„Обслуговування програмних систем і комплексів”
(назва підприємства)
___________________________________________________________________
(цех, дільниця)
Студента(ки) 4 курсу 411-ік групи
напряму підготовки 050101
«Інформатика та обчислювальна техніка»
спеціальності 5.05010101 .
.
Керівник .
.
Оцінка_____________________________________
Члени комісії ___________ ___________________
___________ ___________________
___________ ___________________
(підпис) (прізвище та ініціали)
м. Суми – 2014 рік
Міністерство освіти і науки України
Сумський державний університет
Машинобудівний коледж
Дисципліна: Навчальна практика
Спеціальність 5.05010101 “Обслуговування програмних систем і комплексів”
Курс________________Група __________________Семестр______________
__________________________________________________________________
(прізвище, ім’я, по батькові)
Тема роботи: Використання Microsoft Visual Studio для розробки програмних додатків на мові С++.
Дата видачі завдання “____”________________201__ р.
Дата закінчення роботи “____”________________201__ р.
Керівник _____________________ Ананченко Ю.М.
(підпис) (прізвище, ім’я, по батькові)
Завдання розглянуто на засіданні циклової комісії спеціальності 5.05010101
Протокол №________ від “____”____________201__р.
Голова циклової комісії ___________________ Овсянко А.М.
(підпис) (прізвище, ім’я, по батькові)
Зміст
ЩОДЕННИК-ЗВІТ 1
З НАВЧАЛЬНОЇ ПРАКТИКИ 1
База практики________________________________________________________ 1
Програмування алгоритмів, що розгалужуються. 6
Програмування циклічних алгоритмів. 7
Програмування з використанням одновимірних масивів. 8
Покажчики. Програмування з використанням динамічних двовимірних масивів. 9
Програмування з використанням рядків. 11
Програмування з використанням Структур. 12
Програмування з використанням функцій. 14
Програмування з використанням рекурсії. 16
Програмування з використанням файлів. 17
Література 27
MicrosoftVisualC++
є інтегрованим середовищем розробки,
в якому ви можете легко створювати,
відкривати, переглядати, редагувати,
зберігати, компілювати і відлагоджувати
всі свої застосування, написані на С
або C++. Розроблена фірмою Microsoft.
Постачається або як частина
комплекту Microsoft
Visual Studio, або окремо у вигляді
безкоштовного функціонально обмеженого
комплекту Visual C++ Express Edition. Перевагою
цього середовища є відносна простота
і легкість у вивченні.
C++ був розвинутий з мови програмування C і за дуже малими виключеннями зберігає C як підмножину. Базова мова, C підмножина C++, спроектована так, що існує дуже близька відповідність між його типами, операціями й операторами і комп'ютерними об'єктами, з якими безпосередньо приходиться мати справу: числами, символами й адресами.
Microsoft VisualC++ містить безліч інтегрованих засобів візуального програмування. Компілятор VisualC++ містить багато нових інструментальних засобів і поліпшених можливостей, надає величезні можливості в плані оптимізації додатків, внаслідок чого можна отримати виграш як відносно розміру програми, так і відносно швидкості її виконання, незалежно від того, що являє собою ваш додаток.
Система Microsoft VisualC++ дозволяє створювати як маленькі програми і утиліти для персонального використання, так і корпоративні системи, що працюють з базами даних на різних платформах.
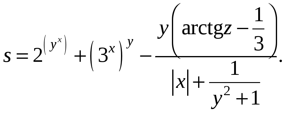
Обчислити значення вираження при заданих вихідних даних. Порівняти набутого значення з вказаним правильним результатом.

Код програми:
#include "stdafx.h"
#include <iostream>
#include <math.h>
using namespace std;
int main()
{
double x, y, z, s=0;
setlocale(0, "rus");
cout << "Введите x: ";
cin >> x;
cout << "Введите y: ";
cin >> y;
cout << "Введите z: ";
cin >> z;
s = pow(2,pow(y,x)) + pow(pow(3, x), y) - (y*(atan(z) - 1 / 3)) / (abs(x) + (1 / pow(y, 2) + 1));
cout << "Результат : s= " << s << endl;
system("pause");
return 0;
}}

Рис. 1 Результат першого завдання


Код програми:
#include "stdafx.h"
#include <iostream>
#include <math.h>
using namespace std;
int main()
{ double x, y, f = 0, s = 0;
int k = 0;
setlocale(0, "rus");
cout << "Введите x " << endl; cin >> x;
cout << "Введите y " << endl; cin >> y;
Таблиця 1
|
а
|
b
|
S(x)
|
n
|
Y(x)
|
|
0.1 |
1 |
|
80 |
|
Код програми:
#include "stdafx.h"
#include <iostream>
#include <iomanip>
#include <math.h>
using namespace std;
int fact(double n)
{
double r = 1;
for (int i = 2; i <= n; i++)
r *= i;return r;}
int main()
{setlocale(0, "rus");
double a=0.1, b=1, h, x, y, s, p;
int n=80, i;
h = (b - a) / 10;x = a;
do{
p = s = 1;for (i = 1; i <= n; i++)
{ p *=pow(-1,n)*(pow(2*x,2*n)/fact(2*i));
s += p;}
y = 2*(pow(cos(x),2)-1);
cout << setw(15) << x << setw(15) << y << setw(15) << s << endl; x += h; } while (x <= b + h / 2);
cout << endl; system("pause"); return 0; }

Рис. 3 Результат третього завдання
Заданий масив з до чисел. Визначити кількість інверсій в масиві (тобто таких пар елементів, в яких більше число знаходиться зліва від меншого).
Код програми:
#include "stdafx.h"
#include <iostream>
#include <stdio.h>
#include <conio.h>
#include <stdlib.h>
#include <time.h>
using namespace std;
int main()
{srand((unsigned)time(NULL)); // рандомное заполнение без повторений
setlocale(0, "rus");
int mas[99], i, s; int n = 10; s = 0;
for ( i = 0; i < n; i++)
{
mas[i] = rand() % 100 - 32; // рандомное заполнение массива
cout << mas[i] << " "; }
cout << endl; for (i = 0; i<n; i++)
{ if (mas[i]>mas[i + 1]){ s++; }}
cout << "Количество инверсий в массиве =" << s-1;
cout << endl; system("pause"); return 0; }
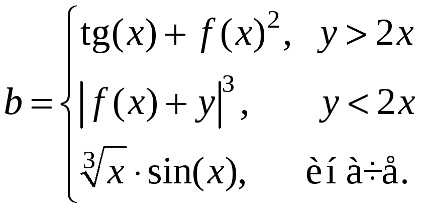
cout << "Выберете f: 1. sh(x), 2. x2, 3. ex" << endl; cin >> k;
switch (k){
case 1: f = sinh(x); break;
case 2: f = x*2; break;
case 3: f = exp(x); break;
default: cout << "Не выбрана функция " << endl;
system("pause");return 1;}
if (y > 2 * x)
{s = tan(x) + f*pow(x,2);
cout << "Результат = " << s << endl;
system("pause"); return 0;}
if (y < 2 * x)
{
s = pow(fabs(f*x + y),3);
cout << "Результат = " << s << endl;
system("pause");
return 0;}
if (y = 2 * x)
{s = pow(x, 1 / 3)*sin(x);}
cout << "Результат = " << s << endl;
system("pause");return 0;}


Рис. 2 Результат програми