Курсовая работа (т): Биотехнология стероидных гормонов

Внимание! Если размещение файла нарушает Ваши авторские права, то обязательно сообщите нам

Биотехнология стероидных гормонов

ГБОУ ВПО «Пермская государственная фармацевтическая академия Министерства здравоохранения и социального развития РФ»

Кафедра промышленной технологии лекарств с курсом биотехнологии










Курсовая работа

«Биотехнология стероидных гормонов»


Выполнил:

Проверил:







Пермь -2013

Оглавление

Введение

. Исходное сырье для получения стероидных гормонов

. Основные микробиологические превращения стероидов

.1 Введение гидроксильной группы

.2 Дегидрогенизация стероидов

.3 Микробиологическое восстановление

.4 Окисление гидроксильной группы в кетогруппу

.5 Гидролиз эфиров стероидов

.6 Отщепление боковых цепей стероидов

. Методы проведения процессов микробиологических трансформаций

. Примеры промышленного использования микробиологических трансформаций

Заключение

Список использованной литературы

Введение

К фармацевтическим препаратам, в производстве которых используется биотехнология, принадлежат стероидные гормоны, к основным представителям которых относятся кортикостероиды, эстрогены и андрогены. Они не только участвуют практически во всех жизненно важных функциях организма, но и как лекарственные средства высоко избирательны, имеют большую широту спектра действия. В медицинской практике стероидные гормоны применяются в качестве противовоспалительных, диуретических, анаболических, контрацептивных, противораковых средств.

В основе истории синтеза стероидных гормонов лежат методы биотрансформации, результатом применения которых является превращение метаболитов в структурно родственные соединения под влиянием микроорганизмов или микробных клеток. В этом процессе весьма существенно, что микроорганизмы могут влиять только на отдельные (единичные) стадии довольно сложных и длительных процессов химического синтеза.

Микробиологическая трансформация - использование ферментативной активности жизнеспособных клеток микроорганизмов, результатом чего является некоторое изменение молекулярной структуры трансформируемого субстрата. В области превращений стероидных соединений достоинства биологических катализаторов проявляются наиболее ярко. Долгое время микробиологическая трансформация считалась специфическим методом химии стероидов.

Первые сообщения о трансформации стероидов микроорганизмами появились задолго до того, как было установлено строение основных представителей стероидов. Еще в конце XIX в. было известно, что бактериальная флора кишечника млекопитающих превращает холестерин в копростерин, а холевую кислоту -- в дезоксихолевую. К 1913 г. относится открытие полного расщепления холестерина микобактериями. И лишь в 30-х годах, когда была установлена структура основных стероидных гормонов, известных к тому времени, начались попытки применять трансформирующую способность микроорганизмов для препаративного получения этих соединений. В 1948 г. впервые осуществлено введение гидроксильной группы в молекулу стероида микробилогическим путем. Но только после получения 11-гидроксипрогестерона из прогестерона при ферментации последнего с культурой Rhizopus nigricans микробиологические трансформации стероидов привлекли широкое внимание.

Данная трансформация ярко продемонстрировала преимущества микробиологических методов перед химическими: введение кислородной функции в определенное положение молекулы стероида заменялось единственной стадией ферментативного гидроксилирования. Открытие в эти же годы терапевтической ценности кортизона наряду с указанными успехами микробиологического процесса гидроксилирования привлекло огромное внимание микробиологов, химиков и врачей к данной области.

Применение микроорганизмов в качестве носителей активных полиферментных систем, способных переводить экзогенные органические соединения в разнообразные полезные продукты и физиологически активные вещества основано на том, что они могут осуществлять в одну стадию важнейшие превращения, требующие при синтезе 20 химических стадий. Кроме того, удается легко проводить реакции, трудно или пока совсем не осуществимые методами чисто химического синтеза.

Большинство процессов микробиологической трансформации приводит к незначительной перестройке молекулы субстрата, осуществляемой одним или несколькими ферментами. Однако имеются микробиологические процессы, существенно изменяющие структуру трансформируемого соединения. Общей чертой всех процессов микробиологической трансформации является то, что их результат - изменение молекулярной структуры трансформируемого вещества, а не синтез молекулы de novo.

К микробиологическим трансформациям относится также синтез метаболитов из предшественников, если при этом структура продукта реакции определяется, в основном, структурой молекул предшественников (например, синтез некоторых нуклеотидов из гетероциклических оснований, пентоз и фосфатов).

В настоящее время принята классификация микробиологических трансформаций по типу возникновения и отщепления функциональных групп.

Основные процессы микробиологической трансформации: окисление, восстановление, декарбоксилирование, дезаминирование, образование гликозидов, гидролиз, метилирование, этерификация, дегидрирование, диспропорционирование, конденсация, аминирование, ацетилирование, амидирование, деметоксилирование, нуклеотидация, галогенирование, деметилирование, асимметризация, рацемизация, изомеризация.

