Статья: Анализ динамики и использования ресурсов для обмена файлами в P2P-сетях по пространственно-временной модели

Внимание! Если размещение файла нарушает Ваши авторские права, то обязательно сообщите нам

Анализ использования мощности


, (5)

которое очень точно приближенно к , с максимальной ошибкой 0,16% при n = 4. В момент времени t, N включает  источников и самого пользователя. Следовательно, . Количество потребляемых ресурсов для NDP:

 (6)

В общем, распределение стационарного состояния , , может быть рассчитано по модели Маркова, описанной в раздела 3. Из-за сложности модели, решение не может быть выражено в закрытой форме. Однако, в случае, когда скорость загрузки на сервере ограничена и в системе остается, по крайней мере, один пир, систему пользователей и источников можно рассмотреть как две последовательных очереди М/М/ ∞, где частота поступления в первую и вторую очередь - λ, скорость обслуживания -  и  соответственно. Известно, что при данных предположениях, стационарное распределение пользователей и источников следует из распределения Пуассона. Ожидаемое потребление ресурсов сети составляет:

 (7)

Отметьте, что это аналитическое значение для использования мощности предполагает, что каждый раз, когда статус источника меняется, пользователи должны обновить свои пиры, и затем опять найти ближайший. Это, однако, не очень реалистично. По этой причине (7) может быть рассмотрено, как нижняя граница использования ресурсов. Наше моделирование, предполагает, что эта оценка недалека от более реалистичной схемы выбора пира.

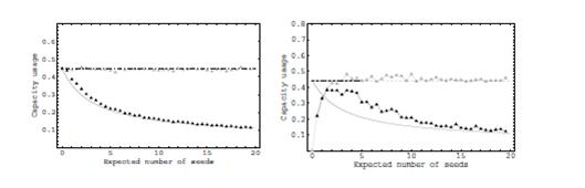
Рис. 3. Среднее использование мощности представлено в виде функции от , . Серые треугольники: модель с RPS, черных треугольников: модель с NPS. Пунктирная линия: ожидаемое использование ресурсов для RPS и сплошные линии: ожидаемое использование ресурсов для NPS. Левый рисунок: система с ограниченной загрузкой. Правый рисунок: мощность сервиса, ограниченная и загрузкой и скоростью загрузки.

Результаты моделирования

Далее, на численных примерами мы изучим, как выбранная модель влияет на использование мощности. Во-первых, на левой стороне рисунка 3 мы изучаем сценарий, объясненный в предыдущем подразделе, где на сервисе всегда ограничена скорость загрузки и, по крайней мере, один пир остается в системе. Использование мощности C показано в виде функции, с ожидаемым числом источников  (моделирование запускается во время 0,  и ). Серые треугольники соответствуют модели с RPS, черные треугольники с NPS. Когда  принимает маленькие значения, источники покидают систему вскоре после загрузки и пиры, которые хотят загрузить блок, должны запросить его из исходного источника. Расстояния от загрузчика до исходного источника, используя две различные модели, остаются прежними. При увеличении , также увеличивается число источников, и выбранная модель оказывает влияние на использование ресурсов. Мы можем видеть, что, например, для  использование мощности для модели с NPS составляет только 23% использования мощности для модели с RPS. Результаты моделирования очень близки к аналитическим границам, особенно при .

Затем мы рассматриваем систему, в которой емкость сервиса ограничена и загрузкой и скоростью загрузки, и система умирает, если все источники покинули систему (модель представлена в Разделе 2). Когда новый пользователь прибывает, он ищет или случайный доступный (RPS) или ближайший доступный (NPS) источник для загрузки.

Модель использования средней мощности на загруженный блок за период от 0 до времени исчезновения для случайных и ближайших пиров показана на правой стороне рисунка 3. Для маленького значения  время жизни системы очень короткое, и поэтому мы сделали . Когда , после прибытия первого посетителя, по всей вероятности система поглощает очень быстро не дожидаясь завершения загрузки. Рассматривая только те трассировки моделирования, в которых по крайней мере один пир, искажает реализованное время обслуживания, стремится к нулю. По этой причине использование мощности также очень мало при .

Когда , реальное время обслуживания стремится к математическому ожиданию  и использование мощности также больше. Наконец, когда ожидаемое число источников  еще больше увеличивается, система по всей вероятности достигает своего устойчивого состояния, прежде чем погибнуть. Кроме того, использование мощности близко к аналитической границе, вычисленной для системы с ограниченным числом загрузок, которая была представлена в предыдущем разделе.

Заключение и дальнейшие направления исследований

В этой статье мы изучили демографическую динамику передачи одного блока в P2P системах обмена файлами. Мы построили детерминированную жидкостную модель, чтобы проанализировать развитие числа пользователей и источников. Время жизни системы вычислено по Цепи Маркова. Мы можем видеть, что время исчезновения увеличивается по экспоненте, как функция ожидаемого числа источников в системе. Самым важным является то, что мы предложили пространственно-временную модель, чтобы проанализировать использование ресурсов системы. Были получены аналитические границы для двух моделей выбора пиров. Мы нашли, что для метода выбора пира, где выбирается ближайший пир для загрузки, использование ресурсов сети может быть сведено к методу с случайным выбором.

Частота поступления новых пользователей λ едва остается постоянной в течение долгого времени. При освобождении нового файла, спрос на него увеличивается, но приблизительно после нескольких недель он уменьшается. Это влияет на жизненный цикл процесса обмена файлами. Мы планируем оценить эту проблему в следующей работе.

В этой статье мы рассмотрели распределение одного блока независимо от других частей. Следующая модель будет расширена, чтобы также получить динамику нескольких блоков.

Список литературы

1.      B. Cohen, Incentives Build Robustness in BitTorrent, 2003,

.        http://www.bittorrent.com/bittorrentecon.pdf.

.        J.A. Pouwelse, P. Garbacki, D.H.J. Epema, H.J. Sips, The BitTorrent P2P File-sharing system: Measurements and analysis, IPTPS, 2005.

.        L. Massouli¶e and M. Vojnovi¶c, Coupon replication Systems, SIGMETRICS, 2005.

.        X. Yang, G. de Veciana, Service Capacity of Peer to Peer Networks, INFOCOM 2004.

.        D. Qiu, R. Srikant, Modeling and Performance Analysis of BitTorrent-Like Peer-to-Peer Networks, SIGCOMM 2004.

.        K.K. Ramachandran, B. Sikdar, An Analytic Framework for Modeling Peer to Peer Networks, INFOCOM 2005.