Контрольная работа: Тонкостенный аппарат

Внимание! Если размещение файла нарушает Ваши авторские права, то обязательно сообщите нам

Тонкостенный аппарат

РЕФЕРАТ

Пояснительная записка: 18 страниц, 4 рисунков, 13 источников.

Разработан и рассчитан аппарат объемом 12,0 м3, работающий под давлением 0,8 МПа. Аппарат может быть использован как промежуточная емкость для хранения химических продуктов. Обогрев паровой, температура 400 °С. Положение аппарата - вертикальное.

Выполнены расчеты корпуса, рубашки обогрева, подобраны и проверены на прочность фланцевые соединения, опоры, строповочные устройства.

ТОНКОСТЕННЫЙ АППАРАТ, ЕМКОСТЬ, РАБОТА ПОД ВНУТРЕННИМ ДАВЛЕНИЕМ, ПРОЧНОСТЬ.

ВВЕДЕНИЕ

Курсовая работа по дисциплине "Основы проектирования в химическом машиностроении" является составной частью учебного процесса подготовки инженеров-механиков химических производств. Задачами курсовой работы являются:

систематизация, расширение и закрепление знаний по изучаемому курсу и общетехническим дисциплинам;

выработка умения постановки задач прочностных расчетов, анализа результатов и принятия окончательного решения;

знакомство с нормативной литературой по профилю специальности; развитие навыков ведения самостоятельной работы

овладение приемами оформления полученных результатов в виде чертежей и пояснительной записки.

Особенностью работы является использование нормативных отраслевых материалов, что позволяет научить студентов проектировать надежное оборудование при относительно небольшой металлоемкости.

Объектом курсовой работы выбран аппарат емкостного типа, содержащий корпус, днище, крышку, рубашку обогрева, фланцы, опоры и строповочные устройства. По согласованию с руководителем может быть рассчитана иная конструкция аппарата с аналогичными элементами.

1. ВЫБОР ИСХОДНЫХ ДАННЫХ

В этом разделе ставится задача курсовой работы, выбираются, описываются и анализируются исходные данные. Здесь же необходимо назначить дополнительные исходные данные, связанные, например, с наличием парового обогрева, местом расположения аппарата и пр.

Для варианта 40 выбираем следующие исходные данные:

Материал корпуса - 30ХЗМВФ;

Материал болтов - 20ХНФБР;

Тип укрепления отверстий - штуцером произвольной формы 2;

Фланцевое соединение - приварной с шейкой;

Тип опоры - на лапы под днище 2;

Объем аппарата-12,0 м3;

Диаметр аппарата - 1,6 м;

Угол наклона конического днища - 300;

Давление в аппарате - 0,6 МПа;

Давление в рубашке обогрева - 0,8 МПа;

Плотность жидкости - 1350 кг/м3;

Температура в аппарате - 4000С;

2. ПРЕДВАРИТЕЛЬНЫЕ РАСЧЕТЫ

Предварительные расчеты включают определение размеров аппарата и их уточнение с учетом нормативных документов и условий эксплуатации.

2.1 Определение длины цилиндрической части аппарата

Расчет производим приближенно, т.е. на первом этапе не учитываем объем крышки и конической части, тогда площадь поперечного сечения


где-внутренний диаметр аппарата;- длина цилиндрической части;- объем аппарата;

Выражаем длину Lиз формулы для определения площади поперечного сечения



2.2 Уточнение длины и объема аппарата

Исходя из расчетов, принимаем длину L равной 2,2 м.

Уточняем полученный объем аппарата:


гдец- объем цилиндрической части:


к - объем конической части:


э - объем эллиптической части:


Подставляя значения входящих величин, получим:

ПринимаемL=2.2 (1.1+1.1), тогда



3. ПРОЧНОСТНЫЕ РАСЧЕТЫ

Этот раздел является основным и включает прочностные расчеты корпуса, рубашки обогрева, днища, крышки и расчет укрепления отверстий.

Каждый расчет состоит из постановки задачи, обоснования расчетной схемы, описания расчетных формул, определения допускаемых напряжений, расчета и принятия окончательного решения.