Рассмотрим данные процессы применительно к биотрансформации стероидных гормонов, а также коснемся сырьевых источников для получения стероидных гормонов и преимуществ микробиологического синтеза по сравнению с химическим.

1. Исходное сырье для получения стероидных гормонов

стероидный гормон гидролиз

Природные стерины - сырье для получения ценных лекарственных препаратов.

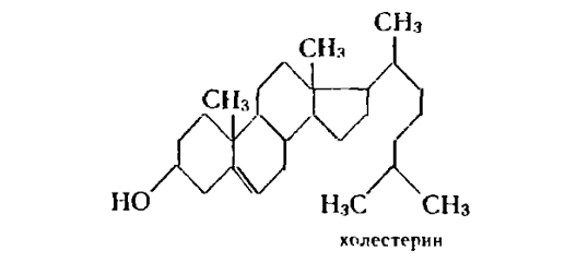
Большой класс стероидов характеризуется наличием в молекуле специфического циклического скелета - циклопентанпергидрофенантрена, построенного из четырех колец, три из которых шестичленные (А, В и С) и одно - пятичленное (D). Для обозначения различных положений этого кольца принята следующая нумерация. К стеринам (стеролам) относятся стероиды, несущие в положении С-3 гидроксильную группу.


Одним из наиболее важных и хорошо изученных стеринов является холестерин (класс зоостеринов), имеющий бруттоформулу С27Н46О.

Он обнаруживается почти во всех органах и тканях животных и человека. Холестерин принимает участие в физиологических процессах, происходящих в живой клетке, без его участия не может развиваться растущий организм. Желчные камни человека на 99% состоят из холестерина, богаты этим соединением надпочечники и другие органы. Спинной мозг и мозг рогатого скота представляет собой наилучший материал для промышленного получения холестерина. Он считался специфическим животным стерином до тех пор, пока он не был обнаружен в некоторых растениях и в морских красных водорослях. Точная структурная формула этого соединения была установлена лишь в 1932 г., хотя впервые он был выделен из желчных камней в 1782 г.

Другие стерины, встречающиеся в природе, отличаются от холестерина или по длине боковой цепи, или по степени насыщенности.

Стерины растений (фитостерины). Очень важный класс соединений, они служат источником получения многих ценных стероидных препаратов.

Эргостерин по структуре отличается от холестерина дополнительной метильной группой в боковой цепи при С-24, а также имеет две дополнительные двойные связи: одна из них при С-7, другая в боковой цепи при 22- и 23-углеродных атомах. Эргостерин является провитамином витамина D. Строение эргостерина было установлено в 1934 г.

Он встречается у многочисленных представителей растительного мира, а также у грибов, микроорганизмов и других представителей живого мира. Особенно велико содержание эргостерина у дрожжевых микроорганизмов. Для промышленного получения эргостерина чаще всего используются пекарские дрожжи, содержание эргостерина в них колеблется в зависимости от расы, питательной среды и культивирования от 0,2 до 15% на сухую массу.

Стигмастерин С29H48О - один из наиболее распространенных фитостеринов, он содержится в большом количестве в соевом масле и сахарном тростнике. По структуре стигмастерин отличается от холестерина наличием двойной связи между 22 и 23-углеродными атомами и наличием этильной группы в положении 24.

Другим широко распространенным растительным стерином является ситостерин С29Н50О. По строению он сходен со стигмастерином, отличаясь от него лишь отсутствием двойной связи в боковой цепи.

Ситостерины встречаются в хлопковом и соевом маслах, в зародышах пшеницы и натуральном каучуке, в сахарном тростнике и другом растительном материале. Коммерческим источником ситостеринов чаще всего являются тростник и хлопковое масло. Ситостерины и стигмастерин -- наиболее перспективные и дешевые исходные продукты для получения стероидных гормонов.

Стерины необходимы для осуществления физиологических и биохимических функций живого организма. Предполагается, что стерины требуются для образования мембранных систем, клеточных оболочек и других структурных образований клетки. Есть данные о том, что стерины являются защитным фактором против токсического действия многих природных соединений.

Основные пути биосинтеза стероидных гормонов из холестерина. В организме животных и человека из холестерина образуются три важные группы гормонов: прогестины, половые гормоны и гормоны коры надпочечников (кортикостероиды).

При образовании стероидных гормонов из холестерина сначала образуется прегненолон - основной промежуточный продукт биосинтеза стероидов и кортикостероидов. Окисление ОН-группы прегненолона в С=0 сопровождается перемещением двойной связи; продуктом этой кетостероидизомеразной реакции является прогестерон - гормон плаценты и желтого тела.

Прегненолон является также предшественником мужских половых гормонов (тестостерона) и женских половых гормонов (эстрогенов - эстрона, эстрадиола). В коре надпочечников прогестерон превращается в кортикостерон и кортизол (гидрокортизон): секреция кортизола достигает у взрослого человека 15- 30 мг в день. Эти вещества были первоначально выделены из коры надпочечников в кристаллическом виде.

