Материал: БДЗ2_ЧМ

Внимание! Если размещение файла нарушает Ваши авторские права, то обязательно сообщите нам

МИНОБРНАУКИ РОССИИ

Федеральное государственное автономное образовательное учреждение

высшего профессионального образования

«Национальный исследовательский университет «МИЭТ»

Кафедра: ВМ-1

Дисциплина: Численные методы

Большое домашнее задание №2

Выполнил: студент гр. ИВТ-24

Никитина С.Г.

Преподаватель кафедры ВМ-1:

Саркисян Р.С.

ЗЕЛЕНОГРАД

2020

syms h y3 y3_1 y3_2 y3_3 y3_4

y2=y3-h*y3_1+h^2/2*y3_2-h^3/6*y3_3+h^4/24*y3_4;

y1=y3-2*h*y3_1+4*h^2/2*y3_2-8*h^3/6*y3_3+16*h^4/24*y3_4;

y0=y3-3*h*y3_1+9*h^2/2*y3_2-27*h^3/6*y3_3+81*h^4/24*y3_4;

y3_2-1/h^2*(-y0+4*y1-5*y2+2*y3)

-1

0.8337

0.5558

-2/6

0.9979

1.2211

2/6

0.9979

1.8864

6/6

0.8337

2.4422

10/6

-0.2624

2.2673

14/6

-3.5951

-0.1295

3

-9.9669

-6.7741

-1

0.8337

0.3335

-0.6

0.9784

0.7249

-0.2

0.9997

1.1247

0.2

0.9997

1.5246

0.6

0.9784

1.9160

1

0.8337

2.2495

1.4

0.3656

2.3957

1.8

-0.7060

2.1133

2.2

-2.6882

1.0380

2.6

-5.8003

-1.2821

3

-9.9669

-5.2688

Истинное значение интеграла: syms x

f=cos(x)*cosh(x)

int(f,-1,3)

ans = -3.2817

Интеграл терпит разрыв в т.1

А значит, расходится, т.к. входящие в него части расходятся

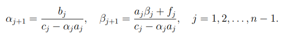
Подставив (1) в (2) получим:

Вычитая из этого равенства исходное дифференциальное уравнение, получаем невязку:

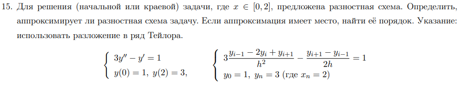
Получен требуемый порядок аппроксимации.

После подстановки и всех сокращений получим:

Вычислим исходное уравнение.

,

Для первого граничного условия:

Для второго граничного условия:

clc

clear

M=[-8 2 0 0 0 ; -5 -12 6 0 0; 0 -4 -14 -8 0; 0 0 8 -12 1; 0 0 0 -5 -10];

V=[-2;5;5;8;6];

A=diag(M,-1);

B=diag(M);

C=diag(M,1);

D=V;

n=length(B);

Cz=zeros(1,n);

Dz=zeros(1,n);

Cz(1)=C(1)/B(1);

for j=1:n-2

Cz(j+1)=C(j+1)/(B(j+1)-A(j)*Cz(j));

end

Dz(1)=D(1)/B(1);

for j=1:n-1

Dz(j+1)=(D(j+1)-A(j)*Dz(j))/(B(j+1)-A(j)*Cz(j));

end

X(n)=Dz(n);

for j=n-1:-1:1

X(j)=Dz(j)-Cz(j)*X(j+1);

end

X'

V(1)=V(1)/(abs(M(1,1))*(-1)*sign(M(1,1)));

M(1,:)=M(1,:)/(abs(M(1,1))*(-1)*sign(M(1,1)));

V(end)=V(end)/(abs(M(end,end))*(-1)*sign(M(end,end)));

M(end,:)=M(end,:)/(abs(M(end,end))*(-1)*sign(M(end,end)));

a = M(1, 2);

b = -V(1);

A=diag(M,-1);

B=-diag(M);

C=diag(M,1);

n=length(B);

for i=1:n-2

a(end+1)=C(i+1)/(B(i+1)-a(i)*A(i));

b(end + 1) = (A(i)*b(i) + V(i + 1)*(-1))/(B(i+1) - a(i)*A(i));

end

a

b

Вывод работы:

ans =

0.1450

-0.4200

0.1142

-0.6149

-0.2926

a 0.2500 0.4528 -0.5060 0.0623

b 0.2500 -0.4717 -0.1969 -0.5967