Например, при расчете корпуса анализируют все возможные случаи нагружения, возникающие при эксплуатации (наличие одного из давлений - в аппарате или в рубашке обогрева); и принимают решения относительно порядка расчета. Расчет в этом случае ведут как для аппарата, работающего под внутренним давлением [1-6], определяют толщину стенки S' , а затем проверяют, выдержит ли корпус такой толщины давление, действующее со стороны рубашки обогрева.

Допускаемые напряжения и модуль упругости зависят от марки стали, температуры и условий эксплуатации. Допускаемые напряжения для сталей, используемых в химическом машиностроении, определяют по формуле:

s = [s] ,

(3.6)


где [s] - нормативные допускаемые выражения, определяемые по марке стали и температуре [1,7] (приложение Е, табл. Е.1-Е.3).

поправочный коэффициент, учитывающий вид заготовки, принимает следующие значения: 1,0 для листового проката; 0,8 для отливок, подвергающиеся индивидуальному контролю; 0,7 для отливок, не подвергающиеся индивидуальному контролю.

3.1 Расчет аппарата, работающего под внутренним давлением

Этот вид расчета сводится к определению толщины стенки аппарата, которая обеспечивает его прочность при работе. Толщина стенки аппарата S определяется по формуле:


где

Ррасч - расчетное давление, принимаем Ррасч = Рср;

коэффициент сварного шва;


С = С1 + С2 + С3,

С1 - прибавка на коррозию (при скорости коррозии 0,1 мм/год и расчетном сроке службы аппарата 12 лет С1 = 1,2 мм);

С2 - прибавка на минимальный допуск проката, зависящая от размеров листа. При среднем классе точности проката С2 = 0,4 мм;

С3 - прибавка на округление размеров. Определяется как разность между окончательно принятой стандартной величиной и величиной, полученной при расчете.


3.2 Расчет аппарата, работающего под наружным давлением

Этот расчет выполняется в несколько этапов. На первом этапе толщина стенки аппарата оценивается по упрощенной формуле (полученной на основе формулы Мизеса), дающей завышенный результат:

тонкостенный аппарат фланец прочность


где

Е - модуль упругости, определяется для конкретной марки стали при рабочей температуре


3.3 Расчет прочности рубашки обогрева


3.4 Расчеты основных элементов аппарата с применением ЭВМ

При выполнении курсовой работы предусмотрено проведение основных расчетов на ЭВМ. Эти расчеты позволяют обосновать оптимальную конструкцию аппарата, применение укрепляющих элементов и проверить правильность принятых решений.

Расчеты на ЭВМ производятся в два этапа. На первом этапе рассчитывают толщину стенки аппарата при различных случаях нагружения; на втором - после принятия конструктивных решений уточняют расчеты.

вариант № 40

Чернышев Р.С

диаметр корпуса D, м. 1,6

длина корпуса L, м. 2,2

давление в аппарате Pср, МПа 0,6

давление в рубашке Pр, МПа 0,8

допускаемые напряжения[s], МПа 105

модуль упругости E, МПа 180 000

коэффициент сварного шва 0,9

срок службы, лет 12

скорость коррозии v, мм/год 0,1

На втором этапе расчета в диалоговом режиме необходимо ввести:

принятое расстояние между ребрами жесткости, мм 550

угол наклона конического днища, град. 30

радиус скругления стыка конической и цилиндрической частей, мм 50

Результаты расчета в Приложении Б

3.5 Принятие окончательного решения

Окончательное решение относительно конструкции рассчитываемого аппарата принимают на основе результатов полученных в разделах 3.3.1 -3.3.4 с учетом технологичности изготовления и экономичности. Принятые размеры должны соответствовать ГОСТам. По принятым размерам выполняют чертеж аппарата с соблюдением ЕСКД и соответствующих ГОСТов.

Принимаем толщину стенки S=10 мм.

Толщина стенки в рубашке обогрева S=10 мм.

Принимаем количество ребер жесткости 3, расположенных на расстоянии 550 мм.

