тавровых сечений различают два расчетных случая, определяемых положением нулевой линии сечения.

3. Расчет таврового сечения с одиночной арматурой,находящейся выше ребра

рис 3.1

В данном случае нулевая линия проходит в пределах полки (х < hf)Это бывает, когда внешний момент оказывается меньше внутреннего момента воспринимаемого сжатой полкой таврового сечения и соответствующей ей растянутой арматурой, относительно центра тяжести растянутой арматуры (для краткости «момент полки»)


При заданной площади сечения растянутой арматуры случай 1 будет при соблюдении неравенства

Расчет тавровых сечений по случаю 1 ничем не отличается от расчета прямоугольных сечений шириной b'f При  площадь сечения арматуры Аа можно определять по приближенному уравнению, полученному из формулы  в предположении, что нейтральная ось проходит по середине полки (х = 0,5 hf).

 

При этом ошибка в запас прочности достигает не более 10%.

Определение площади сечения напрягаемой арматуры для 1 случая таврового сечения.

тавровый профиль арматура бетон

4. Расчет таврового сечения с одиночной арматурой, находящейся ниже ребра

рис 3.2

В данном случае (х > hf), т е нулевая линия пересекает ребро сечения (рис 4, в). Этот случай бывает, когда условие  не соблюдается,тогда тавровое сечение рассчитывают с учетом сжатия в ребре.

Как и в случае прямоугольных сечений, расчетные формулы выводят из двух условий равновесия


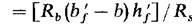
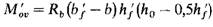
где  (рис. 4, a) - момент, воспринимаемый сжатой зоной ребра сечения и соответствующей ему частью растянутой арматуры Asl (момент ребра), Nbl - равнодействующая усилий в бетоне сжатой зоны ребра, - плечо пары сил;

  

(рис 4,б)-момент, воспринимаемый сжатыми свесами полки и соответствующей им частью растянутой арматуры Аsov„ (момент свесов), Nb2 - равнодействующая усилий в бетоне сжатых свесов сечения элемента, z2 - плечо пары сил.

Рис.4

Тавровое сечение (2-й случай)


Таким образом,

из условия  

 

. Порядок подбора сечений бетона и арматуры

По случаю 2 сводится к следующему:

)определяют высоту балки в первом приближении по формуле

 

ширину ребра обычно принимают b = (0,4-0,5) h, размеры полки  определяют по данным компоновки конструкции в целом.

)проверяют условие .Если оно не соблюдается, значит  т е имеем случай 2 таврового сечения [если условие  соблюдается, значит ; и расчет ведут по случаю 1 тавровых сечений],

)вычисляют  



находят площадь сечения арматуры


)по формуле


вычисляют момент ребра  по формуле: находят коэффициент как для прямоугольного сечения, по находят , или определяют площадь арматуры Аг1, если окажется, что , то требуется на один модуль увеличить ширину или высоту сечения, повысить на одну ступень класс бетона или установить сжатую ненапрягаемую арматуру, площадь сечения которой определяют по формуле

,

по формуле


вычисляют полную площадь растянутой арматуры As.

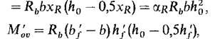
) Проверка несущей способности тавровых сечений по случаю (2)

) по формуле


находят площадь сечения арматуры ,

)по формуле определяют площадь сечения арматуры, приходящуюся на ребро ,

)вычисляют коэффициент армирования ребра , а по нему, используя , если окажется, что или (что то же самое) ,то поступают так же, как при подборе сечений бетона и арматуры по случаю 2 тавровых сечений.

)по формуле  вычисляют Мb, а по формуле - М'ov

по формуле определяют расчетный изгибающий момент, воспринимаемый тавровым сечением,


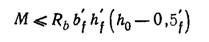
Если момент внешних сил ,то прочность элемента обеспечена

Граничное условие , если нулевая линия пересекает ребро, в соответствии с нормами проверяют без учета свесов полки (как для прямоугольных сечений шириной b)

Для переармированных элементов условие прочности (185) при-


. Элементы таврового и двутаврового сечений с двойной арматурой

Двойную арматуру в тавровых сечениях применяют по тем же соображениям, что и в прямоугольных сечениях. В общем случае тавровые сечения могут иметь напрягаемую Asp и ненапрягаемую А, арматуру в растянутой зоне сечения и напрягаемую А'sp и ненапрягаемую A's арматуру в сжатой зоне сечения рис.4.При этом площадь сечения арматуры As принимают минимальной, так как прочность ее ниже прочности напрягаемой арматуры Asp Площадь сечения арматуры A'sp также принимают минимальной, так как усилие ее предварительного напряжения Р может создавать изгибающий момент, суммирующийся с моментом внешних сил, и тем самым снижать несущую способность элемента Для общего случая формула прочности принимает такой вид

 


где Mbmax - максимальный момент ребра (рис 4а), определяют при Мт - максимальный момент сжатых свесов (рис 4,б),  - соответственно моменты, воспринимаемые арматурой A's и A'sp

 

Тавровые сечения с двойной арматурой рассчитывают по аналогии с тавровыми сечениями с одиночной арматурой.

Для случая 2, когда высота бетона сжатой зоны сечения опускается ниже по- лки (пересекает ребро), порядок подбора размеров сечения и арматуры сводится к следующему. 1) по формуле  определяют предварительную высоту элемента, ширина ребра сечения элемента ,

) площадь сечения сжатой напрягаемой арматуры A'sp определяют расчетом на образование или раскрытие трещин от воздействия усилия Р2 (с учетом всех потерь); 3) находят площадь сечения продольной ненапрягаемой арматуры

) по формуле

 

 

определяют усилие в продольной арматуре S, равное Nsp = уsSRspAsp       по усилию Nsp определяют площадь искомой арматуры

Количество ненапрягаемой арматуры Аs, назначают по конструктивным соображениям и принимают минимальным. Увеличение малопрочной ненапрягаемой арматуры As ведет к перерасходу дефицитной стали и удорожанию элемента.

. Расчетный случай таврового сечения

Может быть определен по следующим признакам:

)если известны все данные о сечении, включая А то приgAs<Rbb'fhf    граница сжатой зоны проходит в полке; при обратном неравенстве она пересекает ребро;

)если известны размеры сечения  и задан расчетный изгибающий момент, но  неизвестно, то при


граница сжатой зоны проходит в полке; при обратном неравенстве она пересекает ребро.

Для случая, когда граница сжатой зоны проходит ниже полки, формулы

 и

 

можно преобразовать с учетом соотношений  и