Материал: элтехлаба4_ИССЛЕДОВАНИЕ ТРЕХФАЗНЫХ электрических цепей

Внимание! Если размещение файла нарушает Ваши авторские права, то обязательно сообщите нам

Министерство науки и высшего образования Российской Федерации

Калужский филиал федерального государственного бюджетного образовательного учреждения высшего образования

«Московский государственный технический университет имени Н.Э. Баумана (национальный исследовательский университет)»

(КФ МГТУ им. Н.Э. Баумана)

ФАКУЛЬТЕТ _ИУК . Информатика и управление______________

КАФЕДРА ИУК3 «САУ и электротехника » __________

ЛАБОРАТОРНАЯ РАБОТА 1

«ИССЛЕДОВАНИЕ ТРЕХФАЗНЫХ

ЭЛЕКТРИЧЕСКИХ ЦЕПЕЙ»

ДИСЦИПЛИНА: «Электротехника»

вариант №19

Выполнил: студент гр. _________

_________________ ( Прудников А.Ф. )

(Подпись) (Ф.И.О.)

Проверил:

_________________ ( Царьква Н.В. )

(Подпись) (Ф.И.О.)

Дата сдачи (защиты):

Результаты сдачи (защиты):

- Балльная оценка:

- Оценка:

Калуга , 2020

Цель лабораторной работы: формирование практических навыков планирования, проведения, анализа и интерпретации результатов экспериментального исследования трехфазных электрических цепей; самостоятельного представления и оценки результатов выполненной работы.

Задание: Провести экспериментальное исследование в среде Electronics Workbench трехфазной электрической цепи, построить векторную диаграмму линейных и фазных напряжений и токов.

Схема

, В

Гц

Ом

Ом

Ом

мГн

мГн

мГн

мкФ

мкФ

мкФ

З-З с НП

220

50

32

16

56

48

51

-

-

53

-

Рисунок 1 – ток = 4.7896 А и фазовый сдвиг =-90 на фазе B

Рисунок 2 – ток=6.2048 и фазовый сдвиг=180 на фазе A

Рисунок 3 – ток=3.9283 и фазовый сдвиг=0 на фазе С

Рисунок 4 – ток=3.8006 и фзовый сдвиг=0 на нейтральном проводе

Рисунок 5 - веторная диаграмма токов

Рисунок 6 - векторная диаграмма токов совмещенная с топографической диаграммой напряжений

Вывод: Провёл экспериментальное исследование в среде Electronics Workbench трехфазной электрической цепи, и построил векторную диаграмму линейных и фазных напряжений и токов.

Контрольные вопросы

  1. Дайте определение многофазных систем переменного тока.

Многофазными системами называется совокупность электрических цепей, в которых действуют синусоидальные ЭДС одинаковой частоты, отличающиеся по фазе одна от другой и индуктированные в одном источнике энергии

  1. Каковы преимущества трехфазных цепей?

Преимущества:

  • экономичность производства и передачи энергии по сравнению с однофазными цепями;

  • возможность сравнительно простого получения вращающегося магнитного поля, необходимого для трехфазного асинхронного двигателя – одного из самых распространенных двигателей переменного тока;

  • возможность получения в одной установке двух эксплуатационных напряжений – фазного и линейного.

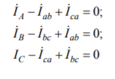
  1. Что входит в состав трехфазной цепи?

Трехфазная цепь состоит:

  • трехфазного генератора, в котором механическая энергия преобразуется в электрическую с трехфазной системой ЭДС;

  • линии передачи со всем необходимым оборудованием;

  • приемников (потребителей), которые могут быть как трехфазными (например, электродвигатели), так и однофазными (например лампы накаливания).

  1. Что такое несвязанные и связанные цепи?

Если фазы обмотки электрически не соединены между собой, то они образуют несвязанную трехфазную систему цепей. Связанными же цепями называют такие цепи, в которых фазы обмотки электрически соединены между собой

  1. Что такое нейтральная точка, линейные провода?

При соединении фаз обмотки генератора звездой их концы X , Y и Z соединяют в одну общую точку N, называемую нейтральной точкой (или нейтралью). Начала фаз выводят к зажимам, обозначаемым соответственно A, B и К ним подключают провода, с помощью которых источник питания соединяется с приемником. Эти провода называются линейными

  1. Какая цепь называется трехпроводной, четырехпроводной?

Трехфазная цепь называется трехпроводной. В случае, когда нейтральная точка N источника питания соединена с нейтральной точкой n приемника, трехфазная цепь будет четырехпроводной.

  1. Схемы соединения фаз источника, преимущества и недостатки?

Объединение треугольником

Объединение звездой

Преимущества

Недостатки

Преимущества

Недостатки

  • при холостом ходе ток в фазах источника не возникает

  • в обмотке источника, соединенной треугольником, при отсутствии нагрузки возникнут токи, которые вызовут ее нагревание и снижение КПД генератора

  • в случае отклонения ЭДС источника от синусоидальной формы вследствие наличия высших гармоник сумма мгновенных значений ЭДС не будет равна нулю

  • при холостом ходе ток в фазах источника возникает

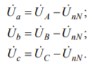
  1. Какие напряжения называются фазными, линейными?

Напряжение между началом и концом (или между выводами) каждой фазы источника (генератора) называют фазным , а между одноименными выводами разных фаз – линейными .

  1. Как соотносятся линейные и фазные напряжения?

  1. Схема соединений «звезда–звезда» с нейтральным проводом. Основные соотношения между фазными и линейными напряжениями и токами.

  1. Схема соединений «звезда–звезда» без нейтрального провода. Основные соотношения между фазными и линейными напряжениями и токами.

  1. Схема соединений «звезда–треугольник». Основные соотношения между фазными и линейными напряжениями и токами.