4. ВЫБОР ФЛАНЦЕВ ИПРОВЕРКА ПРОЧНОСТИ

Для выбора фланцев нужно определить нормативные параметры: условный диаметр Dу и условное давление Pу.

Принимаем условный диаметр Dу=1600 мм, а условное давление Pу=2,5 МПа.

Рисунок 1 - Тип фланца: приварной с шейкой

Основные присоединительные размеры фланца:

Рисунок 2 - Фланцевое соединение

ф=1820 мм, D1=1720 мм, Dб=1760 мм, h=80 мм, n=68, d=33 мм.

Принимаем болты М30, расчетная площадь поперечного сечения которых f=5,4 м2, диаметр отверстий под болт d=33 мм, нормальна гайка 58, гайка с уменьшенным размером 52.

Рассчитываем болты на прочность, для этого находим болтовую нагрузку Qбр, выбираем из двух максимальных


где

 - давление критическое;

- давление при


где

 - средний диаметр прокладки;



где- ширина прокладки;прокладочный коэффициент,

Р - условное давление;



где- нагрузка для прокладки;

Исходя из расчетов выбираем .

Проверяем болты на прочность, рассчитываем удельную нагрузку на болт


Рассчитываем допускаемое напряжение


где

 - коэффициент

Исходя из допускаемого напряжения выбираем сталь 20ХНФБР.

Длину болта считаем по формуле



5. ВЫБОР ОПОР И СТРОПОВОЧНЫХ УСТРОЙСТВ

.1 Выбор опор

Для того чтобы узнать размеры опоры, нужно рассчитать нагрузку на одну опору:


где

 - нагрузка на аппарат;

 - нагрузка жидкости;


где

 - нагрузка в цилиндрической части аппарата;

 - нагрузка в рубашке обогрева;

 - нагрузка в крышке аппарата;


где

 - плотность среды;

 - объем аппарата;





тогда



тогда

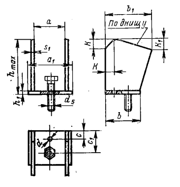
Исходя из расчета нагрузки на одну опору, выбираем размеры опоры:

Рисунок 3 - Опора аппарата

Q=40кН, a=150мм, a1=205мм, b=180мм, b1=240мм, c=40мм, c1=100мм, hmax=440мм, h1=20мм, s1=12мм, K=12мм, K1=125мм, d=35мм, dБ=M24.

5.2 Выбор строповочных устройств

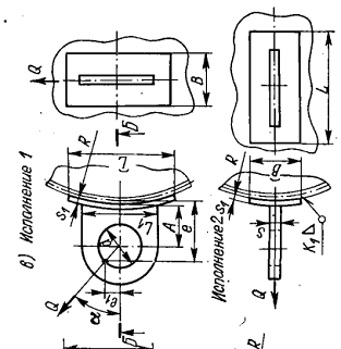
Для того чтобы узнать размеры опоры, нужно рассчитать нагрузку на одно строповочное устройство:


Исходя из расчета нагрузки на одно строповочное устройство, выбираем размеры устройства:=150 мм, L1=150 мм, B=80 мм, А=58 мм, d=55 мм, s=8 мм,s1=8 мм, К=8 мм, К1=3 мм, с=3 мм.

Рисунок 4 - Строповочного устройства

ВЫВОДЫ

В данной курсовой работе был рассчитан и спроектирован аппарат, строение которого с паровым обогревом.

Произведены расчеты основных элементов аппарата, таких как: корпуса, рубашки обогрева, опор, строповочных устройств. Подобраны и проверены на прочность фланцевое соединение.

Расчеты производились по стандартным книжкам и методичкам, что позволило спроектировать аппарат так, что бы он мог выдержать нагрузки действующие на него. К аппарату удобно подобраться, то есть можно свободно проводить ремонтные работы.

СПИСОК РЕКОМЕНДУЕМОЙ ЛИТЕРАТУРЫ

1. Лащинский А.А. Конструирование сварных химических аппаратов: Справочник. - Л.: Машиностроение, 1981. - 382 с.