Кортизол (гидрокортизон) и его синтетические аналоги такие, как преднизолон или дексаметазон, принадлежит к числу современных средств экстренной терапии, благодаря их уникальному противовоспалительному, десенсибилизирующему и противошоковому действию. По своему химическому строению они могут быть разделены на 11-дезоксистероиды, 11-гидроксистероиды, 11,17-дигидрокснстероиды (к последним относятся кортизон и гидрокортизон).

2. Основные микробиологические превращения стероидов

Промышленный синтез названных выше ценных лекарственных препаратов стал возможен только с развитием методов микробиологической химии и, в частности, метода микробиологической трансформации. В качестве сырья для получения указанных лекарственных средств используется диосгенин (из растения диоскореи), стигмастерин из соевых бобов, в последние годы интенсивно изучается ситостерин как потенциально дешевый и доступный источник.

Модифицированные тем или иным способом стероиды сами могут служить субстратами для проведения соответствующих целенаправленных трансформаций.

.1 Введение гидроксильной группы

Микробиологическое гидроксилирование - это наиболее важный и часто применяемый метод. Наличие гидроксильных групп в 3, 11, 16, 17 положениях молекулы стероида, как правило, обусловливает физиологическую активность большинства гормональных стероидных препаратов.

Гидроксилирование стероидов осуществляется очень многими микроорганизмами, чаще всего грибами, даже конидии некоторых грибов обладают гидроксилирующей активностью. Гидроксилирование стероидов при помощи гриба Rh. Nigricans -- яркий пример сочетания, специфичности и разнообразия действия микроорганизмов.

-Гидроксилирование как один из важнейших путей получения кортизона изучено наиболее детально и давно применяется в промышленности, выходы продуктов трансформации очень высоки. Многие микроорганизмы образуют смесь 11- и 11-эпимеров, соотношение которых существенно зависит от фазы развития культуры.

Наличие в молекуле стероидов 11-гидроксильной группы обусловливает физиологическую активность гидрокортизона (кортизола) и преднизолона. Гидроксилированию подвергаются субстраты самого различного строения - от производных эстрана до сложных молекул стеринов, сапогенинов и т. п. Причина этого - очень широкая субстратная специфичность гидроксилаз, которую демонстрируют многие микроорганизмы. Например, штамм Cunninghamella blakesleeana, который вводит оксигруппу в 11-положение обширного набора стероидов - различных производных эстрана, тестостерона, кортексолона, прогестерона и т. д.

Получение 14-гидроксипрогестерона при помощи Bacillus cereus является одним из немногих примеров гидроксилирования при помощи бактерий. 15-гидроксилирование осуществляется также многими микроорганизмами, основное место среди которых занимают Fusarium и Penicillium.

Главным препятствием, стоящим на пути дальнейшего развития промышленного микробиологического гидроксилирования стероидов, так же как и вообще микробиологических трансформаций этих соединений, является низкая производительность ферментаций, несмотря на высокий процентный выход по субстрату. Это обусловлено, с одной стороны, нерастворимостью стероидных субстратов в воде, с другой - токсичностью растворителей, применяемых при внесении стероида и невозможностью использования высоких концентраций субстрата.

.2 Дегидрогенизация стероидов

Наличие двойных связей коренным образом влияет на физиологическую активность препаратов. Используя эту реакцию, получают такие эффективные препараты, как преднизолон. Чаще всего микроорганизмы дегидрируют положения 1,2 и 4,5, но описано и введение двойной связи в положения 7,8; 8,9; 9,11; 16,17; 17,20. Реакции дегидрогенизации осуществляют бактерии и актиномицеты, особенно часто это микоформы Arthrobacter, Corynebacterium, Nocardia. Широкая субстратная специфичность дегидрогеназ показана на большом экспериментальном материале; она позволяет использовать в качестве субстратов ацетаты стероидов, которые являются полупродуктами во многих технологических схемах получения стероидов. Например, Mycobacterium globiforme 193, дегидрирующая 1,2-связь в кортизоне, так же эффективно превращает и кортизонацетат в преднизонацетат с выходом 86%. Исследование показало, что для этой культуры характерна максимальная удельная трансформирующая активность в период снижения удельной скорости роста.

Реакция дегидрогенизации позволяет получать преднизолон из кортизона, дианабол из метилтестостерона, преднизолон из гидрокортизона. Продукты 1,2-дегидрирования образуются с высокими выходами -- до 86%. Распространенность этой реакции объясняется не только наличием соответствующих дегидрогеназ у большого числа микроорганизмов, но и химическими свойствами данного участка стероидной молекулы, ее нестабильностью, особенно при наличии кетогруппы в 3-м положении и (или) двойной связи 4,5. Этими свойствами стероидной молекулы объясняется и доступность связи 1,2 для микробных оксидоредуктаз. Во многих случаях показана обратимость реакций дегидрогенизации и восстановления.